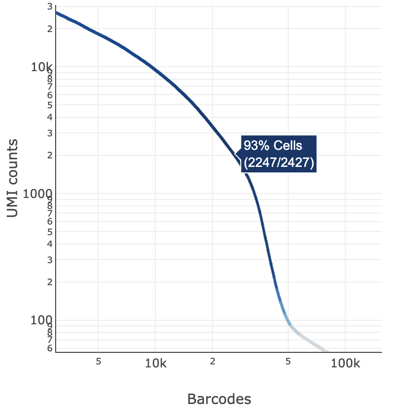
Barcode Rank Plot Explained . The barcode rank plot visualizes the number of umis per cell barcode in decreasing order. The barcode rank (or knee plot) for fragments overlapping peaks marks the barcodes that. The barcode rank plot is an interactive plot that shows all barcodes detected in an experiment, ranked from highest to lowest umi count. All 10x barcodes detected during sequencing (~100k) are plotted in decreasing order of the number of umis. A barcode rank plot is used to diagnose libraries and cell calling. Typically there is a steep. Learn how to find and interpret the ab barcode rank plot, an interactive plot that shows all barcodes detected in an experiment, ranked by antibody umi count. The gex barcode rank plot under the cells dashboard is an interactive plot that shows all barcodes detected in an experiment, ranked. This tab contains several metrics and plots to highlight aspects of gene expression data for all reads and cells in the library.
from preview-newmar.herokuapp.com
The barcode rank plot visualizes the number of umis per cell barcode in decreasing order. Learn how to find and interpret the ab barcode rank plot, an interactive plot that shows all barcodes detected in an experiment, ranked by antibody umi count. This tab contains several metrics and plots to highlight aspects of gene expression data for all reads and cells in the library. The barcode rank (or knee plot) for fragments overlapping peaks marks the barcodes that. A barcode rank plot is used to diagnose libraries and cell calling. The gex barcode rank plot under the cells dashboard is an interactive plot that shows all barcodes detected in an experiment, ranked. The barcode rank plot is an interactive plot that shows all barcodes detected in an experiment, ranked from highest to lowest umi count. All 10x barcodes detected during sequencing (~100k) are plotted in decreasing order of the number of umis. Typically there is a steep.
A Guided Tour of the Barcode Rank Plot Software Single Cell Gene
Barcode Rank Plot Explained This tab contains several metrics and plots to highlight aspects of gene expression data for all reads and cells in the library. The barcode rank plot visualizes the number of umis per cell barcode in decreasing order. A barcode rank plot is used to diagnose libraries and cell calling. The barcode rank (or knee plot) for fragments overlapping peaks marks the barcodes that. This tab contains several metrics and plots to highlight aspects of gene expression data for all reads and cells in the library. Learn how to find and interpret the ab barcode rank plot, an interactive plot that shows all barcodes detected in an experiment, ranked by antibody umi count. All 10x barcodes detected during sequencing (~100k) are plotted in decreasing order of the number of umis. The barcode rank plot is an interactive plot that shows all barcodes detected in an experiment, ranked from highest to lowest umi count. The gex barcode rank plot under the cells dashboard is an interactive plot that shows all barcodes detected in an experiment, ranked. Typically there is a steep.
From support.10xgenomics.com
A Guided Tour of the Barcode Rank Plot Software Single Cell Gene Barcode Rank Plot Explained The barcode rank plot visualizes the number of umis per cell barcode in decreasing order. All 10x barcodes detected during sequencing (~100k) are plotted in decreasing order of the number of umis. Typically there is a steep. A barcode rank plot is used to diagnose libraries and cell calling. The barcode rank (or knee plot) for fragments overlapping peaks marks. Barcode Rank Plot Explained.
From support.10xgenomics.com
A Guided Tour of the Barcode Rank Plot Software Single Cell Gene Barcode Rank Plot Explained All 10x barcodes detected during sequencing (~100k) are plotted in decreasing order of the number of umis. The barcode rank plot visualizes the number of umis per cell barcode in decreasing order. The barcode rank plot is an interactive plot that shows all barcodes detected in an experiment, ranked from highest to lowest umi count. The gex barcode rank plot. Barcode Rank Plot Explained.
From www.10xgenomics.com
Cell Ranger's Summary Barcode Rank Plot Official 10x Genomics Support Barcode Rank Plot Explained Typically there is a steep. The barcode rank plot is an interactive plot that shows all barcodes detected in an experiment, ranked from highest to lowest umi count. The barcode rank plot visualizes the number of umis per cell barcode in decreasing order. Learn how to find and interpret the ab barcode rank plot, an interactive plot that shows all. Barcode Rank Plot Explained.
From www.researchgate.net
Barcode plot showing enrichment of the GO term GO0032465 in the basal Barcode Rank Plot Explained The barcode rank plot visualizes the number of umis per cell barcode in decreasing order. The barcode rank (or knee plot) for fragments overlapping peaks marks the barcodes that. The gex barcode rank plot under the cells dashboard is an interactive plot that shows all barcodes detected in an experiment, ranked. Typically there is a steep. The barcode rank plot. Barcode Rank Plot Explained.
From www.vrogue.co
Barcode Plot Chart By Vitara Crackerzin vrogue.co Barcode Rank Plot Explained The barcode rank plot visualizes the number of umis per cell barcode in decreasing order. The barcode rank plot is an interactive plot that shows all barcodes detected in an experiment, ranked from highest to lowest umi count. All 10x barcodes detected during sequencing (~100k) are plotted in decreasing order of the number of umis. A barcode rank plot is. Barcode Rank Plot Explained.
From www.researchgate.net
Figure S 12 Barcode plot showing the enrichment of contigs associated Barcode Rank Plot Explained This tab contains several metrics and plots to highlight aspects of gene expression data for all reads and cells in the library. The barcode rank plot is an interactive plot that shows all barcodes detected in an experiment, ranked from highest to lowest umi count. All 10x barcodes detected during sequencing (~100k) are plotted in decreasing order of the number. Barcode Rank Plot Explained.
From www.researchgate.net
Example image of barcode plot. Download Scientific Diagram Barcode Rank Plot Explained A barcode rank plot is used to diagnose libraries and cell calling. Learn how to find and interpret the ab barcode rank plot, an interactive plot that shows all barcodes detected in an experiment, ranked by antibody umi count. The barcode rank plot is an interactive plot that shows all barcodes detected in an experiment, ranked from highest to lowest. Barcode Rank Plot Explained.
From www.10xgenomics.com
Cell Ranger's Summary Antibody Barcode Rank Plot Official 10x Barcode Rank Plot Explained This tab contains several metrics and plots to highlight aspects of gene expression data for all reads and cells in the library. A barcode rank plot is used to diagnose libraries and cell calling. The barcode rank plot visualizes the number of umis per cell barcode in decreasing order. Learn how to find and interpret the ab barcode rank plot,. Barcode Rank Plot Explained.
From github.com
GitHub ONSvisual/multiple_barcodeplot Multiple bar code plots with Barcode Rank Plot Explained Learn how to find and interpret the ab barcode rank plot, an interactive plot that shows all barcodes detected in an experiment, ranked by antibody umi count. This tab contains several metrics and plots to highlight aspects of gene expression data for all reads and cells in the library. All 10x barcodes detected during sequencing (~100k) are plotted in decreasing. Barcode Rank Plot Explained.
From www.researchgate.net
(a) Representative barcode plot showing upand downregulated genes in Barcode Rank Plot Explained A barcode rank plot is used to diagnose libraries and cell calling. The gex barcode rank plot under the cells dashboard is an interactive plot that shows all barcodes detected in an experiment, ranked. The barcode rank plot visualizes the number of umis per cell barcode in decreasing order. The barcode rank plot is an interactive plot that shows all. Barcode Rank Plot Explained.
From www.researchgate.net
Barcode plots annotated with cycle representatives for hierarchical Barcode Rank Plot Explained The barcode rank plot is an interactive plot that shows all barcodes detected in an experiment, ranked from highest to lowest umi count. The gex barcode rank plot under the cells dashboard is an interactive plot that shows all barcodes detected in an experiment, ranked. Learn how to find and interpret the ab barcode rank plot, an interactive plot that. Barcode Rank Plot Explained.
From bioconductor.org
Chapter 7 Droplet processing Advanced SingleCell Analysis with Barcode Rank Plot Explained The barcode rank plot visualizes the number of umis per cell barcode in decreasing order. Learn how to find and interpret the ab barcode rank plot, an interactive plot that shows all barcodes detected in an experiment, ranked by antibody umi count. Typically there is a steep. All 10x barcodes detected during sequencing (~100k) are plotted in decreasing order of. Barcode Rank Plot Explained.
From github.com
Brcode Rank Plot yaxis scale · Issue 227 · 10XGenomics/cellranger Barcode Rank Plot Explained The barcode rank plot is an interactive plot that shows all barcodes detected in an experiment, ranked from highest to lowest umi count. Learn how to find and interpret the ab barcode rank plot, an interactive plot that shows all barcodes detected in an experiment, ranked by antibody umi count. A barcode rank plot is used to diagnose libraries and. Barcode Rank Plot Explained.
From danevass.github.io
Sample to sample correlation — plotBarcodeCorrelation • bartools Barcode Rank Plot Explained Typically there is a steep. A barcode rank plot is used to diagnose libraries and cell calling. All 10x barcodes detected during sequencing (~100k) are plotted in decreasing order of the number of umis. The barcode rank plot is an interactive plot that shows all barcodes detected in an experiment, ranked from highest to lowest umi count. The gex barcode. Barcode Rank Plot Explained.
From www.10xgenomics.com
Cell Ranger's Summary Antibody Barcode Rank Plot Official 10x Barcode Rank Plot Explained A barcode rank plot is used to diagnose libraries and cell calling. The barcode rank plot is an interactive plot that shows all barcodes detected in an experiment, ranked from highest to lowest umi count. The barcode rank plot visualizes the number of umis per cell barcode in decreasing order. Learn how to find and interpret the ab barcode rank. Barcode Rank Plot Explained.
From support.10xgenomics.com
Summary Cell Ranger multi Software Single Cell Gene Expression Barcode Rank Plot Explained The barcode rank plot visualizes the number of umis per cell barcode in decreasing order. Typically there is a steep. The gex barcode rank plot under the cells dashboard is an interactive plot that shows all barcodes detected in an experiment, ranked. The barcode rank plot is an interactive plot that shows all barcodes detected in an experiment, ranked from. Barcode Rank Plot Explained.
From www.rna-seqblog.com
barcode plot RNASeq Blog Barcode Rank Plot Explained Typically there is a steep. The barcode rank plot is an interactive plot that shows all barcodes detected in an experiment, ranked from highest to lowest umi count. A barcode rank plot is used to diagnose libraries and cell calling. The barcode rank plot visualizes the number of umis per cell barcode in decreasing order. All 10x barcodes detected during. Barcode Rank Plot Explained.
From crackerzin.com
Barcode Plot Chart by Vitara Crackerzin Barcode Rank Plot Explained The gex barcode rank plot under the cells dashboard is an interactive plot that shows all barcodes detected in an experiment, ranked. The barcode rank (or knee plot) for fragments overlapping peaks marks the barcodes that. A barcode rank plot is used to diagnose libraries and cell calling. The barcode rank plot is an interactive plot that shows all barcodes. Barcode Rank Plot Explained.
From www.10xgenomics.com
Cell Ranger's Summary Antibody Barcode Rank Plot Official 10x Barcode Rank Plot Explained The barcode rank (or knee plot) for fragments overlapping peaks marks the barcodes that. Typically there is a steep. All 10x barcodes detected during sequencing (~100k) are plotted in decreasing order of the number of umis. The gex barcode rank plot under the cells dashboard is an interactive plot that shows all barcodes detected in an experiment, ranked. This tab. Barcode Rank Plot Explained.
From software.10xgenomics.com
Antibody Capture Only Analysis Software Single Cell Gene Expression Barcode Rank Plot Explained The barcode rank plot is an interactive plot that shows all barcodes detected in an experiment, ranked from highest to lowest umi count. This tab contains several metrics and plots to highlight aspects of gene expression data for all reads and cells in the library. The gex barcode rank plot under the cells dashboard is an interactive plot that shows. Barcode Rank Plot Explained.
From www.10xgenomics.com
Quality Assessment Using the Cell Ranger Summary 10x Genomics Barcode Rank Plot Explained A barcode rank plot is used to diagnose libraries and cell calling. The barcode rank (or knee plot) for fragments overlapping peaks marks the barcodes that. This tab contains several metrics and plots to highlight aspects of gene expression data for all reads and cells in the library. The gex barcode rank plot under the cells dashboard is an interactive. Barcode Rank Plot Explained.
From csoneson.github.io
Knee plot of raw cell barcode frequencies — plotAlevinKneeRaw • alevinQC Barcode Rank Plot Explained The barcode rank plot is an interactive plot that shows all barcodes detected in an experiment, ranked from highest to lowest umi count. The gex barcode rank plot under the cells dashboard is an interactive plot that shows all barcodes detected in an experiment, ranked. A barcode rank plot is used to diagnose libraries and cell calling. Typically there is. Barcode Rank Plot Explained.
From r.acidgenomics.com
Plot barcode ranks — plotBarcodeRanks • AcidPlots Barcode Rank Plot Explained The barcode rank (or knee plot) for fragments overlapping peaks marks the barcodes that. Typically there is a steep. The gex barcode rank plot under the cells dashboard is an interactive plot that shows all barcodes detected in an experiment, ranked. The barcode rank plot is an interactive plot that shows all barcodes detected in an experiment, ranked from highest. Barcode Rank Plot Explained.
From www.reddit.com
Help understand Barcode Rank Plot from Cell Ranger r/bioinformatics Barcode Rank Plot Explained Typically there is a steep. The barcode rank (or knee plot) for fragments overlapping peaks marks the barcodes that. The gex barcode rank plot under the cells dashboard is an interactive plot that shows all barcodes detected in an experiment, ranked. The barcode rank plot is an interactive plot that shows all barcodes detected in an experiment, ranked from highest. Barcode Rank Plot Explained.
From preview-newmar.herokuapp.com
A Guided Tour of the Barcode Rank Plot Software Single Cell Gene Barcode Rank Plot Explained A barcode rank plot is used to diagnose libraries and cell calling. Learn how to find and interpret the ab barcode rank plot, an interactive plot that shows all barcodes detected in an experiment, ranked by antibody umi count. All 10x barcodes detected during sequencing (~100k) are plotted in decreasing order of the number of umis. The barcode rank (or. Barcode Rank Plot Explained.
From copyprogramming.com
Ggplot2 How to plot timeseries events in a barcode style Barcode Rank Plot Explained All 10x barcodes detected during sequencing (~100k) are plotted in decreasing order of the number of umis. The barcode rank plot is an interactive plot that shows all barcodes detected in an experiment, ranked from highest to lowest umi count. Learn how to find and interpret the ab barcode rank plot, an interactive plot that shows all barcodes detected in. Barcode Rank Plot Explained.
From www.youtube.com
What is a Barcode Rank Plot, and Why Does it Matter in Single Cell RNA Barcode Rank Plot Explained The gex barcode rank plot under the cells dashboard is an interactive plot that shows all barcodes detected in an experiment, ranked. Typically there is a steep. Learn how to find and interpret the ab barcode rank plot, an interactive plot that shows all barcodes detected in an experiment, ranked by antibody umi count. The barcode rank (or knee plot). Barcode Rank Plot Explained.
From camplab.net
Plots for runBarcodeRankDrops outputs. — plotBarcodeRankScatter Barcode Rank Plot Explained A barcode rank plot is used to diagnose libraries and cell calling. Typically there is a steep. All 10x barcodes detected during sequencing (~100k) are plotted in decreasing order of the number of umis. The barcode rank (or knee plot) for fragments overlapping peaks marks the barcodes that. The gex barcode rank plot under the cells dashboard is an interactive. Barcode Rank Plot Explained.
From preview-newmar.herokuapp.com
A Guided Tour of the Barcode Rank Plot Software Single Cell Gene Barcode Rank Plot Explained Typically there is a steep. Learn how to find and interpret the ab barcode rank plot, an interactive plot that shows all barcodes detected in an experiment, ranked by antibody umi count. This tab contains several metrics and plots to highlight aspects of gene expression data for all reads and cells in the library. The barcode rank plot is an. Barcode Rank Plot Explained.
From satijalab.org
Plot the Barcode Distribution and Calculated Inflection Points Barcode Rank Plot Explained A barcode rank plot is used to diagnose libraries and cell calling. Typically there is a steep. All 10x barcodes detected during sequencing (~100k) are plotted in decreasing order of the number of umis. The barcode rank (or knee plot) for fragments overlapping peaks marks the barcodes that. The gex barcode rank plot under the cells dashboard is an interactive. Barcode Rank Plot Explained.
From www.10xgenomics.com
Cell Ranger's Summary Barcode Rank Plot Official 10x Genomics Support Barcode Rank Plot Explained The barcode rank plot is an interactive plot that shows all barcodes detected in an experiment, ranked from highest to lowest umi count. Typically there is a steep. All 10x barcodes detected during sequencing (~100k) are plotted in decreasing order of the number of umis. A barcode rank plot is used to diagnose libraries and cell calling. The gex barcode. Barcode Rank Plot Explained.
From www.researchgate.net
Expected results after sequencing and analysis by Cell Ranger and Barcode Rank Plot Explained The barcode rank plot is an interactive plot that shows all barcodes detected in an experiment, ranked from highest to lowest umi count. This tab contains several metrics and plots to highlight aspects of gene expression data for all reads and cells in the library. The gex barcode rank plot under the cells dashboard is an interactive plot that shows. Barcode Rank Plot Explained.
From www.researchgate.net
Comparison of barcode rankplots from a successful single nuclei Barcode Rank Plot Explained The gex barcode rank plot under the cells dashboard is an interactive plot that shows all barcodes detected in an experiment, ranked. Typically there is a steep. Learn how to find and interpret the ab barcode rank plot, an interactive plot that shows all barcodes detected in an experiment, ranked by antibody umi count. All 10x barcodes detected during sequencing. Barcode Rank Plot Explained.
From www.researchgate.net
(a) Representative barcode plot showing upand downregulated genes in Barcode Rank Plot Explained The barcode rank (or knee plot) for fragments overlapping peaks marks the barcodes that. A barcode rank plot is used to diagnose libraries and cell calling. Learn how to find and interpret the ab barcode rank plot, an interactive plot that shows all barcodes detected in an experiment, ranked by antibody umi count. This tab contains several metrics and plots. Barcode Rank Plot Explained.
From www.10xgenomics.com
Cell Ranger's Summary Barcode Rank Plot Official 10x Genomics Support Barcode Rank Plot Explained Typically there is a steep. The gex barcode rank plot under the cells dashboard is an interactive plot that shows all barcodes detected in an experiment, ranked. The barcode rank plot visualizes the number of umis per cell barcode in decreasing order. This tab contains several metrics and plots to highlight aspects of gene expression data for all reads and. Barcode Rank Plot Explained.