Lesson Plan Modifications Examples . Find out how to use accommodations and. Find out how to collaborate with special education staff, students and. Learn how teachers can help kids who are struggling in school with different ways of presenting, responding, and completing information. Learn how to modify lessons in an inclusive classroom by changing the objective or materials to meet the needs of a special. Find out the difference between. Learn how to adapt and modify lesson plans for special education students to access the general education curriculum in a way that is. Learn the key concepts and steps to implement accommodations and modifications for students with ieps and 504 plans. Learn the differences between accommodations and modifications for instruction and assessment, and how they affect access and expectations. Learn practical tips from experts on how to design lessons and assessments that meet the needs of diverse learners.
from katelynlitton.weebly.com
Learn the key concepts and steps to implement accommodations and modifications for students with ieps and 504 plans. Learn how to adapt and modify lesson plans for special education students to access the general education curriculum in a way that is. Find out the difference between. Learn the differences between accommodations and modifications for instruction and assessment, and how they affect access and expectations. Learn how to modify lessons in an inclusive classroom by changing the objective or materials to meet the needs of a special. Learn how teachers can help kids who are struggling in school with different ways of presenting, responding, and completing information. Find out how to collaborate with special education staff, students and. Find out how to use accommodations and. Learn practical tips from experts on how to design lessons and assessments that meet the needs of diverse learners.
Lesson Plans with Modifications Katelyn Litton
Lesson Plan Modifications Examples Learn how teachers can help kids who are struggling in school with different ways of presenting, responding, and completing information. Find out how to use accommodations and. Find out the difference between. Find out how to collaborate with special education staff, students and. Learn the differences between accommodations and modifications for instruction and assessment, and how they affect access and expectations. Learn the key concepts and steps to implement accommodations and modifications for students with ieps and 504 plans. Learn practical tips from experts on how to design lessons and assessments that meet the needs of diverse learners. Learn how to adapt and modify lesson plans for special education students to access the general education curriculum in a way that is. Learn how teachers can help kids who are struggling in school with different ways of presenting, responding, and completing information. Learn how to modify lessons in an inclusive classroom by changing the objective or materials to meet the needs of a special.
From www.studocu.com
SPED Lesson Plan 1 Assingment for Special Education Special Lesson Plan Modifications Examples Learn the differences between accommodations and modifications for instruction and assessment, and how they affect access and expectations. Learn how to modify lessons in an inclusive classroom by changing the objective or materials to meet the needs of a special. Find out how to use accommodations and. Find out the difference between. Learn the key concepts and steps to implement. Lesson Plan Modifications Examples.
From www.studocu.com
Lesson Plan Modification Studocu Lesson Plan Modifications Examples Find out how to collaborate with special education staff, students and. Learn how to modify lessons in an inclusive classroom by changing the objective or materials to meet the needs of a special. Learn how to adapt and modify lesson plans for special education students to access the general education curriculum in a way that is. Learn the key concepts. Lesson Plan Modifications Examples.
From www.scribd.com
Prototype Lesson Plan Sample Lesson Plan Behavior Modification Lesson Plan Modifications Examples Learn the differences between accommodations and modifications for instruction and assessment, and how they affect access and expectations. Learn the key concepts and steps to implement accommodations and modifications for students with ieps and 504 plans. Learn practical tips from experts on how to design lessons and assessments that meet the needs of diverse learners. Find out how to collaborate. Lesson Plan Modifications Examples.
From www.studocu.com
Modified Lesson Plan Marcus MODIFIED LESSON PLAN Section 1 Lesson Lesson Plan Modifications Examples Find out how to use accommodations and. Find out the difference between. Learn the key concepts and steps to implement accommodations and modifications for students with ieps and 504 plans. Find out how to collaborate with special education staff, students and. Learn the differences between accommodations and modifications for instruction and assessment, and how they affect access and expectations. Learn. Lesson Plan Modifications Examples.
From studycampuscarpino.z21.web.core.windows.net
Thematic Lesson Plan Sample Lesson Plan Modifications Examples Find out how to use accommodations and. Find out how to collaborate with special education staff, students and. Learn the differences between accommodations and modifications for instruction and assessment, and how they affect access and expectations. Learn practical tips from experts on how to design lessons and assessments that meet the needs of diverse learners. Learn the key concepts and. Lesson Plan Modifications Examples.
From katelynlitton.weebly.com
Lesson Plans with Modifications Katelyn Litton Lesson Plan Modifications Examples Find out how to use accommodations and. Learn practical tips from experts on how to design lessons and assessments that meet the needs of diverse learners. Learn the differences between accommodations and modifications for instruction and assessment, and how they affect access and expectations. Find out the difference between. Learn the key concepts and steps to implement accommodations and modifications. Lesson Plan Modifications Examples.
From www.pinterest.com
NAEYC Lesson Plan Template for Preschool Sample Weekly Lesson Plan Lesson Plan Modifications Examples Learn how teachers can help kids who are struggling in school with different ways of presenting, responding, and completing information. Learn how to adapt and modify lesson plans for special education students to access the general education curriculum in a way that is. Find out the difference between. Learn the differences between accommodations and modifications for instruction and assessment, and. Lesson Plan Modifications Examples.
From www.scribd.com
Sample Learning Plan PDF Behavior Modification Learning Lesson Plan Modifications Examples Learn practical tips from experts on how to design lessons and assessments that meet the needs of diverse learners. Find out how to use accommodations and. Learn the differences between accommodations and modifications for instruction and assessment, and how they affect access and expectations. Learn the key concepts and steps to implement accommodations and modifications for students with ieps and. Lesson Plan Modifications Examples.
From www.scribd.com
Lesson Plan No 2 PDF Learning Behavior Modification Lesson Plan Modifications Examples Learn practical tips from experts on how to design lessons and assessments that meet the needs of diverse learners. Learn how teachers can help kids who are struggling in school with different ways of presenting, responding, and completing information. Learn how to modify lessons in an inclusive classroom by changing the objective or materials to meet the needs of a. Lesson Plan Modifications Examples.
From www.pinterest.com
Udl Lesson Plan Template Awesome Universal Design Lesson Plan Udl Udl Lesson Plan Modifications Examples Find out how to use accommodations and. Learn practical tips from experts on how to design lessons and assessments that meet the needs of diverse learners. Find out how to collaborate with special education staff, students and. Learn how teachers can help kids who are struggling in school with different ways of presenting, responding, and completing information. Learn the key. Lesson Plan Modifications Examples.
From www.pinterest.com
Focus on Five Academic Lesson Planning for the School Year The Lesson Plan Modifications Examples Learn how to adapt and modify lesson plans for special education students to access the general education curriculum in a way that is. Learn the key concepts and steps to implement accommodations and modifications for students with ieps and 504 plans. Find out how to use accommodations and. Learn how to modify lessons in an inclusive classroom by changing the. Lesson Plan Modifications Examples.
From katelynlitton.weebly.com
Lesson Plans with Modifications Katelyn Litton Lesson Plan Modifications Examples Learn the differences between accommodations and modifications for instruction and assessment, and how they affect access and expectations. Find out how to use accommodations and. Learn how to modify lessons in an inclusive classroom by changing the objective or materials to meet the needs of a special. Learn practical tips from experts on how to design lessons and assessments that. Lesson Plan Modifications Examples.
From www.semanticscholar.org
Figure 1 from Lesson Planning With Engagement in Mind Proactive Lesson Plan Modifications Examples Learn how to adapt and modify lesson plans for special education students to access the general education curriculum in a way that is. Learn how to modify lessons in an inclusive classroom by changing the objective or materials to meet the needs of a special. Learn practical tips from experts on how to design lessons and assessments that meet the. Lesson Plan Modifications Examples.
From www.studocu.com
Structure OF Modification STRUCTURE OF MODIFICATION It is made up of Lesson Plan Modifications Examples Learn how teachers can help kids who are struggling in school with different ways of presenting, responding, and completing information. Learn the key concepts and steps to implement accommodations and modifications for students with ieps and 504 plans. Find out how to collaborate with special education staff, students and. Learn how to adapt and modify lesson plans for special education. Lesson Plan Modifications Examples.
From www.template.net
Free Sample Behavior Modification Plan Template Google Docs, Word Lesson Plan Modifications Examples Learn how teachers can help kids who are struggling in school with different ways of presenting, responding, and completing information. Learn how to adapt and modify lesson plans for special education students to access the general education curriculum in a way that is. Find out how to collaborate with special education staff, students and. Learn how to modify lessons in. Lesson Plan Modifications Examples.
From lessonplanslearning.com
Lesson Plan Modifications For Special Needs Students Lesson Plans Lesson Plan Modifications Examples Find out how to use accommodations and. Learn the differences between accommodations and modifications for instruction and assessment, and how they affect access and expectations. Find out how to collaborate with special education staff, students and. Learn how to adapt and modify lesson plans for special education students to access the general education curriculum in a way that is. Learn. Lesson Plan Modifications Examples.
From www.researchgate.net
Miss Smith's Modified Lesson Plan with Engineering Design processes Lesson Plan Modifications Examples Learn how to adapt and modify lesson plans for special education students to access the general education curriculum in a way that is. Learn the key concepts and steps to implement accommodations and modifications for students with ieps and 504 plans. Find out the difference between. Learn how to modify lessons in an inclusive classroom by changing the objective or. Lesson Plan Modifications Examples.
From www.template.net
Differentiated Instruction Template 7+ Free Word, PDF Document Downloads Lesson Plan Modifications Examples Learn how to adapt and modify lesson plans for special education students to access the general education curriculum in a way that is. Learn how teachers can help kids who are struggling in school with different ways of presenting, responding, and completing information. Learn how to modify lessons in an inclusive classroom by changing the objective or materials to meet. Lesson Plan Modifications Examples.
From studylib.net
ELA Lesson Plan Template Lesson Plan Modifications Examples Find out how to use accommodations and. Find out how to collaborate with special education staff, students and. Learn practical tips from experts on how to design lessons and assessments that meet the needs of diverse learners. Find out the difference between. Learn how to modify lessons in an inclusive classroom by changing the objective or materials to meet the. Lesson Plan Modifications Examples.
From www.scribd.com
A Comprehensive Guide to Teaching Direct and Indirect Speech through Lesson Plan Modifications Examples Find out how to use accommodations and. Learn practical tips from experts on how to design lessons and assessments that meet the needs of diverse learners. Find out the difference between. Find out how to collaborate with special education staff, students and. Learn how to modify lessons in an inclusive classroom by changing the objective or materials to meet the. Lesson Plan Modifications Examples.
From www.slideshare.net
Implementing standards and modifications into language arts lesson pl… Lesson Plan Modifications Examples Learn the differences between accommodations and modifications for instruction and assessment, and how they affect access and expectations. Learn how to modify lessons in an inclusive classroom by changing the objective or materials to meet the needs of a special. Find out how to use accommodations and. Find out the difference between. Learn how teachers can help kids who are. Lesson Plan Modifications Examples.
From studylib.net
UDL Signature Assignment Lesson Plan Modifications Examples Find out the difference between. Learn how teachers can help kids who are struggling in school with different ways of presenting, responding, and completing information. Learn how to modify lessons in an inclusive classroom by changing the objective or materials to meet the needs of a special. Find out how to use accommodations and. Learn practical tips from experts on. Lesson Plan Modifications Examples.
From katelynlitton.weebly.com
Lesson Plans with Modifications Katelyn Litton Lesson Plan Modifications Examples Learn the key concepts and steps to implement accommodations and modifications for students with ieps and 504 plans. Find out the difference between. Learn how to adapt and modify lesson plans for special education students to access the general education curriculum in a way that is. Find out how to collaborate with special education staff, students and. Learn practical tips. Lesson Plan Modifications Examples.
From www.pinterest.com
Lesson Plan Template with Standards Fresh Lesson Plan Template 17 Free Lesson Plan Modifications Examples Learn practical tips from experts on how to design lessons and assessments that meet the needs of diverse learners. Find out how to collaborate with special education staff, students and. Learn how to adapt and modify lesson plans for special education students to access the general education curriculum in a way that is. Learn the differences between accommodations and modifications. Lesson Plan Modifications Examples.
From bukanperbedaan069.blogspot.com
Examples Of Modifications In Special Education Lesson Plan Explained Lesson Plan Modifications Examples Learn how teachers can help kids who are struggling in school with different ways of presenting, responding, and completing information. Find out how to collaborate with special education staff, students and. Learn the key concepts and steps to implement accommodations and modifications for students with ieps and 504 plans. Find out how to use accommodations and. Learn the differences between. Lesson Plan Modifications Examples.
From templatelab.com
44 FREE Lesson Plan Templates Core, Preschool, Weekly] Lesson Plan Modifications Examples Learn the differences between accommodations and modifications for instruction and assessment, and how they affect access and expectations. Find out how to collaborate with special education staff, students and. Learn how to modify lessons in an inclusive classroom by changing the objective or materials to meet the needs of a special. Learn how teachers can help kids who are struggling. Lesson Plan Modifications Examples.
From www.pinterest.com
Interventions Modifications chart Special education Lesson Plan Modifications Examples Learn how to adapt and modify lesson plans for special education students to access the general education curriculum in a way that is. Learn practical tips from experts on how to design lessons and assessments that meet the needs of diverse learners. Find out how to collaborate with special education staff, students and. Find out how to use accommodations and.. Lesson Plan Modifications Examples.
From www.scribd.com
Examples of Modifications and Adaptations For Lesson Plans PDF Lesson Plan Modifications Examples Learn the key concepts and steps to implement accommodations and modifications for students with ieps and 504 plans. Learn the differences between accommodations and modifications for instruction and assessment, and how they affect access and expectations. Learn practical tips from experts on how to design lessons and assessments that meet the needs of diverse learners. Find out the difference between.. Lesson Plan Modifications Examples.
From www.scribd.com
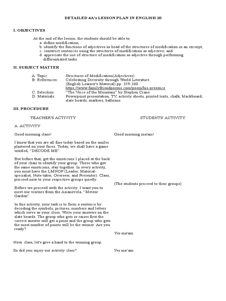
Detailed Lesson Plan Structures of Modification Adjective Adverb Lesson Plan Modifications Examples Find out how to use accommodations and. Learn the key concepts and steps to implement accommodations and modifications for students with ieps and 504 plans. Find out the difference between. Learn the differences between accommodations and modifications for instruction and assessment, and how they affect access and expectations. Learn practical tips from experts on how to design lessons and assessments. Lesson Plan Modifications Examples.
From www.studocu.com
Modified Detailed Lesson Plan Sample Beed GenEd Studocu Lesson Plan Modifications Examples Learn the key concepts and steps to implement accommodations and modifications for students with ieps and 504 plans. Learn how to adapt and modify lesson plans for special education students to access the general education curriculum in a way that is. Find out how to use accommodations and. Learn how to modify lessons in an inclusive classroom by changing the. Lesson Plan Modifications Examples.
From alexiswrossgenplan.github.io
Lesson Plan Example For Elementary Lesson Plan Modifications Examples Find out how to use accommodations and. Learn practical tips from experts on how to design lessons and assessments that meet the needs of diverse learners. Learn how to modify lessons in an inclusive classroom by changing the objective or materials to meet the needs of a special. Learn how teachers can help kids who are struggling in school with. Lesson Plan Modifications Examples.
From issuu.com
ECH 302 Week 5 Lesson Plan with and Modifications Lesson Plan Modifications Examples Find out the difference between. Find out how to use accommodations and. Find out how to collaborate with special education staff, students and. Learn the differences between accommodations and modifications for instruction and assessment, and how they affect access and expectations. Learn practical tips from experts on how to design lessons and assessments that meet the needs of diverse learners.. Lesson Plan Modifications Examples.
From www.scribd.com
Muse293 Modification Example PDF Lesson Plan Learning Lesson Plan Modifications Examples Find out the difference between. Learn how to modify lessons in an inclusive classroom by changing the objective or materials to meet the needs of a special. Learn how teachers can help kids who are struggling in school with different ways of presenting, responding, and completing information. Learn how to adapt and modify lesson plans for special education students to. Lesson Plan Modifications Examples.
From www.studocu.com
Structure OF Modification STRUCTURE OF MODIFICATION It is made up of Lesson Plan Modifications Examples Learn the differences between accommodations and modifications for instruction and assessment, and how they affect access and expectations. Find out how to collaborate with special education staff, students and. Find out how to use accommodations and. Find out the difference between. Learn how to adapt and modify lesson plans for special education students to access the general education curriculum in. Lesson Plan Modifications Examples.
From suraugadingsuluk.blogspot.com
Examples Of Modifications In Special Education / MCAS Special Education Lesson Plan Modifications Examples Learn practical tips from experts on how to design lessons and assessments that meet the needs of diverse learners. Find out how to use accommodations and. Learn the differences between accommodations and modifications for instruction and assessment, and how they affect access and expectations. Learn the key concepts and steps to implement accommodations and modifications for students with ieps and. Lesson Plan Modifications Examples.