What Do We Mean By Shelf Life . The length of time that a product, especially food, can be kept in a shop before it becomes too…. The actual shelf life of a. Shelf life is the length of time that a product, especially food, can be kept in a store or used before it becomes too old or useless. Learn how factors like composition,. The shelf life of a product is the length of time that it can be kept before it becomes too old to sell or use. Learn the meaning of shelf life, the term or period during which a stored commodity remains effective, useful, or suitable for consumption. The length of time a product may be stored without becoming unsuitable for use or consumption. Learn the meaning of shelf life, a noun that refers to the period of time during which a material or something may be stored and. Shelf life is the period of time during which a product remains safe, stable, and of acceptable quality for consumption or use.
from www.unipeq.com.my
The length of time that a product, especially food, can be kept in a shop before it becomes too…. Learn how factors like composition,. Shelf life is the length of time that a product, especially food, can be kept in a store or used before it becomes too old or useless. The actual shelf life of a. Learn the meaning of shelf life, a noun that refers to the period of time during which a material or something may be stored and. The shelf life of a product is the length of time that it can be kept before it becomes too old to sell or use. The length of time a product may be stored without becoming unsuitable for use or consumption. Learn the meaning of shelf life, the term or period during which a stored commodity remains effective, useful, or suitable for consumption. Shelf life is the period of time during which a product remains safe, stable, and of acceptable quality for consumption or use.
Shelf Life of Food UKM UNIPEQ
What Do We Mean By Shelf Life Shelf life is the period of time during which a product remains safe, stable, and of acceptable quality for consumption or use. Learn the meaning of shelf life, a noun that refers to the period of time during which a material or something may be stored and. The shelf life of a product is the length of time that it can be kept before it becomes too old to sell or use. The actual shelf life of a. The length of time a product may be stored without becoming unsuitable for use or consumption. Learn how factors like composition,. Shelf life is the length of time that a product, especially food, can be kept in a store or used before it becomes too old or useless. The length of time that a product, especially food, can be kept in a shop before it becomes too…. Shelf life is the period of time during which a product remains safe, stable, and of acceptable quality for consumption or use. Learn the meaning of shelf life, the term or period during which a stored commodity remains effective, useful, or suitable for consumption.
From giocteqmo.blob.core.windows.net
Storage Life Of Canned Foods at Bobby Haslett blog What Do We Mean By Shelf Life The length of time a product may be stored without becoming unsuitable for use or consumption. Shelf life is the period of time during which a product remains safe, stable, and of acceptable quality for consumption or use. Shelf life is the length of time that a product, especially food, can be kept in a store or used before it. What Do We Mean By Shelf Life.
From www.unipeq.com.my
Shelf Life of Food UKM UNIPEQ What Do We Mean By Shelf Life The shelf life of a product is the length of time that it can be kept before it becomes too old to sell or use. Shelf life is the period of time during which a product remains safe, stable, and of acceptable quality for consumption or use. Learn the meaning of shelf life, the term or period during which a. What Do We Mean By Shelf Life.
From www.facebook.com
Hello thanks for joining us this Sunday for church! We are so glad that What Do We Mean By Shelf Life Learn the meaning of shelf life, the term or period during which a stored commodity remains effective, useful, or suitable for consumption. The actual shelf life of a. Shelf life is the length of time that a product, especially food, can be kept in a store or used before it becomes too old or useless. Learn how factors like composition,.. What Do We Mean By Shelf Life.
From www.numerade.com
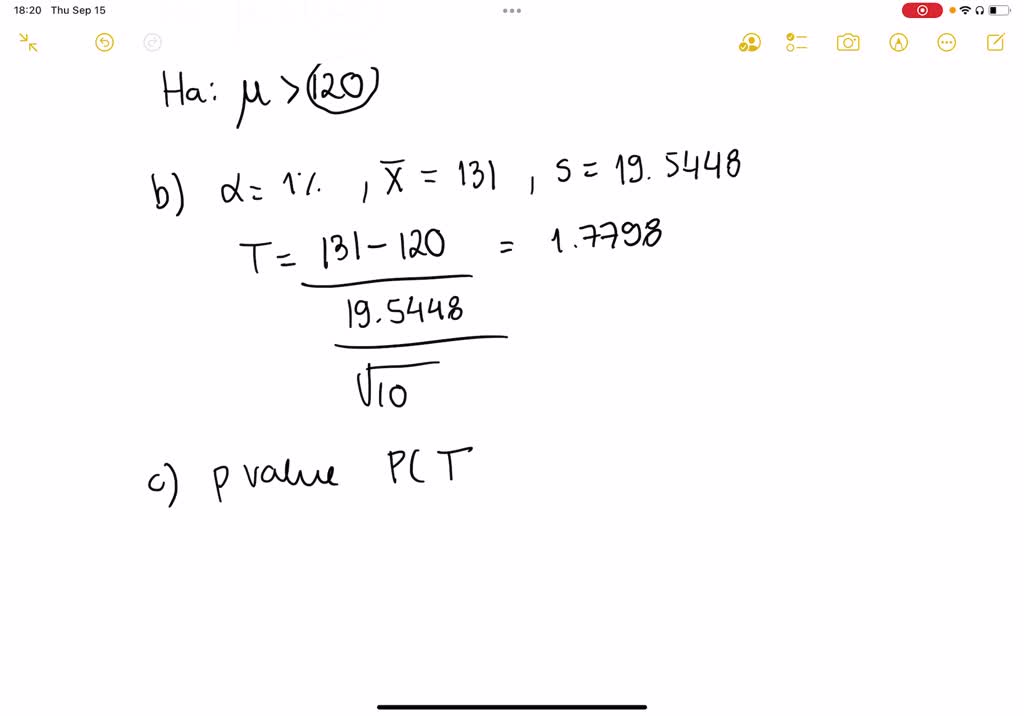
SOLVEDThe sheif life of a carbonated beverage is of interest. Ten What Do We Mean By Shelf Life Shelf life is the period of time during which a product remains safe, stable, and of acceptable quality for consumption or use. Shelf life is the length of time that a product, especially food, can be kept in a store or used before it becomes too old or useless. The actual shelf life of a. Learn how factors like composition,.. What Do We Mean By Shelf Life.
From www.linkedin.com
A Guide to Calculating the Shelf Life of Foods What Do We Mean By Shelf Life Learn how factors like composition,. The length of time that a product, especially food, can be kept in a shop before it becomes too…. Learn the meaning of shelf life, a noun that refers to the period of time during which a material or something may be stored and. The actual shelf life of a. The length of time a. What Do We Mean By Shelf Life.
From www.facebook.com
Hello thanks for joining us this Sunday for church! We are so glad that What Do We Mean By Shelf Life The length of time a product may be stored without becoming unsuitable for use or consumption. Learn how factors like composition,. Learn the meaning of shelf life, the term or period during which a stored commodity remains effective, useful, or suitable for consumption. The length of time that a product, especially food, can be kept in a shop before it. What Do We Mean By Shelf Life.
From www.youtube.com
Shelf life — what is SHELF LIFE meaning YouTube What Do We Mean By Shelf Life The shelf life of a product is the length of time that it can be kept before it becomes too old to sell or use. The actual shelf life of a. The length of time that a product, especially food, can be kept in a shop before it becomes too…. Learn how factors like composition,. Shelf life is the length. What Do We Mean By Shelf Life.
From giotryuau.blob.core.windows.net
What Does Shelf Life Mean Mean at Marie Quarles blog What Do We Mean By Shelf Life The shelf life of a product is the length of time that it can be kept before it becomes too old to sell or use. Shelf life is the period of time during which a product remains safe, stable, and of acceptable quality for consumption or use. Learn the meaning of shelf life, a noun that refers to the period. What Do We Mean By Shelf Life.
From www.chegg.com
Solved 25. A study noted that the mean shelflife for a What Do We Mean By Shelf Life The length of time that a product, especially food, can be kept in a shop before it becomes too…. Learn how factors like composition,. The length of time a product may be stored without becoming unsuitable for use or consumption. Learn the meaning of shelf life, the term or period during which a stored commodity remains effective, useful, or suitable. What Do We Mean By Shelf Life.
From www.chegg.com
Solved The shelf life of a carbonated beverage is of What Do We Mean By Shelf Life Shelf life is the period of time during which a product remains safe, stable, and of acceptable quality for consumption or use. Learn how factors like composition,. The length of time that a product, especially food, can be kept in a shop before it becomes too…. Learn the meaning of shelf life, a noun that refers to the period of. What Do We Mean By Shelf Life.
From www.chegg.com
Solved Solve this problem By minitab program ) 2.20. The What Do We Mean By Shelf Life Learn the meaning of shelf life, the term or period during which a stored commodity remains effective, useful, or suitable for consumption. Shelf life is the period of time during which a product remains safe, stable, and of acceptable quality for consumption or use. The length of time that a product, especially food, can be kept in a shop before. What Do We Mean By Shelf Life.
From giotryuau.blob.core.windows.net
What Does Shelf Life Mean Mean at Marie Quarles blog What Do We Mean By Shelf Life The length of time that a product, especially food, can be kept in a shop before it becomes too…. Shelf life is the period of time during which a product remains safe, stable, and of acceptable quality for consumption or use. Learn the meaning of shelf life, the term or period during which a stored commodity remains effective, useful, or. What Do We Mean By Shelf Life.
From www.numerade.com
the shelf life of a carbonated beverage is of interest ten bittles are What Do We Mean By Shelf Life Learn the meaning of shelf life, the term or period during which a stored commodity remains effective, useful, or suitable for consumption. The length of time a product may be stored without becoming unsuitable for use or consumption. The shelf life of a product is the length of time that it can be kept before it becomes too old to. What Do We Mean By Shelf Life.
From www.facebook.com
New Life Birmingham Sunday Morning Worship NLB W/Pastor Terry What Do We Mean By Shelf Life The actual shelf life of a. Shelf life is the period of time during which a product remains safe, stable, and of acceptable quality for consumption or use. Learn the meaning of shelf life, the term or period during which a stored commodity remains effective, useful, or suitable for consumption. Learn how factors like composition,. The shelf life of a. What Do We Mean By Shelf Life.
From nwfilmforum.org
Fiscal Sponsorship for Central District's Podcast & Storytelling Series What Do We Mean By Shelf Life Learn how factors like composition,. The shelf life of a product is the length of time that it can be kept before it becomes too old to sell or use. The actual shelf life of a. Learn the meaning of shelf life, the term or period during which a stored commodity remains effective, useful, or suitable for consumption. The length. What Do We Mean By Shelf Life.
From www.chegg.com
Solved 25. A study noted that the mean shelflife for a What Do We Mean By Shelf Life The actual shelf life of a. The length of time a product may be stored without becoming unsuitable for use or consumption. Shelf life is the period of time during which a product remains safe, stable, and of acceptable quality for consumption or use. Learn the meaning of shelf life, a noun that refers to the period of time during. What Do We Mean By Shelf Life.
From www.chegg.com
Solved A study noted that the mean shelflife for a sample What Do We Mean By Shelf Life Learn how factors like composition,. The shelf life of a product is the length of time that it can be kept before it becomes too old to sell or use. Shelf life is the period of time during which a product remains safe, stable, and of acceptable quality for consumption or use. Learn the meaning of shelf life, a noun. What Do We Mean By Shelf Life.
From www.home-storage-solutions-101.com
Shelf Life Of Makeup & Cosmetics Expiration Dates What Do We Mean By Shelf Life Learn how factors like composition,. The actual shelf life of a. The length of time a product may be stored without becoming unsuitable for use or consumption. Shelf life is the length of time that a product, especially food, can be kept in a store or used before it becomes too old or useless. The length of time that a. What Do We Mean By Shelf Life.
From www.facebook.com
New Life Birmingham Sunday Morning Worship NLB W/Pastor Terry What Do We Mean By Shelf Life Shelf life is the length of time that a product, especially food, can be kept in a store or used before it becomes too old or useless. The actual shelf life of a. The length of time that a product, especially food, can be kept in a shop before it becomes too…. Learn the meaning of shelf life, a noun. What Do We Mean By Shelf Life.
From www.facebook.com
Hello thanks for joining us this Sunday for church! We are so glad that What Do We Mean By Shelf Life The length of time a product may be stored without becoming unsuitable for use or consumption. Learn the meaning of shelf life, the term or period during which a stored commodity remains effective, useful, or suitable for consumption. The shelf life of a product is the length of time that it can be kept before it becomes too old to. What Do We Mean By Shelf Life.
From gioxmtqeo.blob.core.windows.net
Shelf Life Of Dishwasher Pods at John Reedy blog What Do We Mean By Shelf Life Learn the meaning of shelf life, the term or period during which a stored commodity remains effective, useful, or suitable for consumption. Learn the meaning of shelf life, a noun that refers to the period of time during which a material or something may be stored and. Learn how factors like composition,. The actual shelf life of a. Shelf life. What Do We Mean By Shelf Life.
From giotryuau.blob.core.windows.net
What Does Shelf Life Mean Mean at Marie Quarles blog What Do We Mean By Shelf Life Learn how factors like composition,. The actual shelf life of a. The shelf life of a product is the length of time that it can be kept before it becomes too old to sell or use. The length of time that a product, especially food, can be kept in a shop before it becomes too…. The length of time a. What Do We Mean By Shelf Life.
From www.slideserve.com
PPT Modeling Approaches to Multiple Isothermal Stability Studies for What Do We Mean By Shelf Life Learn how factors like composition,. The length of time that a product, especially food, can be kept in a shop before it becomes too…. Shelf life is the period of time during which a product remains safe, stable, and of acceptable quality for consumption or use. The length of time a product may be stored without becoming unsuitable for use. What Do We Mean By Shelf Life.
From www.facebook.com
I have been very lax on using this page, but it brings me so much joy What Do We Mean By Shelf Life The actual shelf life of a. Shelf life is the length of time that a product, especially food, can be kept in a store or used before it becomes too old or useless. The length of time a product may be stored without becoming unsuitable for use or consumption. Learn how factors like composition,. Shelf life is the period of. What Do We Mean By Shelf Life.
From www.facebook.com
Hello thanks for joining us this Sunday for church! We are so glad that What Do We Mean By Shelf Life Shelf life is the length of time that a product, especially food, can be kept in a store or used before it becomes too old or useless. Learn the meaning of shelf life, the term or period during which a stored commodity remains effective, useful, or suitable for consumption. The length of time a product may be stored without becoming. What Do We Mean By Shelf Life.
From www.numerade.com
The shelf life of a carbonated beverage is of interest. Ten bottles are What Do We Mean By Shelf Life The shelf life of a product is the length of time that it can be kept before it becomes too old to sell or use. Learn the meaning of shelf life, the term or period during which a stored commodity remains effective, useful, or suitable for consumption. The length of time a product may be stored without becoming unsuitable for. What Do We Mean By Shelf Life.
From www.penguin.com.au
Shelf Life by Simon Parke Penguin Books Australia What Do We Mean By Shelf Life The length of time that a product, especially food, can be kept in a shop before it becomes too…. The actual shelf life of a. Learn the meaning of shelf life, a noun that refers to the period of time during which a material or something may be stored and. Shelf life is the period of time during which a. What Do We Mean By Shelf Life.
From www.facebook.com
New Life Birmingham Sunday Morning Worship NLB W/Pastor Terry What Do We Mean By Shelf Life The length of time a product may be stored without becoming unsuitable for use or consumption. The shelf life of a product is the length of time that it can be kept before it becomes too old to sell or use. Learn how factors like composition,. Shelf life is the length of time that a product, especially food, can be. What Do We Mean By Shelf Life.
From www.facebook.com
101324 worship 101324 By Bonner Springs United Methodist Church What Do We Mean By Shelf Life The length of time a product may be stored without becoming unsuitable for use or consumption. Shelf life is the period of time during which a product remains safe, stable, and of acceptable quality for consumption or use. The actual shelf life of a. Learn how factors like composition,. Learn the meaning of shelf life, a noun that refers to. What Do We Mean By Shelf Life.
From www.facebook.com
I have been very lax on using this page, but it brings me so much joy What Do We Mean By Shelf Life The shelf life of a product is the length of time that it can be kept before it becomes too old to sell or use. Learn the meaning of shelf life, the term or period during which a stored commodity remains effective, useful, or suitable for consumption. Shelf life is the length of time that a product, especially food, can. What Do We Mean By Shelf Life.
From www.youtube.com
Shelf life Meaning YouTube What Do We Mean By Shelf Life The actual shelf life of a. The length of time a product may be stored without becoming unsuitable for use or consumption. Shelf life is the length of time that a product, especially food, can be kept in a store or used before it becomes too old or useless. The shelf life of a product is the length of time. What Do We Mean By Shelf Life.
From onetray.com
ONE TRAY® Extended Shelf Life Testing ONE TRAY® What Do We Mean By Shelf Life The actual shelf life of a. Shelf life is the period of time during which a product remains safe, stable, and of acceptable quality for consumption or use. Learn the meaning of shelf life, the term or period during which a stored commodity remains effective, useful, or suitable for consumption. Learn the meaning of shelf life, a noun that refers. What Do We Mean By Shelf Life.
From www.facebook.com
I have been very lax on using this page, but it brings me so much joy What Do We Mean By Shelf Life The length of time a product may be stored without becoming unsuitable for use or consumption. The shelf life of a product is the length of time that it can be kept before it becomes too old to sell or use. Learn the meaning of shelf life, a noun that refers to the period of time during which a material. What Do We Mean By Shelf Life.
From www.alamy.com
SHELF LIFE text written on black grungy zig zag borders round stamp What Do We Mean By Shelf Life Shelf life is the length of time that a product, especially food, can be kept in a store or used before it becomes too old or useless. The shelf life of a product is the length of time that it can be kept before it becomes too old to sell or use. The actual shelf life of a. Learn the. What Do We Mean By Shelf Life.
From giotryuau.blob.core.windows.net
What Does Shelf Life Mean Mean at Marie Quarles blog What Do We Mean By Shelf Life Learn the meaning of shelf life, a noun that refers to the period of time during which a material or something may be stored and. The length of time that a product, especially food, can be kept in a shop before it becomes too…. Shelf life is the length of time that a product, especially food, can be kept in. What Do We Mean By Shelf Life.