What Material Does Not Slip On Ice . Inspired by superslippery pitcher plants, harvard’s joanna aizenberg has created a new generation of materials that could radically. They can corrode the materials. In my experience, no, the only reliable way to not slip on ice is to use something with spikes (yaktrax, crampons, football boots, running spikes.). Whether in the form of frost or a smooth, transparent ice cube, ice adheres spontaneously and even quite strongly to many solid surfaces. I've fallen when being extremly. A team of material science engineers from harvard developed slips (slippery liquid infused porous surfaces), a technology that can prevent ice sheets from developing on metal surfaces and sliding off effortlessly if they do However, as any careless person who has. A harvard team has created a coating that prevents ice and frost from forming on metal surfaces, even at high. Conventional methods of getting rid of the ice, such as direct heating, applying salt, or using chemicals to trigger melting, all have liabilities:
from bgr.com
However, as any careless person who has. Whether in the form of frost or a smooth, transparent ice cube, ice adheres spontaneously and even quite strongly to many solid surfaces. In my experience, no, the only reliable way to not slip on ice is to use something with spikes (yaktrax, crampons, football boots, running spikes.). I've fallen when being extremly. Inspired by superslippery pitcher plants, harvard’s joanna aizenberg has created a new generation of materials that could radically. A team of material science engineers from harvard developed slips (slippery liquid infused porous surfaces), a technology that can prevent ice sheets from developing on metal surfaces and sliding off effortlessly if they do A harvard team has created a coating that prevents ice and frost from forming on metal surfaces, even at high. Conventional methods of getting rid of the ice, such as direct heating, applying salt, or using chemicals to trigger melting, all have liabilities: They can corrode the materials.
Watch a bunch of videos of people falling in the snow and slipping on
What Material Does Not Slip On Ice However, as any careless person who has. They can corrode the materials. Whether in the form of frost or a smooth, transparent ice cube, ice adheres spontaneously and even quite strongly to many solid surfaces. Conventional methods of getting rid of the ice, such as direct heating, applying salt, or using chemicals to trigger melting, all have liabilities: A team of material science engineers from harvard developed slips (slippery liquid infused porous surfaces), a technology that can prevent ice sheets from developing on metal surfaces and sliding off effortlessly if they do In my experience, no, the only reliable way to not slip on ice is to use something with spikes (yaktrax, crampons, football boots, running spikes.). Inspired by superslippery pitcher plants, harvard’s joanna aizenberg has created a new generation of materials that could radically. A harvard team has created a coating that prevents ice and frost from forming on metal surfaces, even at high. However, as any careless person who has. I've fallen when being extremly.
From www.doctorstoyou.com
Winter Hazards and How Seniors Can Avoid Them Doctors To You What Material Does Not Slip On Ice However, as any careless person who has. A team of material science engineers from harvard developed slips (slippery liquid infused porous surfaces), a technology that can prevent ice sheets from developing on metal surfaces and sliding off effortlessly if they do In my experience, no, the only reliable way to not slip on ice is to use something with spikes. What Material Does Not Slip On Ice.
From www.youtube.com
今話題!「溶けないアイス」簡単に作れたww|Ice cream that does not melt🍨🤍 ショート shorts ライフ What Material Does Not Slip On Ice A team of material science engineers from harvard developed slips (slippery liquid infused porous surfaces), a technology that can prevent ice sheets from developing on metal surfaces and sliding off effortlessly if they do I've fallen when being extremly. In my experience, no, the only reliable way to not slip on ice is to use something with spikes (yaktrax, crampons,. What Material Does Not Slip On Ice.
From 9gag.com
That's one way to not slip on the ice 9GAG What Material Does Not Slip On Ice They can corrode the materials. Conventional methods of getting rid of the ice, such as direct heating, applying salt, or using chemicals to trigger melting, all have liabilities: A harvard team has created a coating that prevents ice and frost from forming on metal surfaces, even at high. Whether in the form of frost or a smooth, transparent ice cube,. What Material Does Not Slip On Ice.
From crosscountiestraining.co.uk
common winter holiday injuries and how to keep safe What Material Does Not Slip On Ice A team of material science engineers from harvard developed slips (slippery liquid infused porous surfaces), a technology that can prevent ice sheets from developing on metal surfaces and sliding off effortlessly if they do A harvard team has created a coating that prevents ice and frost from forming on metal surfaces, even at high. Whether in the form of frost. What Material Does Not Slip On Ice.
From postpt.com
How to Not Slip on Ice Post PT Boston What Material Does Not Slip On Ice A harvard team has created a coating that prevents ice and frost from forming on metal surfaces, even at high. Conventional methods of getting rid of the ice, such as direct heating, applying salt, or using chemicals to trigger melting, all have liabilities: They can corrode the materials. I've fallen when being extremly. Whether in the form of frost or. What Material Does Not Slip On Ice.
From www.altoediritto.com
9/24 正規通販・名古屋のメンズセレクトショップ Alto e Diritto What Material Does Not Slip On Ice A harvard team has created a coating that prevents ice and frost from forming on metal surfaces, even at high. I've fallen when being extremly. A team of material science engineers from harvard developed slips (slippery liquid infused porous surfaces), a technology that can prevent ice sheets from developing on metal surfaces and sliding off effortlessly if they do Conventional. What Material Does Not Slip On Ice.
From www.youtube.com
How to not slip on ice ICE YouTube What Material Does Not Slip On Ice Conventional methods of getting rid of the ice, such as direct heating, applying salt, or using chemicals to trigger melting, all have liabilities: Inspired by superslippery pitcher plants, harvard’s joanna aizenberg has created a new generation of materials that could radically. A harvard team has created a coating that prevents ice and frost from forming on metal surfaces, even at. What Material Does Not Slip On Ice.
From safethaw.com
How To Prevent Your Employees From Slipping On Ice What Material Does Not Slip On Ice I've fallen when being extremly. Conventional methods of getting rid of the ice, such as direct heating, applying salt, or using chemicals to trigger melting, all have liabilities: They can corrode the materials. Whether in the form of frost or a smooth, transparent ice cube, ice adheres spontaneously and even quite strongly to many solid surfaces. A harvard team has. What Material Does Not Slip On Ice.
From www.youtube.com
How to Not Slip and Fall on Ice Yaktrax Review YouTube What Material Does Not Slip On Ice They can corrode the materials. Whether in the form of frost or a smooth, transparent ice cube, ice adheres spontaneously and even quite strongly to many solid surfaces. A team of material science engineers from harvard developed slips (slippery liquid infused porous surfaces), a technology that can prevent ice sheets from developing on metal surfaces and sliding off effortlessly if. What Material Does Not Slip On Ice.
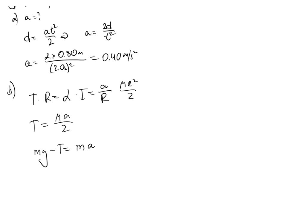
From www.numerade.com
SOLVED The pulley in Fig.P9.78 has a radius of 0.160 m and a moment of What Material Does Not Slip On Ice A harvard team has created a coating that prevents ice and frost from forming on metal surfaces, even at high. Whether in the form of frost or a smooth, transparent ice cube, ice adheres spontaneously and even quite strongly to many solid surfaces. In my experience, no, the only reliable way to not slip on ice is to use something. What Material Does Not Slip On Ice.
From www.numerade.com
SOLVED A block of mass m kg hangs from a string of negligible mass What Material Does Not Slip On Ice However, as any careless person who has. Inspired by superslippery pitcher plants, harvard’s joanna aizenberg has created a new generation of materials that could radically. Conventional methods of getting rid of the ice, such as direct heating, applying salt, or using chemicals to trigger melting, all have liabilities: They can corrode the materials. I've fallen when being extremly. A harvard. What Material Does Not Slip On Ice.
From www.youtube.com
How to never slip on ice lmao 😂 shorts viral shortsviral fypシ゚viral What Material Does Not Slip On Ice A team of material science engineers from harvard developed slips (slippery liquid infused porous surfaces), a technology that can prevent ice sheets from developing on metal surfaces and sliding off effortlessly if they do In my experience, no, the only reliable way to not slip on ice is to use something with spikes (yaktrax, crampons, football boots, running spikes.). Inspired. What Material Does Not Slip On Ice.
From sealevel.nasa.gov
Melting Ocean Ice Affects Sea Level Unlike Ice Cubes in a Glass What Material Does Not Slip On Ice Whether in the form of frost or a smooth, transparent ice cube, ice adheres spontaneously and even quite strongly to many solid surfaces. A harvard team has created a coating that prevents ice and frost from forming on metal surfaces, even at high. They can corrode the materials. Inspired by superslippery pitcher plants, harvard’s joanna aizenberg has created a new. What Material Does Not Slip On Ice.
From jimglaserlaw.com
Can I File An Injury Claim For Slipping on Ice? What Material Does Not Slip On Ice They can corrode the materials. Whether in the form of frost or a smooth, transparent ice cube, ice adheres spontaneously and even quite strongly to many solid surfaces. Inspired by superslippery pitcher plants, harvard’s joanna aizenberg has created a new generation of materials that could radically. Conventional methods of getting rid of the ice, such as direct heating, applying salt,. What Material Does Not Slip On Ice.
From www.doubtnut.com
A mass M is supported by a mass less string wound around a uniform What Material Does Not Slip On Ice Whether in the form of frost or a smooth, transparent ice cube, ice adheres spontaneously and even quite strongly to many solid surfaces. Inspired by superslippery pitcher plants, harvard’s joanna aizenberg has created a new generation of materials that could radically. They can corrode the materials. A harvard team has created a coating that prevents ice and frost from forming. What Material Does Not Slip On Ice.
From www.altoediritto.com
ice blue 正規通販・名古屋のメンズセレクトショップ Alto e Diritto What Material Does Not Slip On Ice A team of material science engineers from harvard developed slips (slippery liquid infused porous surfaces), a technology that can prevent ice sheets from developing on metal surfaces and sliding off effortlessly if they do However, as any careless person who has. Whether in the form of frost or a smooth, transparent ice cube, ice adheres spontaneously and even quite strongly. What Material Does Not Slip On Ice.
From bgr.com
Watch a bunch of videos of people falling in the snow and slipping on What Material Does Not Slip On Ice Whether in the form of frost or a smooth, transparent ice cube, ice adheres spontaneously and even quite strongly to many solid surfaces. I've fallen when being extremly. In my experience, no, the only reliable way to not slip on ice is to use something with spikes (yaktrax, crampons, football boots, running spikes.). They can corrode the materials. A harvard. What Material Does Not Slip On Ice.
From www.toppr.com
21. The friction coefficient between the board and the floor shown in What Material Does Not Slip On Ice I've fallen when being extremly. A harvard team has created a coating that prevents ice and frost from forming on metal surfaces, even at high. They can corrode the materials. Conventional methods of getting rid of the ice, such as direct heating, applying salt, or using chemicals to trigger melting, all have liabilities: Inspired by superslippery pitcher plants, harvard’s joanna. What Material Does Not Slip On Ice.
From www.doubtnut.com
In the figure, a block of weight 60N is placed on a rough surface. Th What Material Does Not Slip On Ice A team of material science engineers from harvard developed slips (slippery liquid infused porous surfaces), a technology that can prevent ice sheets from developing on metal surfaces and sliding off effortlessly if they do Inspired by superslippery pitcher plants, harvard’s joanna aizenberg has created a new generation of materials that could radically. However, as any careless person who has. Conventional. What Material Does Not Slip On Ice.
From www.canadianunderwriter.ca
Latest Canadian statistics on slips and falls on ice What Material Does Not Slip On Ice I've fallen when being extremly. Inspired by superslippery pitcher plants, harvard’s joanna aizenberg has created a new generation of materials that could radically. Conventional methods of getting rid of the ice, such as direct heating, applying salt, or using chemicals to trigger melting, all have liabilities: They can corrode the materials. A team of material science engineers from harvard developed. What Material Does Not Slip On Ice.
From walkonice.com
How To Walk On Ice Safely? A StepbyStep Guide What Material Does Not Slip On Ice They can corrode the materials. Conventional methods of getting rid of the ice, such as direct heating, applying salt, or using chemicals to trigger melting, all have liabilities: Whether in the form of frost or a smooth, transparent ice cube, ice adheres spontaneously and even quite strongly to many solid surfaces. Inspired by superslippery pitcher plants, harvard’s joanna aizenberg has. What Material Does Not Slip On Ice.
From www.chegg.com
Solved 6. The motor delivers 12 kW to the pulley at A while What Material Does Not Slip On Ice A team of material science engineers from harvard developed slips (slippery liquid infused porous surfaces), a technology that can prevent ice sheets from developing on metal surfaces and sliding off effortlessly if they do A harvard team has created a coating that prevents ice and frost from forming on metal surfaces, even at high. However, as any careless person who. What Material Does Not Slip On Ice.
From stock.adobe.com
woman slipping on black ice StockFoto Adobe Stock What Material Does Not Slip On Ice Inspired by superslippery pitcher plants, harvard’s joanna aizenberg has created a new generation of materials that could radically. I've fallen when being extremly. Conventional methods of getting rid of the ice, such as direct heating, applying salt, or using chemicals to trigger melting, all have liabilities: In my experience, no, the only reliable way to not slip on ice is. What Material Does Not Slip On Ice.
From www.photocase.com
Man slip on ice and falling down stairs a Royalty Free Stock Photo What Material Does Not Slip On Ice Conventional methods of getting rid of the ice, such as direct heating, applying salt, or using chemicals to trigger melting, all have liabilities: A harvard team has created a coating that prevents ice and frost from forming on metal surfaces, even at high. I've fallen when being extremly. However, as any careless person who has. Inspired by superslippery pitcher plants,. What Material Does Not Slip On Ice.
From www.chegg.com
Solved The figure shows a 200 g hamster sitting on an 800 What Material Does Not Slip On Ice A team of material science engineers from harvard developed slips (slippery liquid infused porous surfaces), a technology that can prevent ice sheets from developing on metal surfaces and sliding off effortlessly if they do However, as any careless person who has. Conventional methods of getting rid of the ice, such as direct heating, applying salt, or using chemicals to trigger. What Material Does Not Slip On Ice.
From qnewshub.com
Physicists Finally Worked Out Why Ice Is Slippery After 150 Years What Material Does Not Slip On Ice Whether in the form of frost or a smooth, transparent ice cube, ice adheres spontaneously and even quite strongly to many solid surfaces. A team of material science engineers from harvard developed slips (slippery liquid infused porous surfaces), a technology that can prevent ice sheets from developing on metal surfaces and sliding off effortlessly if they do I've fallen when. What Material Does Not Slip On Ice.
From www.treehugger.com
Why Is Ice So Slippery? What Material Does Not Slip On Ice I've fallen when being extremly. In my experience, no, the only reliable way to not slip on ice is to use something with spikes (yaktrax, crampons, football boots, running spikes.). A team of material science engineers from harvard developed slips (slippery liquid infused porous surfaces), a technology that can prevent ice sheets from developing on metal surfaces and sliding off. What Material Does Not Slip On Ice.
From ctif.org
New type of anti slipping agent could replace ineffective road salt What Material Does Not Slip On Ice Whether in the form of frost or a smooth, transparent ice cube, ice adheres spontaneously and even quite strongly to many solid surfaces. A team of material science engineers from harvard developed slips (slippery liquid infused porous surfaces), a technology that can prevent ice sheets from developing on metal surfaces and sliding off effortlessly if they do In my experience,. What Material Does Not Slip On Ice.
From www.doubtnut.com
A mass m supported by a massless string wound around a uniform hol What Material Does Not Slip On Ice Whether in the form of frost or a smooth, transparent ice cube, ice adheres spontaneously and even quite strongly to many solid surfaces. A harvard team has created a coating that prevents ice and frost from forming on metal surfaces, even at high. Inspired by superslippery pitcher plants, harvard’s joanna aizenberg has created a new generation of materials that could. What Material Does Not Slip On Ice.
From kunduz.com
[ANSWERED] A disc is rotating with constant angular velocity When a What Material Does Not Slip On Ice Whether in the form of frost or a smooth, transparent ice cube, ice adheres spontaneously and even quite strongly to many solid surfaces. In my experience, no, the only reliable way to not slip on ice is to use something with spikes (yaktrax, crampons, football boots, running spikes.). I've fallen when being extremly. However, as any careless person who has.. What Material Does Not Slip On Ice.
From www.youtube.com
This Pair of Ice Cleats Allows Your Shoes or Boots to Not Slip on Ice What Material Does Not Slip On Ice They can corrode the materials. I've fallen when being extremly. In my experience, no, the only reliable way to not slip on ice is to use something with spikes (yaktrax, crampons, football boots, running spikes.). Inspired by superslippery pitcher plants, harvard’s joanna aizenberg has created a new generation of materials that could radically. A team of material science engineers from. What Material Does Not Slip On Ice.
From www.pinterest.com
【SALE 40OFF】ami amie どすこいTシャツ/221022 お相撲さん, Tシャツ, グレー What Material Does Not Slip On Ice Whether in the form of frost or a smooth, transparent ice cube, ice adheres spontaneously and even quite strongly to many solid surfaces. Inspired by superslippery pitcher plants, harvard’s joanna aizenberg has created a new generation of materials that could radically. Conventional methods of getting rid of the ice, such as direct heating, applying salt, or using chemicals to trigger. What Material Does Not Slip On Ice.
From franklinrehab.com
Slipping On Ice Injuries Franklin Rehab What Material Does Not Slip On Ice They can corrode the materials. However, as any careless person who has. A harvard team has created a coating that prevents ice and frost from forming on metal surfaces, even at high. I've fallen when being extremly. Whether in the form of frost or a smooth, transparent ice cube, ice adheres spontaneously and even quite strongly to many solid surfaces.. What Material Does Not Slip On Ice.
From www.reddit.com
Try not to slip on ice? Up yours you woke moralists! r/rmbrown What Material Does Not Slip On Ice Inspired by superslippery pitcher plants, harvard’s joanna aizenberg has created a new generation of materials that could radically. A harvard team has created a coating that prevents ice and frost from forming on metal surfaces, even at high. However, as any careless person who has. They can corrode the materials. I've fallen when being extremly. Conventional methods of getting rid. What Material Does Not Slip On Ice.
From www.youtube.com
Slip On Ice Accidents YouTube What Material Does Not Slip On Ice Conventional methods of getting rid of the ice, such as direct heating, applying salt, or using chemicals to trigger melting, all have liabilities: However, as any careless person who has. In my experience, no, the only reliable way to not slip on ice is to use something with spikes (yaktrax, crampons, football boots, running spikes.). Inspired by superslippery pitcher plants,. What Material Does Not Slip On Ice.