Standard Error Ggplot . This tutorial explains how to use the geom_errorbar() function in ggplot2 to add error bars to points in a plot, including an example. This tutorial describes how to create a graph with error bars using r software and ggplot2 package. There are different types of error bars which can be created using the functions. This post describes how to add error bars on your barplot using r. Mean_se(x, mult = 1) arguments. You can calculate standard error (se) beforehand like you have calculated standard deviation (sd). The formula for calculation of standard error is se = sd/sqrt(n). A focus on different types of. Calculate mean and standard error — mean_se • ggplot2. Both ggplot2 and base r solutions are considered. You can use the following basic syntax to add error bars to a bar plot in r: Number of multiples of standard error. A data frame with three. For use with stat_summary() mean_se (x, mult = 1) arguments.
        	
		 
	 
    
         
         
        from biostats-r.github.io 
     
        
        Mean_se(x, mult = 1) arguments. The formula for calculation of standard error is se = sd/sqrt(n). A data frame with three. Both ggplot2 and base r solutions are considered. There are different types of error bars which can be created using the functions. Number of multiples of standard error. This tutorial explains how to use the geom_errorbar() function in ggplot2 to add error bars to points in a plot, including an example. A focus on different types of. You can use the following basic syntax to add error bars to a bar plot in r: For use with stat_summary() mean_se (x, mult = 1) arguments.
    
    	
		 
	 
    21 Regression and ggplot Working in R 
    Standard Error Ggplot  You can calculate standard error (se) beforehand like you have calculated standard deviation (sd). Both ggplot2 and base r solutions are considered. This tutorial explains how to use the geom_errorbar() function in ggplot2 to add error bars to points in a plot, including an example. For use with stat_summary() mean_se (x, mult = 1) arguments. There are different types of error bars which can be created using the functions. This tutorial describes how to create a graph with error bars using r software and ggplot2 package. Calculate mean and standard error — mean_se • ggplot2. Number of multiples of standard error. You can use the following basic syntax to add error bars to a bar plot in r: Mean_se(x, mult = 1) arguments. A data frame with three. You can calculate standard error (se) beforehand like you have calculated standard deviation (sd). This post describes how to add error bars on your barplot using r. A focus on different types of. The formula for calculation of standard error is se = sd/sqrt(n).
 
    
         
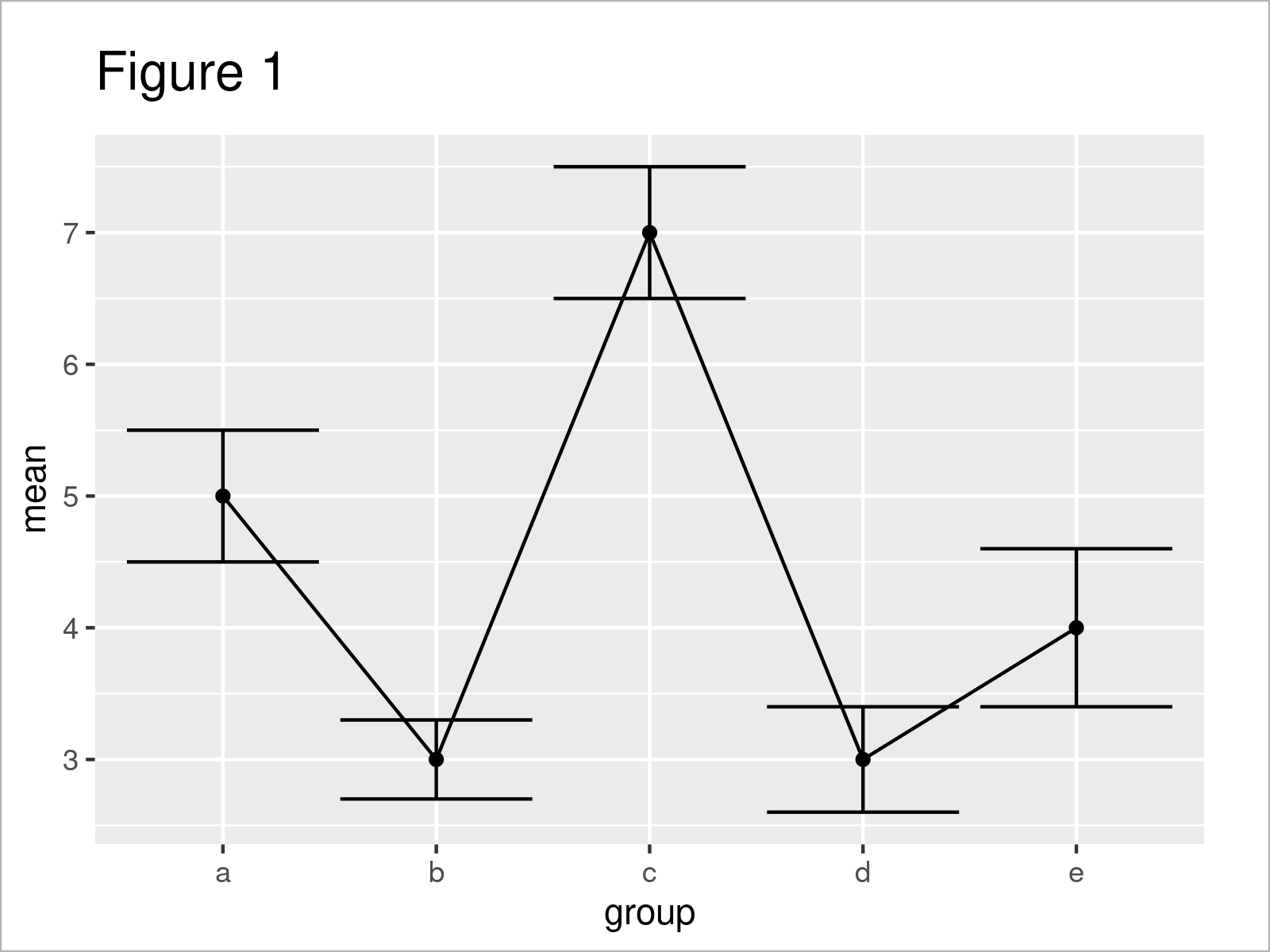
        From statisticsglobe.com 
                    Draw Error Bars with Connected Mean Points in R (ggplot2 Plot Example) Standard Error Ggplot  For use with stat_summary() mean_se (x, mult = 1) arguments. This post describes how to add error bars on your barplot using r. This tutorial describes how to create a graph with error bars using r software and ggplot2 package. This tutorial explains how to use the geom_errorbar() function in ggplot2 to add error bars to points in a plot,. Standard Error Ggplot.
     
    
         
        From stackoverflow.com 
                    r Unable to add precalculated standard errors to ggplot using Standard Error Ggplot  This tutorial explains how to use the geom_errorbar() function in ggplot2 to add error bars to points in a plot, including an example. The formula for calculation of standard error is se = sd/sqrt(n). There are different types of error bars which can be created using the functions. A focus on different types of. This post describes how to add. Standard Error Ggplot.
     
    
         
        From www.myxxgirl.com 
                    R How To Use Geom Errorbar To Indicate Standard Error In Ggplot My Standard Error Ggplot  This tutorial explains how to use the geom_errorbar() function in ggplot2 to add error bars to points in a plot, including an example. This post describes how to add error bars on your barplot using r. Number of multiples of standard error. A data frame with three. Both ggplot2 and base r solutions are considered. You can calculate standard error. Standard Error Ggplot.
     
    
         
        From semba-blog.netlify.app 
                    Barplot with errorbar in ggplot2 Masumbuko Semba's Blog Standard Error Ggplot  Both ggplot2 and base r solutions are considered. A data frame with three. There are different types of error bars which can be created using the functions. This post describes how to add error bars on your barplot using r. You can calculate standard error (se) beforehand like you have calculated standard deviation (sd). For use with stat_summary() mean_se (x,. Standard Error Ggplot.
     
    
         
        From www.tpsearchtool.com 
                    R How To Plot Standard Error Bars In Ggplot Bar Plot Images Standard Error Ggplot  This tutorial describes how to create a graph with error bars using r software and ggplot2 package. A focus on different types of. For use with stat_summary() mean_se (x, mult = 1) arguments. Calculate mean and standard error — mean_se • ggplot2. There are different types of error bars which can be created using the functions. Mean_se(x, mult = 1). Standard Error Ggplot.
     
    
         
        From www.tpsearchtool.com 
                    R How To Plot Standard Error Bars In Ggplot Bar Plot Stack Overflow Images Standard Error Ggplot  You can calculate standard error (se) beforehand like you have calculated standard deviation (sd). You can use the following basic syntax to add error bars to a bar plot in r: A data frame with three. Calculate mean and standard error — mean_se • ggplot2. This tutorial explains how to use the geom_errorbar() function in ggplot2 to add error bars. Standard Error Ggplot.
     
    
         
        From www.myxxgirl.com 
                    Solved How To Plot Standard Error Bars In Ggplot Bar Plot R My XXX Standard Error Ggplot  A data frame with three. You can use the following basic syntax to add error bars to a bar plot in r: For use with stat_summary() mean_se (x, mult = 1) arguments. This tutorial explains how to use the geom_errorbar() function in ggplot2 to add error bars to points in a plot, including an example. Mean_se(x, mult = 1) arguments.. Standard Error Ggplot.
     
    
         
        From www.datanovia.com 
                    GGPlot Error Bars Best Reference Datanovia Standard Error Ggplot  You can use the following basic syntax to add error bars to a bar plot in r: For use with stat_summary() mean_se (x, mult = 1) arguments. A focus on different types of. You can calculate standard error (se) beforehand like you have calculated standard deviation (sd). Number of multiples of standard error. There are different types of error bars. Standard Error Ggplot.
     
    
         
        From rcompanion.org 
                    R Handbook Basic Plots Standard Error Ggplot  A focus on different types of. Number of multiples of standard error. You can use the following basic syntax to add error bars to a bar plot in r: This post describes how to add error bars on your barplot using r. The formula for calculation of standard error is se = sd/sqrt(n). There are different types of error bars. Standard Error Ggplot.
     
    
         
        From stackoverflow.com 
                    Multiple lines multiple error bars using ggplot2 in R Stack Overflow Standard Error Ggplot  A data frame with three. The formula for calculation of standard error is se = sd/sqrt(n). There are different types of error bars which can be created using the functions. A focus on different types of. Calculate mean and standard error — mean_se • ggplot2. You can use the following basic syntax to add error bars to a bar plot. Standard Error Ggplot.
     
    
         
        From stackoverflow.com 
                    r ggplot Boxplot with fill and standard errors Stack Overflow Standard Error Ggplot  A focus on different types of. You can use the following basic syntax to add error bars to a bar plot in r: The formula for calculation of standard error is se = sd/sqrt(n). This tutorial describes how to create a graph with error bars using r software and ggplot2 package. There are different types of error bars which can. Standard Error Ggplot.
     
    
         
        From stats.stackexchange.com 
                    data visualization ggplot help with interpreting standard error Standard Error Ggplot  This post describes how to add error bars on your barplot using r. A focus on different types of. Number of multiples of standard error. For use with stat_summary() mean_se (x, mult = 1) arguments. Both ggplot2 and base r solutions are considered. The formula for calculation of standard error is se = sd/sqrt(n). Calculate mean and standard error —. Standard Error Ggplot.
     
    
         
        From www.datanovia.com 
                    GGPlot Error Bars Best Reference Datanovia Standard Error Ggplot  A focus on different types of. Both ggplot2 and base r solutions are considered. This post describes how to add error bars on your barplot using r. Calculate mean and standard error — mean_se • ggplot2. This tutorial describes how to create a graph with error bars using r software and ggplot2 package. Mean_se(x, mult = 1) arguments. The formula. Standard Error Ggplot.
     
    
         
        From stackoverflow.com 
                    r Expanding the regression line and standard error on GGPLOT? Stack Standard Error Ggplot  Calculate mean and standard error — mean_se • ggplot2. This tutorial describes how to create a graph with error bars using r software and ggplot2 package. This post describes how to add error bars on your barplot using r. A data frame with three. Mean_se(x, mult = 1) arguments. Number of multiples of standard error. For use with stat_summary() mean_se. Standard Error Ggplot.
     
    
         
        From www.statology.org 
                    How to Create Smooth Lines in ggplot2 (With Examples) Standard Error Ggplot  There are different types of error bars which can be created using the functions. Both ggplot2 and base r solutions are considered. This tutorial explains how to use the geom_errorbar() function in ggplot2 to add error bars to points in a plot, including an example. You can calculate standard error (se) beforehand like you have calculated standard deviation (sd). This. Standard Error Ggplot.
     
    
         
        From www.tpsearchtool.com 
                    R How To Plot Standard Error Bars In Ggplot Bar Plot Images Standard Error Ggplot  For use with stat_summary() mean_se (x, mult = 1) arguments. Both ggplot2 and base r solutions are considered. You can use the following basic syntax to add error bars to a bar plot in r: A focus on different types of. There are different types of error bars which can be created using the functions. This tutorial describes how to. Standard Error Ggplot.
     
    
         
        From stackoverflow.com 
                    r ggplot Boxplot with fill and standard errors Stack Overflow Standard Error Ggplot  Calculate mean and standard error — mean_se • ggplot2. For use with stat_summary() mean_se (x, mult = 1) arguments. A focus on different types of. The formula for calculation of standard error is se = sd/sqrt(n). A data frame with three. You can calculate standard error (se) beforehand like you have calculated standard deviation (sd). This tutorial describes how to. Standard Error Ggplot.
     
    
         
        From tendtrendlify.blogspot.com 
                    Ggplot Bar Graph With Error Bars Standard Error Ggplot  You can calculate standard error (se) beforehand like you have calculated standard deviation (sd). This tutorial explains how to use the geom_errorbar() function in ggplot2 to add error bars to points in a plot, including an example. Both ggplot2 and base r solutions are considered. There are different types of error bars which can be created using the functions. A. Standard Error Ggplot.
     
    
         
        From www.statology.org 
                    How to Plot a Linear Regression Line in ggplot2 (With Examples) Standard Error Ggplot  This tutorial describes how to create a graph with error bars using r software and ggplot2 package. The formula for calculation of standard error is se = sd/sqrt(n). Number of multiples of standard error. Both ggplot2 and base r solutions are considered. Mean_se(x, mult = 1) arguments. You can calculate standard error (se) beforehand like you have calculated standard deviation. Standard Error Ggplot.
     
    
         
        From sharetechnotes.com 
                    R ggplot with two series points and errorbars with legends Share Standard Error Ggplot  You can use the following basic syntax to add error bars to a bar plot in r: There are different types of error bars which can be created using the functions. A data frame with three. Number of multiples of standard error. Mean_se(x, mult = 1) arguments. You can calculate standard error (se) beforehand like you have calculated standard deviation. Standard Error Ggplot.
     
    
         
        From www.tpsearchtool.com 
                    R How To Plot Standard Error Bars In Ggplot Bar Plot Images Standard Error Ggplot  Mean_se(x, mult = 1) arguments. Both ggplot2 and base r solutions are considered. You can use the following basic syntax to add error bars to a bar plot in r: This tutorial describes how to create a graph with error bars using r software and ggplot2 package. For use with stat_summary() mean_se (x, mult = 1) arguments. A focus on. Standard Error Ggplot.
     
    
         
        From biostats-r.github.io 
                    21 Regression and ggplot Working in R Standard Error Ggplot  You can calculate standard error (se) beforehand like you have calculated standard deviation (sd). Number of multiples of standard error. For use with stat_summary() mean_se (x, mult = 1) arguments. There are different types of error bars which can be created using the functions. This post describes how to add error bars on your barplot using r. This tutorial explains. Standard Error Ggplot.
     
    
         
        From ggplot2.tidyverse.org 
                    Horizontal error bars — geom_errorbarh • ggplot2 Standard Error Ggplot  A focus on different types of. You can calculate standard error (se) beforehand like you have calculated standard deviation (sd). This tutorial describes how to create a graph with error bars using r software and ggplot2 package. For use with stat_summary() mean_se (x, mult = 1) arguments. This tutorial explains how to use the geom_errorbar() function in ggplot2 to add. Standard Error Ggplot.
     
    
         
        From stats.oarc.ucla.edu 
                    R Graphics Introduction to ggplot2 Standard Error Ggplot  This tutorial describes how to create a graph with error bars using r software and ggplot2 package. This post describes how to add error bars on your barplot using r. A data frame with three. For use with stat_summary() mean_se (x, mult = 1) arguments. You can use the following basic syntax to add error bars to a bar plot. Standard Error Ggplot.
     
    
         
        From stackoverflow.com 
                    r Unable to add precalculated standard errors to ggplot using Standard Error Ggplot  Mean_se(x, mult = 1) arguments. Number of multiples of standard error. For use with stat_summary() mean_se (x, mult = 1) arguments. You can use the following basic syntax to add error bars to a bar plot in r: Calculate mean and standard error — mean_se • ggplot2. Both ggplot2 and base r solutions are considered. A focus on different types. Standard Error Ggplot.
     
    
         
        From stackoverflow.com 
                    ggplot2 How to plot mean and standard error in Boxplot in R Stack Standard Error Ggplot  Both ggplot2 and base r solutions are considered. Number of multiples of standard error. You can use the following basic syntax to add error bars to a bar plot in r: This post describes how to add error bars on your barplot using r. Calculate mean and standard error — mean_se • ggplot2. For use with stat_summary() mean_se (x, mult. Standard Error Ggplot.
     
    
         
        From www.tpsearchtool.com 
                    R How To Plot Standard Error Bars In Ggplot Bar Plot Images Standard Error Ggplot  For use with stat_summary() mean_se (x, mult = 1) arguments. Calculate mean and standard error — mean_se • ggplot2. You can use the following basic syntax to add error bars to a bar plot in r: Mean_se(x, mult = 1) arguments. This tutorial describes how to create a graph with error bars using r software and ggplot2 package. A focus. Standard Error Ggplot.
     
    
         
        From www.datanovia.com 
                    GGPlot Error Bars Best Reference Datanovia Standard Error Ggplot  The formula for calculation of standard error is se = sd/sqrt(n). Both ggplot2 and base r solutions are considered. There are different types of error bars which can be created using the functions. For use with stat_summary() mean_se (x, mult = 1) arguments. A data frame with three. You can calculate standard error (se) beforehand like you have calculated standard. Standard Error Ggplot.
     
    
         
        From www.geeksforgeeks.org 
                    Plot mean and standard deviation using ggplot2 in R Standard Error Ggplot  You can calculate standard error (se) beforehand like you have calculated standard deviation (sd). For use with stat_summary() mean_se (x, mult = 1) arguments. There are different types of error bars which can be created using the functions. This tutorial describes how to create a graph with error bars using r software and ggplot2 package. Calculate mean and standard error. Standard Error Ggplot.
     
    
         
        From www.datanovia.com 
                    GGPlot Error Bars Best Reference Datanovia Standard Error Ggplot  Mean_se(x, mult = 1) arguments. A data frame with three. For use with stat_summary() mean_se (x, mult = 1) arguments. There are different types of error bars which can be created using the functions. Calculate mean and standard error — mean_se • ggplot2. This tutorial explains how to use the geom_errorbar() function in ggplot2 to add error bars to points. Standard Error Ggplot.
     
    
         
        From www.datanovia.com 
                    GGPlot Error Bars Best Reference Datanovia Standard Error Ggplot  This tutorial describes how to create a graph with error bars using r software and ggplot2 package. Number of multiples of standard error. A focus on different types of. A data frame with three. For use with stat_summary() mean_se (x, mult = 1) arguments. You can calculate standard error (se) beforehand like you have calculated standard deviation (sd). There are. Standard Error Ggplot.
     
    
         
        From tendtrendlify.blogspot.com 
                    Ggplot Bar Graph With Error Bars Standard Error Ggplot  This tutorial describes how to create a graph with error bars using r software and ggplot2 package. This tutorial explains how to use the geom_errorbar() function in ggplot2 to add error bars to points in a plot, including an example. For use with stat_summary() mean_se (x, mult = 1) arguments. You can calculate standard error (se) beforehand like you have. Standard Error Ggplot.
     
    
         
        From statisticsglobe.com 
                    Add Standard Error Bars to Barchart in R Draw Barplot in Base & ggplot2 Standard Error Ggplot  Calculate mean and standard error — mean_se • ggplot2. You can calculate standard error (se) beforehand like you have calculated standard deviation (sd). A data frame with three. Number of multiples of standard error. This tutorial explains how to use the geom_errorbar() function in ggplot2 to add error bars to points in a plot, including an example. The formula for. Standard Error Ggplot.
     
    
         
        From www.datanovia.com 
                    GGPlot Error Bars Best Reference Datanovia Standard Error Ggplot  Mean_se(x, mult = 1) arguments. The formula for calculation of standard error is se = sd/sqrt(n). You can calculate standard error (se) beforehand like you have calculated standard deviation (sd). Number of multiples of standard error. This tutorial describes how to create a graph with error bars using r software and ggplot2 package. Calculate mean and standard error — mean_se. Standard Error Ggplot.
     
    
         
        From semba-blog.netlify.app 
                    Barplot with errorbar in ggplot2 Masumbuko Semba's Blog Standard Error Ggplot  Both ggplot2 and base r solutions are considered. A focus on different types of. This tutorial describes how to create a graph with error bars using r software and ggplot2 package. This post describes how to add error bars on your barplot using r. A data frame with three. The formula for calculation of standard error is se = sd/sqrt(n).. Standard Error Ggplot.