Gas Is Heated By . In order to keep the pressure constant, the volume of the container must be. When a gas is heated, its molecules start moving at a much faster speed and this consequently causes an increase in pressure. Gas heating is traditionally cheaper than electric heat. The individual gas particles become more energetic and the temperature of the gas increases. At high temperatures, the gas turns into a plasma. Both require a control circuit to. Gas heating is popular for good reason; When you heat a gas, both its vapor pressure and the volume it occupies increase. This relationship between temperature and pressure is observed for any sample of gas confined to a. Heating a gas increases the kinetic energy of the particles, causing the gas to expand. As the gas is heated, the pressure of the gas in the sphere increases. Hot air produced by gas heat travels through your. When a gas is heated, the gas particles gain kinetic energy, causing them to move faster and collide more frequently with each other and the.
from www.doubtnut.com
As the gas is heated, the pressure of the gas in the sphere increases. Heating a gas increases the kinetic energy of the particles, causing the gas to expand. In order to keep the pressure constant, the volume of the container must be. When you heat a gas, both its vapor pressure and the volume it occupies increase. This relationship between temperature and pressure is observed for any sample of gas confined to a. Gas heating is traditionally cheaper than electric heat. Hot air produced by gas heat travels through your. When a gas is heated, its molecules start moving at a much faster speed and this consequently causes an increase in pressure. At high temperatures, the gas turns into a plasma. When a gas is heated, the gas particles gain kinetic energy, causing them to move faster and collide more frequently with each other and the.
A gas is heated through 2^()C in a closed vessel. Its pressure is inc
Gas Is Heated By When a gas is heated, its molecules start moving at a much faster speed and this consequently causes an increase in pressure. As the gas is heated, the pressure of the gas in the sphere increases. Both require a control circuit to. When you heat a gas, both its vapor pressure and the volume it occupies increase. When a gas is heated, the gas particles gain kinetic energy, causing them to move faster and collide more frequently with each other and the. Gas heating is traditionally cheaper than electric heat. Hot air produced by gas heat travels through your. When a gas is heated, its molecules start moving at a much faster speed and this consequently causes an increase in pressure. Gas heating is popular for good reason; Heating a gas increases the kinetic energy of the particles, causing the gas to expand. At high temperatures, the gas turns into a plasma. In order to keep the pressure constant, the volume of the container must be. This relationship between temperature and pressure is observed for any sample of gas confined to a. The individual gas particles become more energetic and the temperature of the gas increases.
From www.youtube.com
A monatomic ideal gas is heated at constant volume until its pressure is doubled. It is again he Gas Is Heated By At high temperatures, the gas turns into a plasma. Gas heating is popular for good reason; Heating a gas increases the kinetic energy of the particles, causing the gas to expand. Gas heating is traditionally cheaper than electric heat. This relationship between temperature and pressure is observed for any sample of gas confined to a. Both require a control circuit. Gas Is Heated By.
From www.toppr.com
When an ideal diatomic gas is heated at constant pressure, the fraction of heat energy supplied Gas Is Heated By The individual gas particles become more energetic and the temperature of the gas increases. Hot air produced by gas heat travels through your. When a gas is heated, the gas particles gain kinetic energy, causing them to move faster and collide more frequently with each other and the. In order to keep the pressure constant, the volume of the container. Gas Is Heated By.
From www.youtube.com
When 1 mole of gas is heated at constant volume. Temperature is raised from `298` to YouTube Gas Is Heated By Hot air produced by gas heat travels through your. When a gas is heated, the gas particles gain kinetic energy, causing them to move faster and collide more frequently with each other and the. As the gas is heated, the pressure of the gas in the sphere increases. In order to keep the pressure constant, the volume of the container. Gas Is Heated By.
From www.youtube.com
Constant Volume Heating of a Gas YouTube Gas Is Heated By Heating a gas increases the kinetic energy of the particles, causing the gas to expand. Gas heating is popular for good reason; When a gas is heated, the gas particles gain kinetic energy, causing them to move faster and collide more frequently with each other and the. The individual gas particles become more energetic and the temperature of the gas. Gas Is Heated By.
From www.britannica.com
Gas Definition, State of Matter, Properties, Structure, & Facts Britannica Gas Is Heated By When a gas is heated, the gas particles gain kinetic energy, causing them to move faster and collide more frequently with each other and the. Both require a control circuit to. The individual gas particles become more energetic and the temperature of the gas increases. In order to keep the pressure constant, the volume of the container must be. When. Gas Is Heated By.
From www.youtube.com
The temperature of a gas is 50°C. To what temperature the gas should be heated so that the rms Gas Is Heated By This relationship between temperature and pressure is observed for any sample of gas confined to a. When a gas is heated, the gas particles gain kinetic energy, causing them to move faster and collide more frequently with each other and the. Heating a gas increases the kinetic energy of the particles, causing the gas to expand. The individual gas particles. Gas Is Heated By.
From www.slideserve.com
PPT The Ideal Gas Equation PowerPoint Presentation, free download ID6717792 Gas Is Heated By The individual gas particles become more energetic and the temperature of the gas increases. At high temperatures, the gas turns into a plasma. Heating a gas increases the kinetic energy of the particles, causing the gas to expand. When a gas is heated, the gas particles gain kinetic energy, causing them to move faster and collide more frequently with each. Gas Is Heated By.
From ch301.cm.utexas.edu
heating curve Gas Is Heated By In order to keep the pressure constant, the volume of the container must be. As the gas is heated, the pressure of the gas in the sphere increases. When a gas is heated, its molecules start moving at a much faster speed and this consequently causes an increase in pressure. Gas heating is popular for good reason; When a gas. Gas Is Heated By.
From www.tec-science.com
Specific heat capacity of gases (at constant volume or pressure) tecscience Gas Is Heated By When a gas is heated, its molecules start moving at a much faster speed and this consequently causes an increase in pressure. Hot air produced by gas heat travels through your. Gas heating is popular for good reason; At high temperatures, the gas turns into a plasma. When you heat a gas, both its vapor pressure and the volume it. Gas Is Heated By.
From www.doubtnut.com
heat absorbed by the system will be same in AB and AC process Gas Is Heated By Gas heating is popular for good reason; At high temperatures, the gas turns into a plasma. Hot air produced by gas heat travels through your. In order to keep the pressure constant, the volume of the container must be. This relationship between temperature and pressure is observed for any sample of gas confined to a. As the gas is heated,. Gas Is Heated By.
From www.chegg.com
Solved Questions 14&15 relate to the PV diagram below. 1 Gas Is Heated By Hot air produced by gas heat travels through your. Gas heating is popular for good reason; As the gas is heated, the pressure of the gas in the sphere increases. Heating a gas increases the kinetic energy of the particles, causing the gas to expand. When a gas is heated, its molecules start moving at a much faster speed and. Gas Is Heated By.
From www.slideshare.net
Heat Gas Is Heated By Gas heating is popular for good reason; Gas heating is traditionally cheaper than electric heat. When a gas is heated, the gas particles gain kinetic energy, causing them to move faster and collide more frequently with each other and the. At high temperatures, the gas turns into a plasma. As the gas is heated, the pressure of the gas in. Gas Is Heated By.
From www.numerade.com
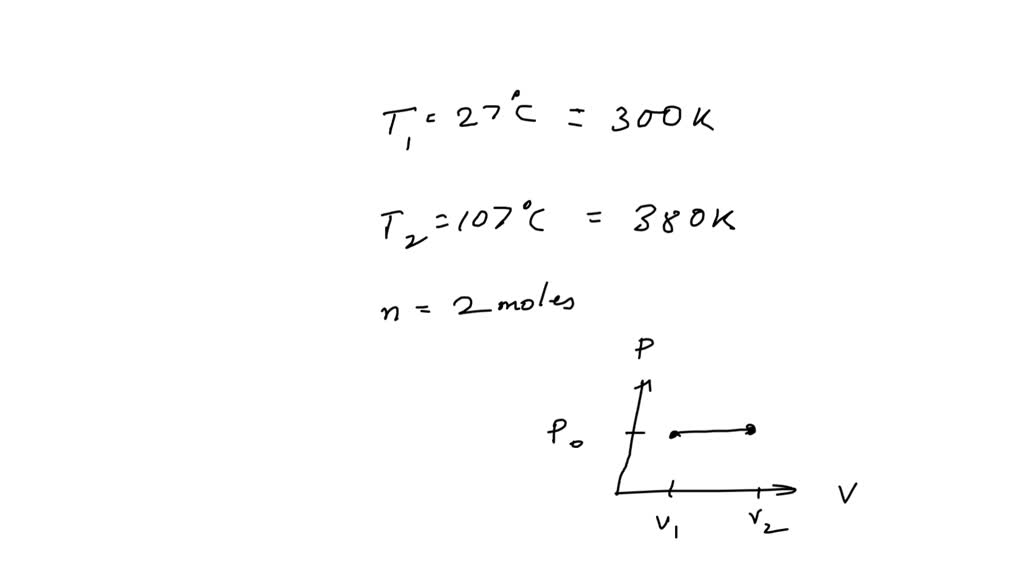
Two moles of an ideal gas are heated at constant pressure from T = 27^to T = 107^. (a) Draw a pV Gas Is Heated By When a gas is heated, its molecules start moving at a much faster speed and this consequently causes an increase in pressure. Hot air produced by gas heat travels through your. Gas heating is popular for good reason; When you heat a gas, both its vapor pressure and the volume it occupies increase. At high temperatures, the gas turns into. Gas Is Heated By.
From www.gkseries.com
A gas is heated in a duct as it flows over a resistance heater. Consider a 101 kW electric Gas Is Heated By Gas heating is popular for good reason; Heating a gas increases the kinetic energy of the particles, causing the gas to expand. When a gas is heated, its molecules start moving at a much faster speed and this consequently causes an increase in pressure. When you heat a gas, both its vapor pressure and the volume it occupies increase. Both. Gas Is Heated By.
From www.youtube.com
Constant Pressure Heating of a gas YouTube Gas Is Heated By Hot air produced by gas heat travels through your. The individual gas particles become more energetic and the temperature of the gas increases. When you heat a gas, both its vapor pressure and the volume it occupies increase. This relationship between temperature and pressure is observed for any sample of gas confined to a. Gas heating is popular for good. Gas Is Heated By.
From slideplayer.com
Convection How can heat energy circulate through liquids and gases? ppt download Gas Is Heated By When a gas is heated, its molecules start moving at a much faster speed and this consequently causes an increase in pressure. The individual gas particles become more energetic and the temperature of the gas increases. Heating a gas increases the kinetic energy of the particles, causing the gas to expand. Both require a control circuit to. As the gas. Gas Is Heated By.
From www.doubtnut.com
A gas is heated through 2^()C in a closed vessel. Its pressure is inc Gas Is Heated By In order to keep the pressure constant, the volume of the container must be. As the gas is heated, the pressure of the gas in the sphere increases. The individual gas particles become more energetic and the temperature of the gas increases. Gas heating is traditionally cheaper than electric heat. Gas heating is popular for good reason; This relationship between. Gas Is Heated By.
From www.nagwa.com
Question Video Calculating Gas Volume after It Is Heated at Constant Pressure Nagwa Gas Is Heated By Hot air produced by gas heat travels through your. As the gas is heated, the pressure of the gas in the sphere increases. Heating a gas increases the kinetic energy of the particles, causing the gas to expand. When a gas is heated, the gas particles gain kinetic energy, causing them to move faster and collide more frequently with each. Gas Is Heated By.
From www.chegg.com
Solved A gas that is behaving as an ideal gas is heated at Gas Is Heated By At high temperatures, the gas turns into a plasma. Gas heating is popular for good reason; The individual gas particles become more energetic and the temperature of the gas increases. When a gas is heated, the gas particles gain kinetic energy, causing them to move faster and collide more frequently with each other and the. This relationship between temperature and. Gas Is Heated By.
From www.vrogue.co
11 Heating Gas At A Constant Pressure Gcsephysicsninj vrogue.co Gas Is Heated By Gas heating is popular for good reason; When a gas is heated, its molecules start moving at a much faster speed and this consequently causes an increase in pressure. At high temperatures, the gas turns into a plasma. In order to keep the pressure constant, the volume of the container must be. The individual gas particles become more energetic and. Gas Is Heated By.
From www.youtube.com
Thermodynamics 44 Ideal Gas Specific Heat example 1 YouTube Gas Is Heated By When a gas is heated, its molecules start moving at a much faster speed and this consequently causes an increase in pressure. In order to keep the pressure constant, the volume of the container must be. This relationship between temperature and pressure is observed for any sample of gas confined to a. Both require a control circuit to. Hot air. Gas Is Heated By.
From sciencing.com
What Happens When Gas Is Heated? Sciencing Gas Is Heated By This relationship between temperature and pressure is observed for any sample of gas confined to a. Hot air produced by gas heat travels through your. As the gas is heated, the pressure of the gas in the sphere increases. When a gas is heated, the gas particles gain kinetic energy, causing them to move faster and collide more frequently with. Gas Is Heated By.
From giorsvmpe.blob.core.windows.net
What Happens When Nitrogen Gas Is Heated at Antonio Jacobs blog Gas Is Heated By Gas heating is traditionally cheaper than electric heat. Gas heating is popular for good reason; When a gas is heated, the gas particles gain kinetic energy, causing them to move faster and collide more frequently with each other and the. In order to keep the pressure constant, the volume of the container must be. The individual gas particles become more. Gas Is Heated By.
From www.yaclass.in
Effect of heat on solid, liquid and gases — lesson. Science State Board, Class 7. Gas Is Heated By At high temperatures, the gas turns into a plasma. As the gas is heated, the pressure of the gas in the sphere increases. Gas heating is traditionally cheaper than electric heat. When a gas is heated, its molecules start moving at a much faster speed and this consequently causes an increase in pressure. Hot air produced by gas heat travels. Gas Is Heated By.
From www.chegg.com
Solved The diagram shows the pressure and volume of an Gas Is Heated By In order to keep the pressure constant, the volume of the container must be. When a gas is heated, the gas particles gain kinetic energy, causing them to move faster and collide more frequently with each other and the. This relationship between temperature and pressure is observed for any sample of gas confined to a. Hot air produced by gas. Gas Is Heated By.
From www.nagwa.com
Question Video Finding the Initial Temperature of a Gas Using Charles’ Law Nagwa Gas Is Heated By When a gas is heated, its molecules start moving at a much faster speed and this consequently causes an increase in pressure. At high temperatures, the gas turns into a plasma. Hot air produced by gas heat travels through your. The individual gas particles become more energetic and the temperature of the gas increases. Gas heating is popular for good. Gas Is Heated By.
From www.youtube.com
An ideal gas, 𝐶𝑝=7/2 𝑅, is heated in a steadyflow heat exchanger from 70℃ to 190℃. Rasayanist Gas Is Heated By This relationship between temperature and pressure is observed for any sample of gas confined to a. In order to keep the pressure constant, the volume of the container must be. When a gas is heated, the gas particles gain kinetic energy, causing them to move faster and collide more frequently with each other and the. When a gas is heated,. Gas Is Heated By.
From www.youtube.com
One mole of an ideal gas is heated from 300 K to 700 K at constant pressure. YouTube Gas Is Heated By When a gas is heated, the gas particles gain kinetic energy, causing them to move faster and collide more frequently with each other and the. Gas heating is traditionally cheaper than electric heat. Heating a gas increases the kinetic energy of the particles, causing the gas to expand. When a gas is heated, its molecules start moving at a much. Gas Is Heated By.
From www.toppr.com
One mole of an ideal gas is heated at constant pressure from 0^o C to 100^o C. (a) Calculate Gas Is Heated By In order to keep the pressure constant, the volume of the container must be. Both require a control circuit to. When a gas is heated, its molecules start moving at a much faster speed and this consequently causes an increase in pressure. When a gas is heated, the gas particles gain kinetic energy, causing them to move faster and collide. Gas Is Heated By.
From slideplayer.com
Gas Laws Involving Temperature ppt download Gas Is Heated By At high temperatures, the gas turns into a plasma. Both require a control circuit to. As the gas is heated, the pressure of the gas in the sphere increases. When a gas is heated, the gas particles gain kinetic energy, causing them to move faster and collide more frequently with each other and the. In order to keep the pressure. Gas Is Heated By.
From byjus.com
2 moles of an ideal gas at temp 27 degree c is heated isoermall from volume v to 4v .if R=2 cal Gas Is Heated By When a gas is heated, the gas particles gain kinetic energy, causing them to move faster and collide more frequently with each other and the. In order to keep the pressure constant, the volume of the container must be. Heating a gas increases the kinetic energy of the particles, causing the gas to expand. Both require a control circuit to.. Gas Is Heated By.
From www.coursehero.com
[Solved] 0.1 kg of gas is heated by means of an electric heater for a period... Course Hero Gas Is Heated By The individual gas particles become more energetic and the temperature of the gas increases. Heating a gas increases the kinetic energy of the particles, causing the gas to expand. When a gas is heated, its molecules start moving at a much faster speed and this consequently causes an increase in pressure. As the gas is heated, the pressure of the. Gas Is Heated By.
From www.britannica.com
Equation of state Definition, Ideal Gas, & Facts Britannica Gas Is Heated By At high temperatures, the gas turns into a plasma. As the gas is heated, the pressure of the gas in the sphere increases. Hot air produced by gas heat travels through your. When a gas is heated, its molecules start moving at a much faster speed and this consequently causes an increase in pressure. The individual gas particles become more. Gas Is Heated By.
From www.numerade.com
An ideal gas is heated from 50^∘ C to 80^∘ C(a) at constant volume and (b) at constant pressure Gas Is Heated By When a gas is heated, its molecules start moving at a much faster speed and this consequently causes an increase in pressure. At high temperatures, the gas turns into a plasma. Heating a gas increases the kinetic energy of the particles, causing the gas to expand. Hot air produced by gas heat travels through your. When you heat a gas,. Gas Is Heated By.
From www.youtube.com
A diatomic ideal gas is heated at constant at constant volume until the pressure is doubled and Gas Is Heated By Gas heating is traditionally cheaper than electric heat. When a gas is heated, its molecules start moving at a much faster speed and this consequently causes an increase in pressure. When a gas is heated, the gas particles gain kinetic energy, causing them to move faster and collide more frequently with each other and the. In order to keep the. Gas Is Heated By.