Heat Of Formation Of No2 . 193 rows in chemistry and thermodynamics, the standard enthalpy of formation or standard heat of formation of a compound is the change of. \[\delta h_{reaction}^o = \sum {\delta. The standard enthalpy of formation is a measure of the energy released or consumed when one mole of a substance is created under standard. To find the δh reaction o, use the formula for the standard enthalpy change of formation: It means that 33.2 kj of energy is required to form one mole of no 2 from ½ mole of nitrogen (n 2) and one mole of oxygen (o 2) at 1 atmospheric pressure and 25 ˚c. Selected atct [1, 2] enthalpy of formation based on version 1.118 of the thermochemical network this version of atct results was partially. By definition, the standard enthalpy of formation of an element in its most stable form is equal to zero under standard conditions, which is 1 atm for. The standard enthalpy of the formation of nitrogen dioxide is +33.2 kj/mol.
from www.youtube.com
By definition, the standard enthalpy of formation of an element in its most stable form is equal to zero under standard conditions, which is 1 atm for. It means that 33.2 kj of energy is required to form one mole of no 2 from ½ mole of nitrogen (n 2) and one mole of oxygen (o 2) at 1 atmospheric pressure and 25 ˚c. Selected atct [1, 2] enthalpy of formation based on version 1.118 of the thermochemical network this version of atct results was partially. \[\delta h_{reaction}^o = \sum {\delta. The standard enthalpy of the formation of nitrogen dioxide is +33.2 kj/mol. To find the δh reaction o, use the formula for the standard enthalpy change of formation: The standard enthalpy of formation is a measure of the energy released or consumed when one mole of a substance is created under standard. 193 rows in chemistry and thermodynamics, the standard enthalpy of formation or standard heat of formation of a compound is the change of.
If the heat of formation of NO_(2) is \'x\' [1/2 N_(2)(g) + O_(2)(g) rightarrow NO_(2)(g)] the
Heat Of Formation Of No2 The standard enthalpy of the formation of nitrogen dioxide is +33.2 kj/mol. By definition, the standard enthalpy of formation of an element in its most stable form is equal to zero under standard conditions, which is 1 atm for. Selected atct [1, 2] enthalpy of formation based on version 1.118 of the thermochemical network this version of atct results was partially. The standard enthalpy of formation is a measure of the energy released or consumed when one mole of a substance is created under standard. It means that 33.2 kj of energy is required to form one mole of no 2 from ½ mole of nitrogen (n 2) and one mole of oxygen (o 2) at 1 atmospheric pressure and 25 ˚c. To find the δh reaction o, use the formula for the standard enthalpy change of formation: \[\delta h_{reaction}^o = \sum {\delta. 193 rows in chemistry and thermodynamics, the standard enthalpy of formation or standard heat of formation of a compound is the change of. The standard enthalpy of the formation of nitrogen dioxide is +33.2 kj/mol.
From brainly.in
Enthalpy of formation of NO2, SO2, Co2, and NH3,are 33.18, 296, 393 and 46 kJ/mol respectively Heat Of Formation Of No2 It means that 33.2 kj of energy is required to form one mole of no 2 from ½ mole of nitrogen (n 2) and one mole of oxygen (o 2) at 1 atmospheric pressure and 25 ˚c. By definition, the standard enthalpy of formation of an element in its most stable form is equal to zero under standard conditions, which. Heat Of Formation Of No2.
From www.toppr.com
If the heat of formation of NO2 is 'x' [1/2 N2(g) + O2(g)→ NO2(g)] the heat of reaction N2(g Heat Of Formation Of No2 193 rows in chemistry and thermodynamics, the standard enthalpy of formation or standard heat of formation of a compound is the change of. It means that 33.2 kj of energy is required to form one mole of no 2 from ½ mole of nitrogen (n 2) and one mole of oxygen (o 2) at 1 atmospheric pressure and 25 ˚c.. Heat Of Formation Of No2.
From askfilo.com
Thermodynamics 145 32. If the heat of formation of NO2 is ' x ' [1/2 N2(.. Heat Of Formation Of No2 By definition, the standard enthalpy of formation of an element in its most stable form is equal to zero under standard conditions, which is 1 atm for. It means that 33.2 kj of energy is required to form one mole of no 2 from ½ mole of nitrogen (n 2) and one mole of oxygen (o 2) at 1 atmospheric. Heat Of Formation Of No2.
From www.slideserve.com
PPT NITROGENOXIDES PowerPoint Presentation, free download ID4735299 Heat Of Formation Of No2 The standard enthalpy of formation is a measure of the energy released or consumed when one mole of a substance is created under standard. \[\delta h_{reaction}^o = \sum {\delta. The standard enthalpy of the formation of nitrogen dioxide is +33.2 kj/mol. To find the δh reaction o, use the formula for the standard enthalpy change of formation: It means that. Heat Of Formation Of No2.
From www.slideserve.com
PPT NITROGENOXIDES PowerPoint Presentation, free download ID4735299 Heat Of Formation Of No2 To find the δh reaction o, use the formula for the standard enthalpy change of formation: 193 rows in chemistry and thermodynamics, the standard enthalpy of formation or standard heat of formation of a compound is the change of. Selected atct [1, 2] enthalpy of formation based on version 1.118 of the thermochemical network this version of atct results was. Heat Of Formation Of No2.
From www.meritnation.com
The standard heat of formation of a no2 (g) and n2o4(g) are 8 and 4 kilo calories per mole Heat Of Formation Of No2 To find the δh reaction o, use the formula for the standard enthalpy change of formation: Selected atct [1, 2] enthalpy of formation based on version 1.118 of the thermochemical network this version of atct results was partially. The standard enthalpy of formation is a measure of the energy released or consumed when one mole of a substance is created. Heat Of Formation Of No2.
From www.toppr.com
The standard enthalpies of formation of NO2(g) and N2O4(g) 8 and 4 kcal mol ^1 respectively.The Heat Of Formation Of No2 It means that 33.2 kj of energy is required to form one mole of no 2 from ½ mole of nitrogen (n 2) and one mole of oxygen (o 2) at 1 atmospheric pressure and 25 ˚c. 193 rows in chemistry and thermodynamics, the standard enthalpy of formation or standard heat of formation of a compound is the change of.. Heat Of Formation Of No2.
From www.youtube.com
How to calculate heat of formation calculate enthalpy change / best chemistry solution YouTube Heat Of Formation Of No2 The standard enthalpy of the formation of nitrogen dioxide is +33.2 kj/mol. It means that 33.2 kj of energy is required to form one mole of no 2 from ½ mole of nitrogen (n 2) and one mole of oxygen (o 2) at 1 atmospheric pressure and 25 ˚c. Selected atct [1, 2] enthalpy of formation based on version 1.118. Heat Of Formation Of No2.
From byjus.com
If the heat of formation of NO2 is x 1/2N2+O2=NO .heat of reaction N2+O2=2NO is y and the heat Heat Of Formation Of No2 The standard enthalpy of the formation of nitrogen dioxide is +33.2 kj/mol. To find the δh reaction o, use the formula for the standard enthalpy change of formation: The standard enthalpy of formation is a measure of the energy released or consumed when one mole of a substance is created under standard. It means that 33.2 kj of energy is. Heat Of Formation Of No2.
From www.slideserve.com
PPT Thermal Energy PowerPoint Presentation, free download ID5769943 Heat Of Formation Of No2 To find the δh reaction o, use the formula for the standard enthalpy change of formation: \[\delta h_{reaction}^o = \sum {\delta. Selected atct [1, 2] enthalpy of formation based on version 1.118 of the thermochemical network this version of atct results was partially. It means that 33.2 kj of energy is required to form one mole of no 2 from. Heat Of Formation Of No2.
From www.toppr.com
The standard heat of formation of NO_2(g) and N_2O_4(g) are 8.0 and 4.0 kcal mol^{1 Heat Of Formation Of No2 To find the δh reaction o, use the formula for the standard enthalpy change of formation: The standard enthalpy of formation is a measure of the energy released or consumed when one mole of a substance is created under standard. It means that 33.2 kj of energy is required to form one mole of no 2 from ½ mole of. Heat Of Formation Of No2.
From www.toppr.com
If the heat of formation of NO2 is 'x' [1/2N2 (g) + O2 (g)→NO2 (g)] the heat of reaction N2 (g Heat Of Formation Of No2 193 rows in chemistry and thermodynamics, the standard enthalpy of formation or standard heat of formation of a compound is the change of. To find the δh reaction o, use the formula for the standard enthalpy change of formation: \[\delta h_{reaction}^o = \sum {\delta. By definition, the standard enthalpy of formation of an element in its most stable form is. Heat Of Formation Of No2.
From www.slideserve.com
PPT Heat of Formation PowerPoint Presentation, free download ID3890043 Heat Of Formation Of No2 Selected atct [1, 2] enthalpy of formation based on version 1.118 of the thermochemical network this version of atct results was partially. It means that 33.2 kj of energy is required to form one mole of no 2 from ½ mole of nitrogen (n 2) and one mole of oxygen (o 2) at 1 atmospheric pressure and 25 ˚c. To. Heat Of Formation Of No2.
From www.numerade.com
SOLVED Calculate the Gibbs free energy for the formation of N2O4 gas from NO2 gas at a Heat Of Formation Of No2 \[\delta h_{reaction}^o = \sum {\delta. By definition, the standard enthalpy of formation of an element in its most stable form is equal to zero under standard conditions, which is 1 atm for. 193 rows in chemistry and thermodynamics, the standard enthalpy of formation or standard heat of formation of a compound is the change of. To find the δh reaction. Heat Of Formation Of No2.
From www.numerade.com
SOLVED The enthalpy of of NO2Cl is 114.0 kJ. Use the following data to calculate Heat Of Formation Of No2 \[\delta h_{reaction}^o = \sum {\delta. By definition, the standard enthalpy of formation of an element in its most stable form is equal to zero under standard conditions, which is 1 atm for. To find the δh reaction o, use the formula for the standard enthalpy change of formation: The standard enthalpy of formation is a measure of the energy released. Heat Of Formation Of No2.
From www.toppr.com
(3) +18.69 kJ (4) 1.'13 kJ 15. If the heat of formation of NO2 is 'X' [72 N2(g) + O2(g) → NO2(g Heat Of Formation Of No2 The standard enthalpy of the formation of nitrogen dioxide is +33.2 kj/mol. 193 rows in chemistry and thermodynamics, the standard enthalpy of formation or standard heat of formation of a compound is the change of. To find the δh reaction o, use the formula for the standard enthalpy change of formation: Selected atct [1, 2] enthalpy of formation based on. Heat Of Formation Of No2.
From www.meritnation.com
IF THE HEAT OF FORMATION OF NO2 IS X THE HEAT OF REACTION OF N2 +O2 =2NO IS Y AND Chemistry Heat Of Formation Of No2 The standard enthalpy of the formation of nitrogen dioxide is +33.2 kj/mol. Selected atct [1, 2] enthalpy of formation based on version 1.118 of the thermochemical network this version of atct results was partially. By definition, the standard enthalpy of formation of an element in its most stable form is equal to zero under standard conditions, which is 1 atm. Heat Of Formation Of No2.
From www.youtube.com
If the heat of formation of NO_(2) is \'x\' [1/2 N_(2)(g) + O_(2)(g) rightarrow NO_(2)(g)] the Heat Of Formation Of No2 It means that 33.2 kj of energy is required to form one mole of no 2 from ½ mole of nitrogen (n 2) and one mole of oxygen (o 2) at 1 atmospheric pressure and 25 ˚c. Selected atct [1, 2] enthalpy of formation based on version 1.118 of the thermochemical network this version of atct results was partially. \[\delta. Heat Of Formation Of No2.
From www.numerade.com
SOLVED Determine the standard enthalpy of formation in kJ/mol for NO given the following Heat Of Formation Of No2 The standard enthalpy of the formation of nitrogen dioxide is +33.2 kj/mol. It means that 33.2 kj of energy is required to form one mole of no 2 from ½ mole of nitrogen (n 2) and one mole of oxygen (o 2) at 1 atmospheric pressure and 25 ˚c. \[\delta h_{reaction}^o = \sum {\delta. The standard enthalpy of formation is. Heat Of Formation Of No2.
From www.numerade.com
The standard enthalpy of formation of NO2(g) and N2O4(g) are +33.18 kJ mol1 and +9.16 kJ mol1 Heat Of Formation Of No2 By definition, the standard enthalpy of formation of an element in its most stable form is equal to zero under standard conditions, which is 1 atm for. \[\delta h_{reaction}^o = \sum {\delta. Selected atct [1, 2] enthalpy of formation based on version 1.118 of the thermochemical network this version of atct results was partially. 193 rows in chemistry and thermodynamics,. Heat Of Formation Of No2.
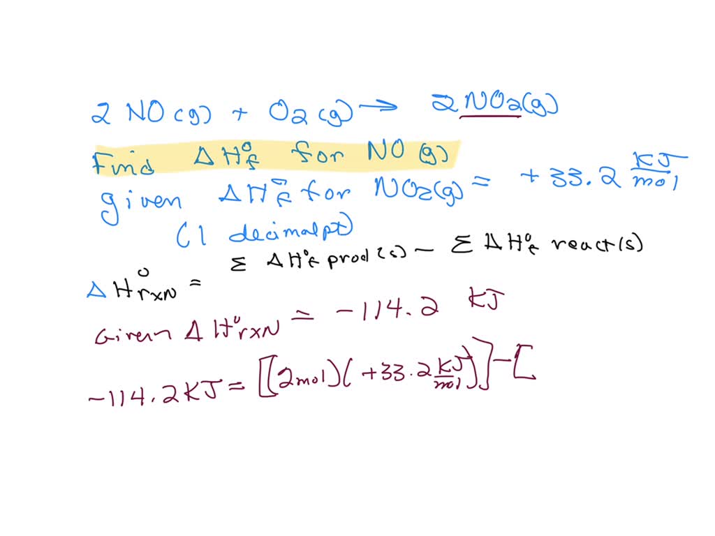
From www.chegg.com
Solved The standard heat of formation for NO2 is 33.2molkJ. Heat Of Formation Of No2 To find the δh reaction o, use the formula for the standard enthalpy change of formation: The standard enthalpy of the formation of nitrogen dioxide is +33.2 kj/mol. It means that 33.2 kj of energy is required to form one mole of no 2 from ½ mole of nitrogen (n 2) and one mole of oxygen (o 2) at 1. Heat Of Formation Of No2.
From www.toppr.com
If the heat of formation of NO2 is 'x' [1/2 N2(g) + O2(g)→ NO2(g)] the heat of reaction N2(g Heat Of Formation Of No2 Selected atct [1, 2] enthalpy of formation based on version 1.118 of the thermochemical network this version of atct results was partially. 193 rows in chemistry and thermodynamics, the standard enthalpy of formation or standard heat of formation of a compound is the change of. By definition, the standard enthalpy of formation of an element in its most stable form. Heat Of Formation Of No2.
From www.solutionspile.com
[Solved] Using known enthalpy of formation values, determ Heat Of Formation Of No2 The standard enthalpy of formation is a measure of the energy released or consumed when one mole of a substance is created under standard. By definition, the standard enthalpy of formation of an element in its most stable form is equal to zero under standard conditions, which is 1 atm for. It means that 33.2 kj of energy is required. Heat Of Formation Of No2.
From www.toppr.com
The standard heat of formation in kcal mol^1 of NO2(g) and N2O4(g) are 8.0 and 2.0 respectively Heat Of Formation Of No2 \[\delta h_{reaction}^o = \sum {\delta. Selected atct [1, 2] enthalpy of formation based on version 1.118 of the thermochemical network this version of atct results was partially. To find the δh reaction o, use the formula for the standard enthalpy change of formation: It means that 33.2 kj of energy is required to form one mole of no 2 from. Heat Of Formation Of No2.
From www.meritnation.com
Question no 15 15 If the heat of formation of NO2 is 'x' [1/2 N2(g) + Chemistry Heat Of Formation Of No2 It means that 33.2 kj of energy is required to form one mole of no 2 from ½ mole of nitrogen (n 2) and one mole of oxygen (o 2) at 1 atmospheric pressure and 25 ˚c. To find the δh reaction o, use the formula for the standard enthalpy change of formation: Selected atct [1, 2] enthalpy of formation. Heat Of Formation Of No2.
From askfilo.com
If the heat of formation of formation of NO2 is reaction N2( g) +O2( g) Heat Of Formation Of No2 The standard enthalpy of the formation of nitrogen dioxide is +33.2 kj/mol. It means that 33.2 kj of energy is required to form one mole of no 2 from ½ mole of nitrogen (n 2) and one mole of oxygen (o 2) at 1 atmospheric pressure and 25 ˚c. \[\delta h_{reaction}^o = \sum {\delta. The standard enthalpy of formation is. Heat Of Formation Of No2.
From www.numerade.com
SOLVED 1. Estimate the heat of formation of NO2 (g) using the table of bond dissociation Heat Of Formation Of No2 193 rows in chemistry and thermodynamics, the standard enthalpy of formation or standard heat of formation of a compound is the change of. \[\delta h_{reaction}^o = \sum {\delta. To find the δh reaction o, use the formula for the standard enthalpy change of formation: It means that 33.2 kj of energy is required to form one mole of no 2. Heat Of Formation Of No2.
From www.toppr.com
The standard heat of formation of NO2(g) and N2O4(g) are 8.0 and 4.0 kcal mol^1 respectively Heat Of Formation Of No2 The standard enthalpy of the formation of nitrogen dioxide is +33.2 kj/mol. 193 rows in chemistry and thermodynamics, the standard enthalpy of formation or standard heat of formation of a compound is the change of. Selected atct [1, 2] enthalpy of formation based on version 1.118 of the thermochemical network this version of atct results was partially. \[\delta h_{reaction}^o =. Heat Of Formation Of No2.
From www.toppr.com
The standard heat of formation of NO2(g) and N2O4(g) are 8.0 and 4.0 kcal mol^1 respectively Heat Of Formation Of No2 By definition, the standard enthalpy of formation of an element in its most stable form is equal to zero under standard conditions, which is 1 atm for. The standard enthalpy of the formation of nitrogen dioxide is +33.2 kj/mol. The standard enthalpy of formation is a measure of the energy released or consumed when one mole of a substance is. Heat Of Formation Of No2.
From www.toppr.com
The standard heats of formation in kcal mol^1 of NO2(g) and N2O4(g) are 8.0 and 2.0 Heat Of Formation Of No2 Selected atct [1, 2] enthalpy of formation based on version 1.118 of the thermochemical network this version of atct results was partially. \[\delta h_{reaction}^o = \sum {\delta. The standard enthalpy of formation is a measure of the energy released or consumed when one mole of a substance is created under standard. To find the δh reaction o, use the formula. Heat Of Formation Of No2.
From www.coursehero.com
[Solved] . 24. Construct an enthalpy diagram for the formation of NO2(g)... Course Hero Heat Of Formation Of No2 The standard enthalpy of the formation of nitrogen dioxide is +33.2 kj/mol. \[\delta h_{reaction}^o = \sum {\delta. It means that 33.2 kj of energy is required to form one mole of no 2 from ½ mole of nitrogen (n 2) and one mole of oxygen (o 2) at 1 atmospheric pressure and 25 ˚c. The standard enthalpy of formation is. Heat Of Formation Of No2.
From www.chegg.com
Solved Gaseous Nitrogen Dioxide NO2, Reacts With Oxygen T... Heat Of Formation Of No2 To find the δh reaction o, use the formula for the standard enthalpy change of formation: The standard enthalpy of the formation of nitrogen dioxide is +33.2 kj/mol. 193 rows in chemistry and thermodynamics, the standard enthalpy of formation or standard heat of formation of a compound is the change of. \[\delta h_{reaction}^o = \sum {\delta. By definition, the standard. Heat Of Formation Of No2.
From www.numerade.com
The standard heat of formation for NO2 is 33.2 kJ/mol. How much energy is required to form 760.0 Heat Of Formation Of No2 \[\delta h_{reaction}^o = \sum {\delta. To find the δh reaction o, use the formula for the standard enthalpy change of formation: By definition, the standard enthalpy of formation of an element in its most stable form is equal to zero under standard conditions, which is 1 atm for. Selected atct [1, 2] enthalpy of formation based on version 1.118 of. Heat Of Formation Of No2.
From www.chegg.com
Solved The standard heat of formation for NO2 is 33.2kJmol. Heat Of Formation Of No2 It means that 33.2 kj of energy is required to form one mole of no 2 from ½ mole of nitrogen (n 2) and one mole of oxygen (o 2) at 1 atmospheric pressure and 25 ˚c. 193 rows in chemistry and thermodynamics, the standard enthalpy of formation or standard heat of formation of a compound is the change of.. Heat Of Formation Of No2.
From www.toppr.com
If the heat of formation of NO2 is 'x' [1/2N2 (g) + O2 (g)→NO2 (g)] the heat of reaction N2 (g Heat Of Formation Of No2 The standard enthalpy of formation is a measure of the energy released or consumed when one mole of a substance is created under standard. 193 rows in chemistry and thermodynamics, the standard enthalpy of formation or standard heat of formation of a compound is the change of. It means that 33.2 kj of energy is required to form one mole. Heat Of Formation Of No2.