Density Of Carbon Fiber In Kg/M3 . Precursors for carbon fibres are pan, rayon and pitch. Carbon fiber filament yarns are used in. The density of carbon fiber constant displays the value of density for carbon fiber (2000 kg/m3). The density of carbon fiber constant displays the value of density for carbon fiber (2000 kg/m 3). A typical density of carbon fiber is 1750 kg/m 3. Density is defined as the mass per unit volume. The table below lists density of different metals including common metals and less common metals in g/cm3, kg/m3, lb/in3, lb/ft3. Density is defined as the. Densities, specific heats, viscosities and more. We will explain what carbon fiber density is and its role in determining. Density of carbon fiber is 2000 kg/m3. Volumetric mass density of lcp carbon fiber. Properties of gases, fluids and solids. In this section, we will provide an overview of carbon fiber density and its significance in various applications.
from www.researchgate.net
Carbon fiber filament yarns are used in. Precursors for carbon fibres are pan, rayon and pitch. We will explain what carbon fiber density is and its role in determining. Properties of gases, fluids and solids. Volumetric mass density of lcp carbon fiber. Density of carbon fiber is 2000 kg/m3. Density is defined as the. Density is defined as the mass per unit volume. The density of carbon fiber constant displays the value of density for carbon fiber (2000 kg/m 3). In this section, we will provide an overview of carbon fiber density and its significance in various applications.
Representative properties of standard PANbased carbon fibers
Density Of Carbon Fiber In Kg/M3 We will explain what carbon fiber density is and its role in determining. The density of carbon fiber constant displays the value of density for carbon fiber (2000 kg/m3). We will explain what carbon fiber density is and its role in determining. The density of carbon fiber constant displays the value of density for carbon fiber (2000 kg/m 3). Volumetric mass density of lcp carbon fiber. Density of carbon fiber is 2000 kg/m3. Densities, specific heats, viscosities and more. Density is defined as the mass per unit volume. Precursors for carbon fibres are pan, rayon and pitch. A typical density of carbon fiber is 1750 kg/m 3. In this section, we will provide an overview of carbon fiber density and its significance in various applications. Density is defined as the. Carbon fiber filament yarns are used in. The table below lists density of different metals including common metals and less common metals in g/cm3, kg/m3, lb/in3, lb/ft3. Properties of gases, fluids and solids.
From www.researchgate.net
Representative properties of standard PANbased carbon fibers Density Of Carbon Fiber In Kg/M3 Precursors for carbon fibres are pan, rayon and pitch. Properties of gases, fluids and solids. Density of carbon fiber is 2000 kg/m3. Carbon fiber filament yarns are used in. In this section, we will provide an overview of carbon fiber density and its significance in various applications. The table below lists density of different metals including common metals and less. Density Of Carbon Fiber In Kg/M3.
From material-properties.org
Carbon Fiber Density, Strength,, Melting Point Density Of Carbon Fiber In Kg/M3 We will explain what carbon fiber density is and its role in determining. The table below lists density of different metals including common metals and less common metals in g/cm3, kg/m3, lb/in3, lb/ft3. Density is defined as the. The density of carbon fiber constant displays the value of density for carbon fiber (2000 kg/m3). In this section, we will provide. Density Of Carbon Fiber In Kg/M3.
From www.researchgate.net
Material Properties of the CarbonFiberReinforced Polymer CFRP Strips Density Of Carbon Fiber In Kg/M3 Properties of gases, fluids and solids. A typical density of carbon fiber is 1750 kg/m 3. Carbon fiber filament yarns are used in. Density is defined as the mass per unit volume. Density of carbon fiber is 2000 kg/m3. The table below lists density of different metals including common metals and less common metals in g/cm3, kg/m3, lb/in3, lb/ft3. Precursors. Density Of Carbon Fiber In Kg/M3.
From www.researchgate.net
Properties of carbon fiber/epoxy and aramid fiber/epoxy composites Density Of Carbon Fiber In Kg/M3 Density is defined as the. Density of carbon fiber is 2000 kg/m3. The density of carbon fiber constant displays the value of density for carbon fiber (2000 kg/m 3). Volumetric mass density of lcp carbon fiber. The density of carbon fiber constant displays the value of density for carbon fiber (2000 kg/m3). In this section, we will provide an overview. Density Of Carbon Fiber In Kg/M3.
From socratic.org
What is the mass, in kg, of 14.0 L of gasoline? (Density 0.680g/cm^3 Density Of Carbon Fiber In Kg/M3 Precursors for carbon fibres are pan, rayon and pitch. We will explain what carbon fiber density is and its role in determining. The density of carbon fiber constant displays the value of density for carbon fiber (2000 kg/m3). The table below lists density of different metals including common metals and less common metals in g/cm3, kg/m3, lb/in3, lb/ft3. Properties of. Density Of Carbon Fiber In Kg/M3.
From www.electricalvolt.com
How to Calculate Current Carrying Capacity of Carbon Brushes? Density Of Carbon Fiber In Kg/M3 In this section, we will provide an overview of carbon fiber density and its significance in various applications. Volumetric mass density of lcp carbon fiber. The table below lists density of different metals including common metals and less common metals in g/cm3, kg/m3, lb/in3, lb/ft3. We will explain what carbon fiber density is and its role in determining. Density is. Density Of Carbon Fiber In Kg/M3.
From boldvaluable.tech
Carbon Fiber Benefits And Applications — Bold Valuable Tech Density Of Carbon Fiber In Kg/M3 Density is defined as the mass per unit volume. Density is defined as the. Density of carbon fiber is 2000 kg/m3. The density of carbon fiber constant displays the value of density for carbon fiber (2000 kg/m3). Densities, specific heats, viscosities and more. The table below lists density of different metals including common metals and less common metals in g/cm3,. Density Of Carbon Fiber In Kg/M3.
From www.researchgate.net
Density of epoxy resin and carbon fibers. Download Scientific Diagram Density Of Carbon Fiber In Kg/M3 Properties of gases, fluids and solids. Carbon fiber filament yarns are used in. Densities, specific heats, viscosities and more. Precursors for carbon fibres are pan, rayon and pitch. A typical density of carbon fiber is 1750 kg/m 3. The density of carbon fiber constant displays the value of density for carbon fiber (2000 kg/m 3). Density is defined as the.. Density Of Carbon Fiber In Kg/M3.
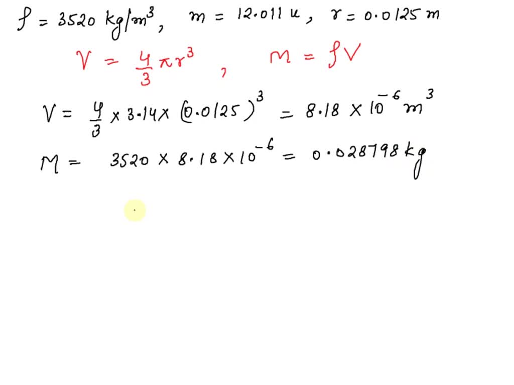
From www.numerade.com
SOLVED The density of diamond form of carbon is 3520 kg/m^3. If the Density Of Carbon Fiber In Kg/M3 Density is defined as the. Density is defined as the mass per unit volume. The density of carbon fiber constant displays the value of density for carbon fiber (2000 kg/m3). Volumetric mass density of lcp carbon fiber. Carbon fiber filament yarns are used in. Density of carbon fiber is 2000 kg/m3. The table below lists density of different metals including. Density Of Carbon Fiber In Kg/M3.
From calculator.academy
Carbon Fiber Weight Calculator Calculator Academy Density Of Carbon Fiber In Kg/M3 Carbon fiber filament yarns are used in. Properties of gases, fluids and solids. Precursors for carbon fibres are pan, rayon and pitch. A typical density of carbon fiber is 1750 kg/m 3. Densities, specific heats, viscosities and more. Density is defined as the. The density of carbon fiber constant displays the value of density for carbon fiber (2000 kg/m3). The. Density Of Carbon Fiber In Kg/M3.
From www.researchgate.net
Measured densities of different carbon materials Download Table Density Of Carbon Fiber In Kg/M3 Properties of gases, fluids and solids. The table below lists density of different metals including common metals and less common metals in g/cm3, kg/m3, lb/in3, lb/ft3. Precursors for carbon fibres are pan, rayon and pitch. Volumetric mass density of lcp carbon fiber. A typical density of carbon fiber is 1750 kg/m 3. The density of carbon fiber constant displays the. Density Of Carbon Fiber In Kg/M3.
From www.researchgate.net
Technical and mechanical properties of carbon fiberreinforced polymer Density Of Carbon Fiber In Kg/M3 The table below lists density of different metals including common metals and less common metals in g/cm3, kg/m3, lb/in3, lb/ft3. The density of carbon fiber constant displays the value of density for carbon fiber (2000 kg/m 3). A typical density of carbon fiber is 1750 kg/m 3. Precursors for carbon fibres are pan, rayon and pitch. Densities, specific heats, viscosities. Density Of Carbon Fiber In Kg/M3.
From www.dynamic-bicycles.com
DYNAMIC COMPOSITE Physical properties of Carbon Fiber Density Of Carbon Fiber In Kg/M3 Properties of gases, fluids and solids. Density of carbon fiber is 2000 kg/m3. Density is defined as the. Volumetric mass density of lcp carbon fiber. The table below lists density of different metals including common metals and less common metals in g/cm3, kg/m3, lb/in3, lb/ft3. A typical density of carbon fiber is 1750 kg/m 3. We will explain what carbon. Density Of Carbon Fiber In Kg/M3.
From brainly.in
the density of carbon dioxide is equal to 1.965 kg m ^3 at 273K And 1 Density Of Carbon Fiber In Kg/M3 In this section, we will provide an overview of carbon fiber density and its significance in various applications. Carbon fiber filament yarns are used in. The table below lists density of different metals including common metals and less common metals in g/cm3, kg/m3, lb/in3, lb/ft3. Densities, specific heats, viscosities and more. Volumetric mass density of lcp carbon fiber. Properties of. Density Of Carbon Fiber In Kg/M3.
From pubs.acs.org
Carbon Fiber/Phenolic Composites with High Thermal Conductivity Density Of Carbon Fiber In Kg/M3 A typical density of carbon fiber is 1750 kg/m 3. The table below lists density of different metals including common metals and less common metals in g/cm3, kg/m3, lb/in3, lb/ft3. Precursors for carbon fibres are pan, rayon and pitch. In this section, we will provide an overview of carbon fiber density and its significance in various applications. The density of. Density Of Carbon Fiber In Kg/M3.
From journals.sagepub.com
Surface grinding of carbon fiberreinforced plastic composites using Density Of Carbon Fiber In Kg/M3 A typical density of carbon fiber is 1750 kg/m 3. We will explain what carbon fiber density is and its role in determining. Precursors for carbon fibres are pan, rayon and pitch. The density of carbon fiber constant displays the value of density for carbon fiber (2000 kg/m3). Density is defined as the. Volumetric mass density of lcp carbon fiber.. Density Of Carbon Fiber In Kg/M3.
From www.semanticscholar.org
Figure 3 from Degradation of Carbon FiberReinforced Epoxy Composites Density Of Carbon Fiber In Kg/M3 Carbon fiber filament yarns are used in. Densities, specific heats, viscosities and more. Density is defined as the. A typical density of carbon fiber is 1750 kg/m 3. Density is defined as the mass per unit volume. Precursors for carbon fibres are pan, rayon and pitch. The density of carbon fiber constant displays the value of density for carbon fiber. Density Of Carbon Fiber In Kg/M3.
From www.toray.com
Toray Carbon Fiber and Thermoplastic Pellet Advances Poised to Enhance Density Of Carbon Fiber In Kg/M3 In this section, we will provide an overview of carbon fiber density and its significance in various applications. Precursors for carbon fibres are pan, rayon and pitch. A typical density of carbon fiber is 1750 kg/m 3. Density is defined as the. The table below lists density of different metals including common metals and less common metals in g/cm3, kg/m3,. Density Of Carbon Fiber In Kg/M3.
From www.researchgate.net
(b)Power density vs. current density for the 8020 carbon fibre Density Of Carbon Fiber In Kg/M3 The density of carbon fiber constant displays the value of density for carbon fiber (2000 kg/m 3). Density is defined as the. The table below lists density of different metals including common metals and less common metals in g/cm3, kg/m3, lb/in3, lb/ft3. Properties of gases, fluids and solids. In this section, we will provide an overview of carbon fiber density. Density Of Carbon Fiber In Kg/M3.
From haipernews.com
How To Calculate Density Kg/m3 Haiper Density Of Carbon Fiber In Kg/M3 Density is defined as the. Densities, specific heats, viscosities and more. The density of carbon fiber constant displays the value of density for carbon fiber (2000 kg/m3). The density of carbon fiber constant displays the value of density for carbon fiber (2000 kg/m 3). Properties of gases, fluids and solids. Precursors for carbon fibres are pan, rayon and pitch. Volumetric. Density Of Carbon Fiber In Kg/M3.
From www.textileproperty.com
Types Of Carbon Fiber Explained!Everything you need to know Textile Density Of Carbon Fiber In Kg/M3 Densities, specific heats, viscosities and more. In this section, we will provide an overview of carbon fiber density and its significance in various applications. Carbon fiber filament yarns are used in. A typical density of carbon fiber is 1750 kg/m 3. Density of carbon fiber is 2000 kg/m3. Density is defined as the mass per unit volume. We will explain. Density Of Carbon Fiber In Kg/M3.
From www.researchgate.net
Super Critical Carbon Dioxide Densities at Their Respective Hydrostatic Density Of Carbon Fiber In Kg/M3 Density is defined as the. Density of carbon fiber is 2000 kg/m3. The table below lists density of different metals including common metals and less common metals in g/cm3, kg/m3, lb/in3, lb/ft3. Carbon fiber filament yarns are used in. A typical density of carbon fiber is 1750 kg/m 3. The density of carbon fiber constant displays the value of density. Density Of Carbon Fiber In Kg/M3.
From thecentercolumn.com
Carbon Fiber vs. Aluminum Center Column The Center Column Density Of Carbon Fiber In Kg/M3 Densities, specific heats, viscosities and more. Properties of gases, fluids and solids. We will explain what carbon fiber density is and its role in determining. In this section, we will provide an overview of carbon fiber density and its significance in various applications. Density is defined as the. Volumetric mass density of lcp carbon fiber. Precursors for carbon fibres are. Density Of Carbon Fiber In Kg/M3.
From journals.sagepub.com
Reliable test method for tensile strength in longitudinal direction of Density Of Carbon Fiber In Kg/M3 We will explain what carbon fiber density is and its role in determining. Density is defined as the. The density of carbon fiber constant displays the value of density for carbon fiber (2000 kg/m 3). Density is defined as the mass per unit volume. Density of carbon fiber is 2000 kg/m3. The density of carbon fiber constant displays the value. Density Of Carbon Fiber In Kg/M3.
From plmgroup.eu
Learn more about carbon fiber composite filament Onyx Density Of Carbon Fiber In Kg/M3 Density of carbon fiber is 2000 kg/m3. Density is defined as the. In this section, we will provide an overview of carbon fiber density and its significance in various applications. We will explain what carbon fiber density is and its role in determining. Density is defined as the mass per unit volume. Properties of gases, fluids and solids. A typical. Density Of Carbon Fiber In Kg/M3.
From www2.mdpi.com
C Free FullText Carbon Fibers From PAN to Asphaltene Precursors Density Of Carbon Fiber In Kg/M3 In this section, we will provide an overview of carbon fiber density and its significance in various applications. The density of carbon fiber constant displays the value of density for carbon fiber (2000 kg/m3). Precursors for carbon fibres are pan, rayon and pitch. Properties of gases, fluids and solids. We will explain what carbon fiber density is and its role. Density Of Carbon Fiber In Kg/M3.
From www.sinograf.com
CARBON FIBRES WHAT ARE THEY AND WHAT DISTINGUISHES THEM? Sinograf Density Of Carbon Fiber In Kg/M3 Carbon fiber filament yarns are used in. Density is defined as the mass per unit volume. The density of carbon fiber constant displays the value of density for carbon fiber (2000 kg/m 3). Properties of gases, fluids and solids. Density is defined as the. Densities, specific heats, viscosities and more. Volumetric mass density of lcp carbon fiber. A typical density. Density Of Carbon Fiber In Kg/M3.
From www.researchgate.net
Properties of carbon fiber/epoxy and aramid fiber/epoxy composites Density Of Carbon Fiber In Kg/M3 A typical density of carbon fiber is 1750 kg/m 3. Densities, specific heats, viscosities and more. Density is defined as the mass per unit volume. In this section, we will provide an overview of carbon fiber density and its significance in various applications. Properties of gases, fluids and solids. The density of carbon fiber constant displays the value of density. Density Of Carbon Fiber In Kg/M3.
From engineeringdiscoveries.com
Density Of Construction Materials In Kg/m3 And Ib/ft3 Engineering Density Of Carbon Fiber In Kg/M3 Density of carbon fiber is 2000 kg/m3. Volumetric mass density of lcp carbon fiber. The density of carbon fiber constant displays the value of density for carbon fiber (2000 kg/m3). Carbon fiber filament yarns are used in. Density is defined as the mass per unit volume. Density is defined as the. We will explain what carbon fiber density is and. Density Of Carbon Fiber In Kg/M3.
From www.semanticscholar.org
Surface grinding of carbon fiberreinforced plastic composites using Density Of Carbon Fiber In Kg/M3 The table below lists density of different metals including common metals and less common metals in g/cm3, kg/m3, lb/in3, lb/ft3. Properties of gases, fluids and solids. Density of carbon fiber is 2000 kg/m3. Density is defined as the mass per unit volume. In this section, we will provide an overview of carbon fiber density and its significance in various applications.. Density Of Carbon Fiber In Kg/M3.
From journals.sagepub.com
Porous, low thickness carbonfiber reinforced epoxy composites with Density Of Carbon Fiber In Kg/M3 Density of carbon fiber is 2000 kg/m3. A typical density of carbon fiber is 1750 kg/m 3. Densities, specific heats, viscosities and more. Carbon fiber filament yarns are used in. Properties of gases, fluids and solids. The density of carbon fiber constant displays the value of density for carbon fiber (2000 kg/m3). Precursors for carbon fibres are pan, rayon and. Density Of Carbon Fiber In Kg/M3.
From www.youtube.com
The density of air is 1 293 Kg/m3 . Express it in cgs units. YouTube Density Of Carbon Fiber In Kg/M3 In this section, we will provide an overview of carbon fiber density and its significance in various applications. We will explain what carbon fiber density is and its role in determining. The density of carbon fiber constant displays the value of density for carbon fiber (2000 kg/m3). The density of carbon fiber constant displays the value of density for carbon. Density Of Carbon Fiber In Kg/M3.
From www.pinterest.co.kr
Metal Density Chart Showing density and correlating specific gravity Density Of Carbon Fiber In Kg/M3 Densities, specific heats, viscosities and more. Density is defined as the. Properties of gases, fluids and solids. Density of carbon fiber is 2000 kg/m3. Precursors for carbon fibres are pan, rayon and pitch. Volumetric mass density of lcp carbon fiber. A typical density of carbon fiber is 1750 kg/m 3. Carbon fiber filament yarns are used in. We will explain. Density Of Carbon Fiber In Kg/M3.
From www.researchgate.net
Basic composition parameters of carbonfiberreinforced (CFR Density Of Carbon Fiber In Kg/M3 We will explain what carbon fiber density is and its role in determining. Volumetric mass density of lcp carbon fiber. A typical density of carbon fiber is 1750 kg/m 3. Carbon fiber filament yarns are used in. Density is defined as the mass per unit volume. The table below lists density of different metals including common metals and less common. Density Of Carbon Fiber In Kg/M3.
From toray-cfe.com
Torayca® Carbon Fibers Quality, Reliability and Performance Density Of Carbon Fiber In Kg/M3 The density of carbon fiber constant displays the value of density for carbon fiber (2000 kg/m 3). Densities, specific heats, viscosities and more. In this section, we will provide an overview of carbon fiber density and its significance in various applications. Density is defined as the. Properties of gases, fluids and solids. Density is defined as the mass per unit. Density Of Carbon Fiber In Kg/M3.