Directions To The Closest Canes . Browse all raising cane's locations. Search by city and state or zip code. Easily add multiple stops, see live traffic and road conditions. Find local businesses, view maps and get driving directions in google maps. Find a location near you. Step by step directions for your drive or walk. Find raising cane's chicken fingers locations near you. Find a cane's near me! Get your chicken fingers even faster when you order online.
from www.vectorstock.com
Get your chicken fingers even faster when you order online. Search by city and state or zip code. Step by step directions for your drive or walk. Find raising cane's chicken fingers locations near you. Find local businesses, view maps and get driving directions in google maps. Find a cane's near me! Browse all raising cane's locations. Find a location near you. Easily add multiple stops, see live traffic and road conditions.
Arrows and giving directions Royalty Free Vector Image
Directions To The Closest Canes Search by city and state or zip code. Easily add multiple stops, see live traffic and road conditions. Find a cane's near me! Find raising cane's chicken fingers locations near you. Browse all raising cane's locations. Get your chicken fingers even faster when you order online. Find a location near you. Find local businesses, view maps and get driving directions in google maps. Search by city and state or zip code. Step by step directions for your drive or walk.
From chipandco.com
Raising Cane's explores future locations near Disney World Chip and Directions To The Closest Canes Find raising cane's chicken fingers locations near you. Find a cane's near me! Find a location near you. Browse all raising cane's locations. Get your chicken fingers even faster when you order online. Search by city and state or zip code. Find local businesses, view maps and get driving directions in google maps. Easily add multiple stops, see live traffic. Directions To The Closest Canes.
From www.yelp.com
Raising Cane’s Chicken Fingers Fast Food Houston, TX Yelp Directions To The Closest Canes Browse all raising cane's locations. Find a location near you. Search by city and state or zip code. Get your chicken fingers even faster when you order online. Find local businesses, view maps and get driving directions in google maps. Find a cane's near me! Find raising cane's chicken fingers locations near you. Step by step directions for your drive. Directions To The Closest Canes.
From www.nctv17.org
Raising Cane’s Opens in Naperville NCTV17 Directions To The Closest Canes Find local businesses, view maps and get driving directions in google maps. Get your chicken fingers even faster when you order online. Find a cane's near me! Find raising cane's chicken fingers locations near you. Find a location near you. Browse all raising cane's locations. Search by city and state or zip code. Step by step directions for your drive. Directions To The Closest Canes.
From fashionablecanes.com
The Different Types of Walking Canes Fashionable Canes Directions To The Closest Canes Search by city and state or zip code. Find raising cane's chicken fingers locations near you. Find a location near you. Browse all raising cane's locations. Step by step directions for your drive or walk. Get your chicken fingers even faster when you order online. Easily add multiple stops, see live traffic and road conditions. Find a cane's near me!. Directions To The Closest Canes.
From vinepair.com
The Number of Raising Cane’s Locations in Every State [MAP] VinePair Directions To The Closest Canes Browse all raising cane's locations. Get your chicken fingers even faster when you order online. Search by city and state or zip code. Find local businesses, view maps and get driving directions in google maps. Find a location near you. Easily add multiple stops, see live traffic and road conditions. Step by step directions for your drive or walk. Find. Directions To The Closest Canes.
From www.msn.com
Second Raising Cane's Pittsburgh location opens Tuesday Directions To The Closest Canes Browse all raising cane's locations. Find raising cane's chicken fingers locations near you. Find a cane's near me! Find local businesses, view maps and get driving directions in google maps. Search by city and state or zip code. Find a location near you. Step by step directions for your drive or walk. Get your chicken fingers even faster when you. Directions To The Closest Canes.
From www.facebook.com
What it’s like to get your hands on cup number 1! Our first Post Malone Directions To The Closest Canes Find local businesses, view maps and get driving directions in google maps. Browse all raising cane's locations. Find a location near you. Easily add multiple stops, see live traffic and road conditions. Step by step directions for your drive or walk. Find raising cane's chicken fingers locations near you. Get your chicken fingers even faster when you order online. Search. Directions To The Closest Canes.
From www.pinterest.com
Pin on Restaurants w/Great Food Directions To The Closest Canes Find a location near you. Browse all raising cane's locations. Step by step directions for your drive or walk. Find a cane's near me! Find raising cane's chicken fingers locations near you. Get your chicken fingers even faster when you order online. Easily add multiple stops, see live traffic and road conditions. Find local businesses, view maps and get driving. Directions To The Closest Canes.
From exodzlslx.blob.core.windows.net
Cane's Chicken Fingers In Air Fryer at Valerie Moore blog Directions To The Closest Canes Find a location near you. Easily add multiple stops, see live traffic and road conditions. Find raising cane's chicken fingers locations near you. Search by city and state or zip code. Get your chicken fingers even faster when you order online. Find a cane's near me! Find local businesses, view maps and get driving directions in google maps. Browse all. Directions To The Closest Canes.
From www.pinterest.com
Pin on Christmas Directions To The Closest Canes Browse all raising cane's locations. Search by city and state or zip code. Easily add multiple stops, see live traffic and road conditions. Find a location near you. Find local businesses, view maps and get driving directions in google maps. Find raising cane's chicken fingers locations near you. Step by step directions for your drive or walk. Get your chicken. Directions To The Closest Canes.
From yelp.com
Raising Cane’s Chicken Fingers Fast Food Arlington, TX Yelp Directions To The Closest Canes Step by step directions for your drive or walk. Easily add multiple stops, see live traffic and road conditions. Browse all raising cane's locations. Find raising cane's chicken fingers locations near you. Find local businesses, view maps and get driving directions in google maps. Find a location near you. Get your chicken fingers even faster when you order online. Search. Directions To The Closest Canes.
From www.pinterest.com
Chicken tenders combo platters in 2024 Food videos cooking, Food Directions To The Closest Canes Browse all raising cane's locations. Step by step directions for your drive or walk. Search by city and state or zip code. Find raising cane's chicken fingers locations near you. Find a location near you. Find local businesses, view maps and get driving directions in google maps. Get your chicken fingers even faster when you order online. Find a cane's. Directions To The Closest Canes.
From www.archyde.com
Raising Cane's Columbia New Location, Free Giveaway, Closest Locations Directions To The Closest Canes Search by city and state or zip code. Get your chicken fingers even faster when you order online. Find local businesses, view maps and get driving directions in google maps. Step by step directions for your drive or walk. Browse all raising cane's locations. Easily add multiple stops, see live traffic and road conditions. Find a location near you. Find. Directions To The Closest Canes.
From www.numerade.com
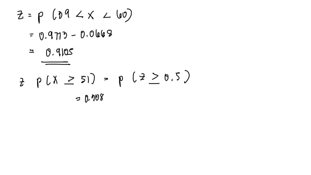
The length, x centimeters, of eels in the river may be assumed to be Directions To The Closest Canes Find local businesses, view maps and get driving directions in google maps. Find a location near you. Step by step directions for your drive or walk. Find a cane's near me! Easily add multiple stops, see live traffic and road conditions. Search by city and state or zip code. Find raising cane's chicken fingers locations near you. Browse all raising. Directions To The Closest Canes.
From twodayusa.com
Canes Hours 2023 Store Near me, Holiday Hours, Locations Directions To The Closest Canes Find local businesses, view maps and get driving directions in google maps. Search by city and state or zip code. Browse all raising cane's locations. Get your chicken fingers even faster when you order online. Find raising cane's chicken fingers locations near you. Step by step directions for your drive or walk. Find a cane's near me! Find a location. Directions To The Closest Canes.
From www.yelp.com
Raising Cane’s Chicken Fingers 12 Photos American (New) Arlington Directions To The Closest Canes Step by step directions for your drive or walk. Find a cane's near me! Get your chicken fingers even faster when you order online. Find local businesses, view maps and get driving directions in google maps. Find raising cane's chicken fingers locations near you. Find a location near you. Search by city and state or zip code. Browse all raising. Directions To The Closest Canes.
From whatnowmia.com
Raising Cane’s Opening In Cutler Bay What Now Miami Directions To The Closest Canes Find local businesses, view maps and get driving directions in google maps. Get your chicken fingers even faster when you order online. Find raising cane's chicken fingers locations near you. Step by step directions for your drive or walk. Find a location near you. Easily add multiple stops, see live traffic and road conditions. Find a cane's near me! Search. Directions To The Closest Canes.
From yelp.com
Raising Cane’s Chicken Fingers 22 Photos Fast Food Columbus, OH Directions To The Closest Canes Get your chicken fingers even faster when you order online. Find a location near you. Search by city and state or zip code. Find local businesses, view maps and get driving directions in google maps. Easily add multiple stops, see live traffic and road conditions. Find raising cane's chicken fingers locations near you. Step by step directions for your drive. Directions To The Closest Canes.
From www.nj.com
Raising Cane’s is coming to N.J. in 2024. Here’s everything to know Directions To The Closest Canes Find raising cane's chicken fingers locations near you. Search by city and state or zip code. Get your chicken fingers even faster when you order online. Step by step directions for your drive or walk. Find a location near you. Easily add multiple stops, see live traffic and road conditions. Find local businesses, view maps and get driving directions in. Directions To The Closest Canes.
From webscraping.us
Number of Raising Cane's Store Locations in the USA raicing canes data Directions To The Closest Canes Step by step directions for your drive or walk. Search by city and state or zip code. Easily add multiple stops, see live traffic and road conditions. Browse all raising cane's locations. Find a cane's near me! Find raising cane's chicken fingers locations near you. Get your chicken fingers even faster when you order online. Find local businesses, view maps. Directions To The Closest Canes.
From www.facebook.com
Facebook Directions To The Closest Canes Find local businesses, view maps and get driving directions in google maps. Find a location near you. Find raising cane's chicken fingers locations near you. Browse all raising cane's locations. Search by city and state or zip code. Easily add multiple stops, see live traffic and road conditions. Find a cane's near me! Step by step directions for your drive. Directions To The Closest Canes.
From www.yelp.com
Raising Cane’s Chicken Fingers Chicken Wings Gulfport, MS Reviews Directions To The Closest Canes Find a location near you. Find raising cane's chicken fingers locations near you. Search by city and state or zip code. Find a cane's near me! Step by step directions for your drive or walk. Easily add multiple stops, see live traffic and road conditions. Get your chicken fingers even faster when you order online. Browse all raising cane's locations.. Directions To The Closest Canes.
From ramechanic.com
Finding The Directions To The Nearest Home Depot Directions To The Closest Canes Find raising cane's chicken fingers locations near you. Get your chicken fingers even faster when you order online. Easily add multiple stops, see live traffic and road conditions. Step by step directions for your drive or walk. Find local businesses, view maps and get driving directions in google maps. Find a cane's near me! Browse all raising cane's locations. Find. Directions To The Closest Canes.
From www.vectorstock.com
Arrows and giving directions Royalty Free Vector Image Directions To The Closest Canes Find local businesses, view maps and get driving directions in google maps. Search by city and state or zip code. Get your chicken fingers even faster when you order online. Find a location near you. Find a cane's near me! Browse all raising cane's locations. Find raising cane's chicken fingers locations near you. Easily add multiple stops, see live traffic. Directions To The Closest Canes.
From whatnowlosangeles.com
Raising Cane’s Celebrates Opening Near Disneyland What Now Los Angeles Directions To The Closest Canes Get your chicken fingers even faster when you order online. Search by city and state or zip code. Find a location near you. Easily add multiple stops, see live traffic and road conditions. Find raising cane's chicken fingers locations near you. Find local businesses, view maps and get driving directions in google maps. Step by step directions for your drive. Directions To The Closest Canes.
From mavink.com
Byron Bay Town Map Directions To The Closest Canes Find a location near you. Find a cane's near me! Browse all raising cane's locations. Step by step directions for your drive or walk. Easily add multiple stops, see live traffic and road conditions. Find raising cane's chicken fingers locations near you. Find local businesses, view maps and get driving directions in google maps. Search by city and state or. Directions To The Closest Canes.
From es.wikipedia.org
Grupo Canes I Wikipedia, la enciclopedia libre Directions To The Closest Canes Find a location near you. Get your chicken fingers even faster when you order online. Find local businesses, view maps and get driving directions in google maps. Step by step directions for your drive or walk. Find a cane's near me! Easily add multiple stops, see live traffic and road conditions. Search by city and state or zip code. Find. Directions To The Closest Canes.
From yelp.com
Raising Cane’s Chicken Fingers Norfolk, VA Yelp Directions To The Closest Canes Easily add multiple stops, see live traffic and road conditions. Find a location near you. Search by city and state or zip code. Get your chicken fingers even faster when you order online. Find raising cane's chicken fingers locations near you. Find a cane's near me! Browse all raising cane's locations. Find local businesses, view maps and get driving directions. Directions To The Closest Canes.
From hudle.in
PlayAll Football Arena KPS Alaknanda Directions To The Closest Canes Easily add multiple stops, see live traffic and road conditions. Find a location near you. Get your chicken fingers even faster when you order online. Find raising cane's chicken fingers locations near you. Find local businesses, view maps and get driving directions in google maps. Search by city and state or zip code. Step by step directions for your drive. Directions To The Closest Canes.
From whatnowphilly.com
Raising Cane’s Announced as Tenant in New South Philly Development Directions To The Closest Canes Browse all raising cane's locations. Find raising cane's chicken fingers locations near you. Find a location near you. Step by step directions for your drive or walk. Get your chicken fingers even faster when you order online. Easily add multiple stops, see live traffic and road conditions. Find a cane's near me! Find local businesses, view maps and get driving. Directions To The Closest Canes.
From www.cbs8.com
Raising Cane's opening in Chula Vista Center Spring 2023 Directions To The Closest Canes Get your chicken fingers even faster when you order online. Find a location near you. Search by city and state or zip code. Find local businesses, view maps and get driving directions in google maps. Browse all raising cane's locations. Find raising cane's chicken fingers locations near you. Find a cane's near me! Easily add multiple stops, see live traffic. Directions To The Closest Canes.
From giozbphje.blob.core.windows.net
Cane's Menu Downey at John Rickman blog Directions To The Closest Canes Browse all raising cane's locations. Search by city and state or zip code. Step by step directions for your drive or walk. Easily add multiple stops, see live traffic and road conditions. Find raising cane's chicken fingers locations near you. Get your chicken fingers even faster when you order online. Find a cane's near me! Find a location near you.. Directions To The Closest Canes.
From knowyourmeme.com
anon is the caniac /r/Greentext Greentext Stories Know Your Meme Directions To The Closest Canes Step by step directions for your drive or walk. Find local businesses, view maps and get driving directions in google maps. Browse all raising cane's locations. Easily add multiple stops, see live traffic and road conditions. Get your chicken fingers even faster when you order online. Find a cane's near me! Search by city and state or zip code. Find. Directions To The Closest Canes.
From www.kgw.com
Raising Cane's plans second Seattlearea location Directions To The Closest Canes Find raising cane's chicken fingers locations near you. Search by city and state or zip code. Find local businesses, view maps and get driving directions in google maps. Browse all raising cane's locations. Get your chicken fingers even faster when you order online. Step by step directions for your drive or walk. Easily add multiple stops, see live traffic and. Directions To The Closest Canes.
From exyfaxnie.blob.core.windows.net
What Is The Closest Cane's To Me at Lawanda Carnes blog Directions To The Closest Canes Find a location near you. Find raising cane's chicken fingers locations near you. Step by step directions for your drive or walk. Find local businesses, view maps and get driving directions in google maps. Easily add multiple stops, see live traffic and road conditions. Search by city and state or zip code. Browse all raising cane's locations. Get your chicken. Directions To The Closest Canes.