Racing Car Accelerates Uniformly Through Three Gears . Determine the acceleration of the car and the distance traveled. A racing car accelerates uniformly through three gears, changes with the following average speed: ( 2 marks ) 2 a car travelling at 28. 20 for 2.0 s, 40 for 2.0 s, and 60 for 6.0 s. The average speed of the racing car is 48 meters per second. To find the average speed of the racing car, you need to calculate the total. A car accelerates uniformly from 21,0 m/s to 35,0 m/s in 3,0 seconds. What is its final speed? A raring car accelerates uniformly through three gear changes with the following average speeds 20m/s for 2 sec , 40m/s for 2. Find out the acceleration of a car?. A racing car accelerates uniformly through three gears, changes with the following average speed. A car accelerates uniformly so that it goes from a velocity of 20 m / s to a velocity of 40 m / s in 5 seconds.
from www.vrogue.co
A racing car accelerates uniformly through three gears, changes with the following average speed. A car accelerates uniformly from 21,0 m/s to 35,0 m/s in 3,0 seconds. What is its final speed? ( 2 marks ) 2 a car travelling at 28. The average speed of the racing car is 48 meters per second. Find out the acceleration of a car?. To find the average speed of the racing car, you need to calculate the total. Determine the acceleration of the car and the distance traveled. A car accelerates uniformly so that it goes from a velocity of 20 m / s to a velocity of 40 m / s in 5 seconds. 20 for 2.0 s, 40 for 2.0 s, and 60 for 6.0 s.
A 1700 Kg Car Starts From Rest At Position A And Acce vrogue.co
Racing Car Accelerates Uniformly Through Three Gears A car accelerates uniformly so that it goes from a velocity of 20 m / s to a velocity of 40 m / s in 5 seconds. Find out the acceleration of a car?. 20 for 2.0 s, 40 for 2.0 s, and 60 for 6.0 s. To find the average speed of the racing car, you need to calculate the total. A car accelerates uniformly so that it goes from a velocity of 20 m / s to a velocity of 40 m / s in 5 seconds. A racing car accelerates uniformly through three gears, changes with the following average speed. Determine the acceleration of the car and the distance traveled. A car accelerates uniformly from 21,0 m/s to 35,0 m/s in 3,0 seconds. ( 2 marks ) 2 a car travelling at 28. A raring car accelerates uniformly through three gear changes with the following average speeds 20m/s for 2 sec , 40m/s for 2. A racing car accelerates uniformly through three gears, changes with the following average speed: What is its final speed? The average speed of the racing car is 48 meters per second.
From www.numerade.com
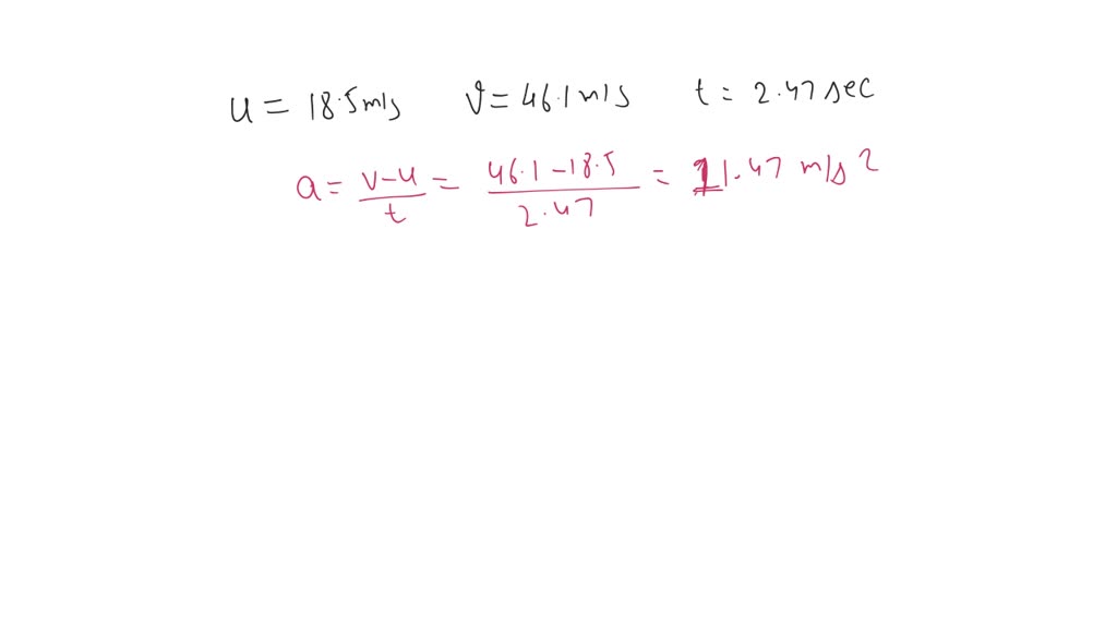
SOLVED A racing car accelerates uniformly from 18.5 m/s to 46.1 m/s in Racing Car Accelerates Uniformly Through Three Gears A car accelerates uniformly so that it goes from a velocity of 20 m / s to a velocity of 40 m / s in 5 seconds. Determine the acceleration of the car and the distance traveled. 20 for 2.0 s, 40 for 2.0 s, and 60 for 6.0 s. Find out the acceleration of a car?. The average speed. Racing Car Accelerates Uniformly Through Three Gears.
From www.numerade.com
SOLVED A race car accelerates uniformly from 18.5ms?1 to 46.1ms?1 in 2 Racing Car Accelerates Uniformly Through Three Gears Determine the acceleration of the car and the distance traveled. What is its final speed? Find out the acceleration of a car?. The average speed of the racing car is 48 meters per second. A racing car accelerates uniformly through three gears, changes with the following average speed. To find the average speed of the racing car, you need to. Racing Car Accelerates Uniformly Through Three Gears.
From www.vrogue.co
A Car Starts From Rest And Accelerates Uniformly For vrogue.co Racing Car Accelerates Uniformly Through Three Gears A raring car accelerates uniformly through three gear changes with the following average speeds 20m/s for 2 sec , 40m/s for 2. Determine the acceleration of the car and the distance traveled. A racing car accelerates uniformly through three gears, changes with the following average speed. The average speed of the racing car is 48 meters per second. A car. Racing Car Accelerates Uniformly Through Three Gears.
From www.studypool.com
SOLUTION 4) A racing car accelerates uniformly from rest along a Racing Car Accelerates Uniformly Through Three Gears A car accelerates uniformly so that it goes from a velocity of 20 m / s to a velocity of 40 m / s in 5 seconds. A racing car accelerates uniformly through three gears, changes with the following average speed. Find out the acceleration of a car?. A racing car accelerates uniformly through three gears, changes with the following. Racing Car Accelerates Uniformly Through Three Gears.
From byjus.com
a car accelerates uniformly and its velocity changes from5m/s to 30 m/s Racing Car Accelerates Uniformly Through Three Gears What is its final speed? A raring car accelerates uniformly through three gear changes with the following average speeds 20m/s for 2 sec , 40m/s for 2. A car accelerates uniformly so that it goes from a velocity of 20 m / s to a velocity of 40 m / s in 5 seconds. Determine the acceleration of the car. Racing Car Accelerates Uniformly Through Three Gears.
From www.chegg.com
Solved A racing car accelerates uniformly from rest along a Racing Car Accelerates Uniformly Through Three Gears Determine the acceleration of the car and the distance traveled. The average speed of the racing car is 48 meters per second. To find the average speed of the racing car, you need to calculate the total. ( 2 marks ) 2 a car travelling at 28. A racing car accelerates uniformly through three gears, changes with the following average. Racing Car Accelerates Uniformly Through Three Gears.
From www.numerade.com
3. A runner starts from rest and accelerates at a constant rate Racing Car Accelerates Uniformly Through Three Gears 20 for 2.0 s, 40 for 2.0 s, and 60 for 6.0 s. To find the average speed of the racing car, you need to calculate the total. A racing car accelerates uniformly through three gears, changes with the following average speed: What is its final speed? ( 2 marks ) 2 a car travelling at 28. The average speed. Racing Car Accelerates Uniformly Through Three Gears.
From www.numerade.com
SOLVED 3.A race car accelerates uniformly from 18.5 m/s to 46.1 m/s in Racing Car Accelerates Uniformly Through Three Gears A car accelerates uniformly from 21,0 m/s to 35,0 m/s in 3,0 seconds. A racing car accelerates uniformly through three gears, changes with the following average speed. To find the average speed of the racing car, you need to calculate the total. A racing car accelerates uniformly through three gears, changes with the following average speed: ( 2 marks ). Racing Car Accelerates Uniformly Through Three Gears.
From www.chegg.com
Solved A racing car accelerates uniformly from rest along a Racing Car Accelerates Uniformly Through Three Gears To find the average speed of the racing car, you need to calculate the total. The average speed of the racing car is 48 meters per second. A raring car accelerates uniformly through three gear changes with the following average speeds 20m/s for 2 sec , 40m/s for 2. Determine the acceleration of the car and the distance traveled. 20. Racing Car Accelerates Uniformly Through Three Gears.
From www.numerade.com
SOLVED A racing car accelerates uniformly from rest along straight Racing Car Accelerates Uniformly Through Three Gears A racing car accelerates uniformly through three gears, changes with the following average speed. A car accelerates uniformly from 21,0 m/s to 35,0 m/s in 3,0 seconds. 20 for 2.0 s, 40 for 2.0 s, and 60 for 6.0 s. Find out the acceleration of a car?. The average speed of the racing car is 48 meters per second. A. Racing Car Accelerates Uniformly Through Three Gears.
From www.toppr.com
6. An automobile starts from rest and accelerates uniformly 30 second Racing Car Accelerates Uniformly Through Three Gears A car accelerates uniformly so that it goes from a velocity of 20 m / s to a velocity of 40 m / s in 5 seconds. A racing car accelerates uniformly through three gears, changes with the following average speed: A raring car accelerates uniformly through three gear changes with the following average speeds 20m/s for 2 sec ,. Racing Car Accelerates Uniformly Through Three Gears.
From www.vrogue.co
A Car Accelerates Uniformly From 18 Kmh To 36 Kmh In vrogue.co Racing Car Accelerates Uniformly Through Three Gears Find out the acceleration of a car?. 20 for 2.0 s, 40 for 2.0 s, and 60 for 6.0 s. What is its final speed? A raring car accelerates uniformly through three gear changes with the following average speeds 20m/s for 2 sec , 40m/s for 2. A car accelerates uniformly from 21,0 m/s to 35,0 m/s in 3,0 seconds.. Racing Car Accelerates Uniformly Through Three Gears.
From www.vrogue.co
A Car Initially Moves With A Constant Velocity And Th vrogue.co Racing Car Accelerates Uniformly Through Three Gears The average speed of the racing car is 48 meters per second. A racing car accelerates uniformly through three gears, changes with the following average speed: A car accelerates uniformly so that it goes from a velocity of 20 m / s to a velocity of 40 m / s in 5 seconds. ( 2 marks ) 2 a car. Racing Car Accelerates Uniformly Through Three Gears.
From www.vrogue.co
A Body Of Mass 1 Kg Accelerates Uniformly From Rest T vrogue.co Racing Car Accelerates Uniformly Through Three Gears Find out the acceleration of a car?. Determine the acceleration of the car and the distance traveled. ( 2 marks ) 2 a car travelling at 28. To find the average speed of the racing car, you need to calculate the total. 20 for 2.0 s, 40 for 2.0 s, and 60 for 6.0 s. A car accelerates uniformly so. Racing Car Accelerates Uniformly Through Three Gears.
From www.gauthmath.com
Solved A race car starting from rest accelerates uniformly along a Racing Car Accelerates Uniformly Through Three Gears ( 2 marks ) 2 a car travelling at 28. A raring car accelerates uniformly through three gear changes with the following average speeds 20m/s for 2 sec , 40m/s for 2. A racing car accelerates uniformly through three gears, changes with the following average speed: Find out the acceleration of a car?. To find the average speed of the. Racing Car Accelerates Uniformly Through Three Gears.
From www.freepik.com
Premium AI Image As the racing car approaches the turn it accelerates Racing Car Accelerates Uniformly Through Three Gears ( 2 marks ) 2 a car travelling at 28. The average speed of the racing car is 48 meters per second. Find out the acceleration of a car?. A car accelerates uniformly from 21,0 m/s to 35,0 m/s in 3,0 seconds. Determine the acceleration of the car and the distance traveled. A racing car accelerates uniformly through three gears,. Racing Car Accelerates Uniformly Through Three Gears.
From kunduz.com
[ANSWERED] A car starts from rest and accelerates uniformly for 200m Racing Car Accelerates Uniformly Through Three Gears To find the average speed of the racing car, you need to calculate the total. ( 2 marks ) 2 a car travelling at 28. A racing car accelerates uniformly through three gears, changes with the following average speed: A car accelerates uniformly from 21,0 m/s to 35,0 m/s in 3,0 seconds. A racing car accelerates uniformly through three gears,. Racing Car Accelerates Uniformly Through Three Gears.
From www.numerade.com
SOLVED Kinematics Force and Acceleration The car accelerates Racing Car Accelerates Uniformly Through Three Gears A car accelerates uniformly so that it goes from a velocity of 20 m / s to a velocity of 40 m / s in 5 seconds. A raring car accelerates uniformly through three gear changes with the following average speeds 20m/s for 2 sec , 40m/s for 2. To find the average speed of the racing car, you need. Racing Car Accelerates Uniformly Through Three Gears.
From dokumen.tips
(PDF) c entities/a03_kinematics.pdfA racing car accelerates uniformly Racing Car Accelerates Uniformly Through Three Gears A car accelerates uniformly so that it goes from a velocity of 20 m / s to a velocity of 40 m / s in 5 seconds. 20 for 2.0 s, 40 for 2.0 s, and 60 for 6.0 s. Find out the acceleration of a car?. A racing car accelerates uniformly through three gears, changes with the following average. Racing Car Accelerates Uniformly Through Three Gears.
From www.numerade.com
SOLVED A race car accelerates uniformly from 18.5 m/s to 46.1 m/s in 2 Racing Car Accelerates Uniformly Through Three Gears A car accelerates uniformly so that it goes from a velocity of 20 m / s to a velocity of 40 m / s in 5 seconds. To find the average speed of the racing car, you need to calculate the total. 20 for 2.0 s, 40 for 2.0 s, and 60 for 6.0 s. Find out the acceleration of. Racing Car Accelerates Uniformly Through Three Gears.
From www.toppr.com
(puwe (46) A racing car accelerates uniformly through three gear Racing Car Accelerates Uniformly Through Three Gears A racing car accelerates uniformly through three gears, changes with the following average speed. Find out the acceleration of a car?. To find the average speed of the racing car, you need to calculate the total. A raring car accelerates uniformly through three gear changes with the following average speeds 20m/s for 2 sec , 40m/s for 2. A car. Racing Car Accelerates Uniformly Through Three Gears.
From brainly.com
A racing car accelerates uniformly from rest along a straight track Racing Car Accelerates Uniformly Through Three Gears A raring car accelerates uniformly through three gear changes with the following average speeds 20m/s for 2 sec , 40m/s for 2. Determine the acceleration of the car and the distance traveled. A car accelerates uniformly so that it goes from a velocity of 20 m / s to a velocity of 40 m / s in 5 seconds. (. Racing Car Accelerates Uniformly Through Three Gears.
From www.vrogue.co
A Car Starts From Rest And Accelerates Uniformly For vrogue.co Racing Car Accelerates Uniformly Through Three Gears Determine the acceleration of the car and the distance traveled. The average speed of the racing car is 48 meters per second. Find out the acceleration of a car?. To find the average speed of the racing car, you need to calculate the total. A car accelerates uniformly from 21,0 m/s to 35,0 m/s in 3,0 seconds. A racing car. Racing Car Accelerates Uniformly Through Three Gears.
From brainly.in
a raring car accelerates uniformly through three gear changes with the Racing Car Accelerates Uniformly Through Three Gears 20 for 2.0 s, 40 for 2.0 s, and 60 for 6.0 s. A car accelerates uniformly from 21,0 m/s to 35,0 m/s in 3,0 seconds. Determine the acceleration of the car and the distance traveled. To find the average speed of the racing car, you need to calculate the total. ( 2 marks ) 2 a car travelling at. Racing Car Accelerates Uniformly Through Three Gears.
From www.chegg.com
Solved A racing car accelerates uniformly from rest along a Racing Car Accelerates Uniformly Through Three Gears What is its final speed? A racing car accelerates uniformly through three gears, changes with the following average speed. Find out the acceleration of a car?. 20 for 2.0 s, 40 for 2.0 s, and 60 for 6.0 s. The average speed of the racing car is 48 meters per second. A car accelerates uniformly from 21,0 m/s to 35,0. Racing Car Accelerates Uniformly Through Three Gears.
From www.chegg.com
Solved PROBLEM A race car accelerates uniformly from a speed Racing Car Accelerates Uniformly Through Three Gears The average speed of the racing car is 48 meters per second. 20 for 2.0 s, 40 for 2.0 s, and 60 for 6.0 s. Determine the acceleration of the car and the distance traveled. What is its final speed? ( 2 marks ) 2 a car travelling at 28. A racing car accelerates uniformly through three gears, changes with. Racing Car Accelerates Uniformly Through Three Gears.
From www.chegg.com
Solved A racing car accelerates uniformly from rest along a Racing Car Accelerates Uniformly Through Three Gears Find out the acceleration of a car?. ( 2 marks ) 2 a car travelling at 28. The average speed of the racing car is 48 meters per second. A racing car accelerates uniformly through three gears, changes with the following average speed: 20 for 2.0 s, 40 for 2.0 s, and 60 for 6.0 s. A car accelerates uniformly. Racing Car Accelerates Uniformly Through Three Gears.
From askfilo.com
A racing car accelerates uniformly from rest along a straight track. This.. Racing Car Accelerates Uniformly Through Three Gears A racing car accelerates uniformly through three gears, changes with the following average speed. To find the average speed of the racing car, you need to calculate the total. Find out the acceleration of a car?. A car accelerates uniformly so that it goes from a velocity of 20 m / s to a velocity of 40 m / s. Racing Car Accelerates Uniformly Through Three Gears.
From www.toppr.com
A car starts from rest and accelerates uniformly 200 m. It moves Racing Car Accelerates Uniformly Through Three Gears ( 2 marks ) 2 a car travelling at 28. A raring car accelerates uniformly through three gear changes with the following average speeds 20m/s for 2 sec , 40m/s for 2. What is its final speed? To find the average speed of the racing car, you need to calculate the total. A car accelerates uniformly from 21,0 m/s to. Racing Car Accelerates Uniformly Through Three Gears.
From www.vrogue.co
A Car Accelerates Uniformly From 18 Kmh To 36 Kmh In vrogue.co Racing Car Accelerates Uniformly Through Three Gears A racing car accelerates uniformly through three gears, changes with the following average speed. The average speed of the racing car is 48 meters per second. To find the average speed of the racing car, you need to calculate the total. A raring car accelerates uniformly through three gear changes with the following average speeds 20m/s for 2 sec ,. Racing Car Accelerates Uniformly Through Three Gears.
From www.teachoo.com
Example 8.6 A car accelerates uniformly from 18 km/h to 36 km/h in 5 Racing Car Accelerates Uniformly Through Three Gears Find out the acceleration of a car?. The average speed of the racing car is 48 meters per second. A car accelerates uniformly so that it goes from a velocity of 20 m / s to a velocity of 40 m / s in 5 seconds. To find the average speed of the racing car, you need to calculate the. Racing Car Accelerates Uniformly Through Three Gears.
From www.youtube.com
A car accelerates uniformly from 18 km/h to 36 km/h in 5 seconds Racing Car Accelerates Uniformly Through Three Gears Find out the acceleration of a car?. A raring car accelerates uniformly through three gear changes with the following average speeds 20m/s for 2 sec , 40m/s for 2. To find the average speed of the racing car, you need to calculate the total. A racing car accelerates uniformly through three gears, changes with the following average speed. 20 for. Racing Car Accelerates Uniformly Through Three Gears.
From www.vrogue.co
A Car Accelerates Uniformly From 18 Kmh To 36 Kmh In vrogue.co Racing Car Accelerates Uniformly Through Three Gears A car accelerates uniformly so that it goes from a velocity of 20 m / s to a velocity of 40 m / s in 5 seconds. Find out the acceleration of a car?. Determine the acceleration of the car and the distance traveled. What is its final speed? A raring car accelerates uniformly through three gear changes with the. Racing Car Accelerates Uniformly Through Three Gears.
From www.vrogue.co
A 1700 Kg Car Starts From Rest At Position A And Acce vrogue.co Racing Car Accelerates Uniformly Through Three Gears A car accelerates uniformly from 21,0 m/s to 35,0 m/s in 3,0 seconds. A raring car accelerates uniformly through three gear changes with the following average speeds 20m/s for 2 sec , 40m/s for 2. A racing car accelerates uniformly through three gears, changes with the following average speed: Find out the acceleration of a car?. Determine the acceleration of. Racing Car Accelerates Uniformly Through Three Gears.
From www.chegg.com
Solved Acceleration A racing car accelerates uniformly from Racing Car Accelerates Uniformly Through Three Gears 20 for 2.0 s, 40 for 2.0 s, and 60 for 6.0 s. A car accelerates uniformly from 21,0 m/s to 35,0 m/s in 3,0 seconds. A racing car accelerates uniformly through three gears, changes with the following average speed: To find the average speed of the racing car, you need to calculate the total. ( 2 marks ) 2. Racing Car Accelerates Uniformly Through Three Gears.