Dehydrating Agent For Alcohol . The dehydration of ethanol to yield ethene; By passing the vapors of an alcohol over alumina. the dehydration of alcohols is an elimination reaction which yields an alkene via the water elimination. This type of reaction is. When alcohol is allowed to react with protic acids, it is prone to lose a water molecule to form alkenes. dehydration of alcohols using phosphorus oxychloride (pocl 3) and pyridine (an amine base) in place of h 2 so 4 or tsoh is a good alternative for converting alcohols to alkenes when working with compounds that decompose in the presence of strong acids: dehydration of alcohols using an acid catalyst; alcohol upon reaction with protic acids tends to lose a molecule of water to form alkenes. one way to synthesize alkenes is by dehydration of alcohols, a process in which alcohols undergo e1 or e2 mechanisms to. anhydrous zinc chloride can also be used as a dehydrating agent. There are two types of the.
from www.drinkhydrant.com
This type of reaction is. By passing the vapors of an alcohol over alumina. dehydration of alcohols using an acid catalyst; anhydrous zinc chloride can also be used as a dehydrating agent. The dehydration of ethanol to yield ethene; There are two types of the. the dehydration of alcohols is an elimination reaction which yields an alkene via the water elimination. When alcohol is allowed to react with protic acids, it is prone to lose a water molecule to form alkenes. alcohol upon reaction with protic acids tends to lose a molecule of water to form alkenes. dehydration of alcohols using phosphorus oxychloride (pocl 3) and pyridine (an amine base) in place of h 2 so 4 or tsoh is a good alternative for converting alcohols to alkenes when working with compounds that decompose in the presence of strong acids:
Alcohol Does Dehydrate You. Here’s What to Do About It Hydrant
Dehydrating Agent For Alcohol dehydration of alcohols using phosphorus oxychloride (pocl 3) and pyridine (an amine base) in place of h 2 so 4 or tsoh is a good alternative for converting alcohols to alkenes when working with compounds that decompose in the presence of strong acids: dehydration of alcohols using an acid catalyst; There are two types of the. The dehydration of ethanol to yield ethene; dehydration of alcohols using phosphorus oxychloride (pocl 3) and pyridine (an amine base) in place of h 2 so 4 or tsoh is a good alternative for converting alcohols to alkenes when working with compounds that decompose in the presence of strong acids: By passing the vapors of an alcohol over alumina. anhydrous zinc chloride can also be used as a dehydrating agent. one way to synthesize alkenes is by dehydration of alcohols, a process in which alcohols undergo e1 or e2 mechanisms to. the dehydration of alcohols is an elimination reaction which yields an alkene via the water elimination. alcohol upon reaction with protic acids tends to lose a molecule of water to form alkenes. This type of reaction is. When alcohol is allowed to react with protic acids, it is prone to lose a water molecule to form alkenes.
From slidetodoc.com
Content Alkane Structure and physical properties boiling point Dehydrating Agent For Alcohol the dehydration of alcohols is an elimination reaction which yields an alkene via the water elimination. alcohol upon reaction with protic acids tends to lose a molecule of water to form alkenes. There are two types of the. anhydrous zinc chloride can also be used as a dehydrating agent. This type of reaction is. one way. Dehydrating Agent For Alcohol.
From www.slideserve.com
PPT Alcohols PowerPoint Presentation ID2426063 Dehydrating Agent For Alcohol The dehydration of ethanol to yield ethene; dehydration of alcohols using an acid catalyst; There are two types of the. anhydrous zinc chloride can also be used as a dehydrating agent. This type of reaction is. dehydration of alcohols using phosphorus oxychloride (pocl 3) and pyridine (an amine base) in place of h 2 so 4 or. Dehydrating Agent For Alcohol.
From www.pinterest.com
Ethyl Alcohol! Alcohol, Dunkin donuts coffee cup, Disposable coffee cup Dehydrating Agent For Alcohol This type of reaction is. alcohol upon reaction with protic acids tends to lose a molecule of water to form alkenes. dehydration of alcohols using phosphorus oxychloride (pocl 3) and pyridine (an amine base) in place of h 2 so 4 or tsoh is a good alternative for converting alcohols to alkenes when working with compounds that decompose. Dehydrating Agent For Alcohol.
From www.numerade.com
SOLVED Acids may undergo reactions with alcohols. Alcohols can be Dehydrating Agent For Alcohol anhydrous zinc chloride can also be used as a dehydrating agent. There are two types of the. one way to synthesize alkenes is by dehydration of alcohols, a process in which alcohols undergo e1 or e2 mechanisms to. The dehydration of ethanol to yield ethene; alcohol upon reaction with protic acids tends to lose a molecule of. Dehydrating Agent For Alcohol.
From www.doubtnut.com
When of the following can work as a dehydrating agent for alcohols Dehydrating Agent For Alcohol dehydration of alcohols using phosphorus oxychloride (pocl 3) and pyridine (an amine base) in place of h 2 so 4 or tsoh is a good alternative for converting alcohols to alkenes when working with compounds that decompose in the presence of strong acids: By passing the vapors of an alcohol over alumina. anhydrous zinc chloride can also be. Dehydrating Agent For Alcohol.
From sdarcticchem.en.made-in-china.com
Dehydrating Agent / CAS No. 67630 / Isopropyl Alcohol / Ipa China Dehydrating Agent For Alcohol The dehydration of ethanol to yield ethene; alcohol upon reaction with protic acids tends to lose a molecule of water to form alkenes. This type of reaction is. When alcohol is allowed to react with protic acids, it is prone to lose a water molecule to form alkenes. dehydration of alcohols using phosphorus oxychloride (pocl 3) and pyridine. Dehydrating Agent For Alcohol.
From longxingchemical.en.made-in-china.com
Dehydrating Agent / CAS No. 67630 / Isopropyl Alcohol / Ipa From Dehydrating Agent For Alcohol This type of reaction is. alcohol upon reaction with protic acids tends to lose a molecule of water to form alkenes. There are two types of the. anhydrous zinc chloride can also be used as a dehydrating agent. the dehydration of alcohols is an elimination reaction which yields an alkene via the water elimination. When alcohol is. Dehydrating Agent For Alcohol.
From www.youtube.com
Dehydrating agent P2O5 I Dehydrating Agent Example I P2O5 Dehydrating Agent For Alcohol alcohol upon reaction with protic acids tends to lose a molecule of water to form alkenes. The dehydration of ethanol to yield ethene; one way to synthesize alkenes is by dehydration of alcohols, a process in which alcohols undergo e1 or e2 mechanisms to. dehydration of alcohols using phosphorus oxychloride (pocl 3) and pyridine (an amine base). Dehydrating Agent For Alcohol.
From www.2spi.com
Solvents and Dehydrating Agents SPI Supplies Dehydrating Agent For Alcohol The dehydration of ethanol to yield ethene; There are two types of the. alcohol upon reaction with protic acids tends to lose a molecule of water to form alkenes. When alcohol is allowed to react with protic acids, it is prone to lose a water molecule to form alkenes. one way to synthesize alkenes is by dehydration of. Dehydrating Agent For Alcohol.
From www.studocu.com
Dehydration final Dehydration a process in which the intracellular Dehydrating Agent For Alcohol There are two types of the. When alcohol is allowed to react with protic acids, it is prone to lose a water molecule to form alkenes. The dehydration of ethanol to yield ethene; one way to synthesize alkenes is by dehydration of alcohols, a process in which alcohols undergo e1 or e2 mechanisms to. By passing the vapors of. Dehydrating Agent For Alcohol.
From sdjc123.en.made-in-china.com
Dehydrating Agent / CAS 67630 Ipa / Chemical Materials Isopropyl Dehydrating Agent For Alcohol There are two types of the. By passing the vapors of an alcohol over alumina. dehydration of alcohols using an acid catalyst; When alcohol is allowed to react with protic acids, it is prone to lose a water molecule to form alkenes. the dehydration of alcohols is an elimination reaction which yields an alkene via the water elimination.. Dehydrating Agent For Alcohol.
From chinafinechemicals.en.made-in-china.com
Dehydrating Agent Raw Material 99.9 Purity Isopropyl Alcohol Dehydrating Agent For Alcohol This type of reaction is. dehydration of alcohols using an acid catalyst; anhydrous zinc chloride can also be used as a dehydrating agent. When alcohol is allowed to react with protic acids, it is prone to lose a water molecule to form alkenes. There are two types of the. dehydration of alcohols using phosphorus oxychloride (pocl 3). Dehydrating Agent For Alcohol.
From www.studocu.com
Dehydration & Clearing DEHYDRATION CHARACTERISTICS OF IDEAL Dehydrating Agent For Alcohol dehydration of alcohols using an acid catalyst; alcohol upon reaction with protic acids tends to lose a molecule of water to form alkenes. one way to synthesize alkenes is by dehydration of alcohols, a process in which alcohols undergo e1 or e2 mechanisms to. There are two types of the. The dehydration of ethanol to yield ethene;. Dehydrating Agent For Alcohol.
From www.slideserve.com
PPT Sulfuric Acid PowerPoint Presentation, free download ID5174506 Dehydrating Agent For Alcohol anhydrous zinc chloride can also be used as a dehydrating agent. There are two types of the. dehydration of alcohols using phosphorus oxychloride (pocl 3) and pyridine (an amine base) in place of h 2 so 4 or tsoh is a good alternative for converting alcohols to alkenes when working with compounds that decompose in the presence of. Dehydrating Agent For Alcohol.
From slideplayer.com
Unit Synthesis of Alkenes ppt video online download Dehydrating Agent For Alcohol one way to synthesize alkenes is by dehydration of alcohols, a process in which alcohols undergo e1 or e2 mechanisms to. anhydrous zinc chloride can also be used as a dehydrating agent. the dehydration of alcohols is an elimination reaction which yields an alkene via the water elimination. dehydration of alcohols using phosphorus oxychloride (pocl 3). Dehydrating Agent For Alcohol.
From www.slideserve.com
PPT Production of Sulfuric Acid PowerPoint Presentation, free Dehydrating Agent For Alcohol the dehydration of alcohols is an elimination reaction which yields an alkene via the water elimination. anhydrous zinc chloride can also be used as a dehydrating agent. The dehydration of ethanol to yield ethene; There are two types of the. one way to synthesize alkenes is by dehydration of alcohols, a process in which alcohols undergo e1. Dehydrating Agent For Alcohol.
From chem.libretexts.org
17.6 Reactions of Alcohols Chemistry LibreTexts Dehydrating Agent For Alcohol This type of reaction is. The dehydration of ethanol to yield ethene; By passing the vapors of an alcohol over alumina. dehydration of alcohols using an acid catalyst; the dehydration of alcohols is an elimination reaction which yields an alkene via the water elimination. When alcohol is allowed to react with protic acids, it is prone to lose. Dehydrating Agent For Alcohol.
From www.chemistrysteps.com
Amide Dehydration Mechanism by SOCl2, POCl3, and P2O5 Chemistry Steps Dehydrating Agent For Alcohol When alcohol is allowed to react with protic acids, it is prone to lose a water molecule to form alkenes. the dehydration of alcohols is an elimination reaction which yields an alkene via the water elimination. There are two types of the. This type of reaction is. The dehydration of ethanol to yield ethene; anhydrous zinc chloride can. Dehydrating Agent For Alcohol.
From www.studocu.com
Clearing Lecture notes 6 clearing Process whereby dehydrating agent Dehydrating Agent For Alcohol This type of reaction is. The dehydration of ethanol to yield ethene; dehydration of alcohols using an acid catalyst; dehydration of alcohols using phosphorus oxychloride (pocl 3) and pyridine (an amine base) in place of h 2 so 4 or tsoh is a good alternative for converting alcohols to alkenes when working with compounds that decompose in the. Dehydrating Agent For Alcohol.
From byjus.com
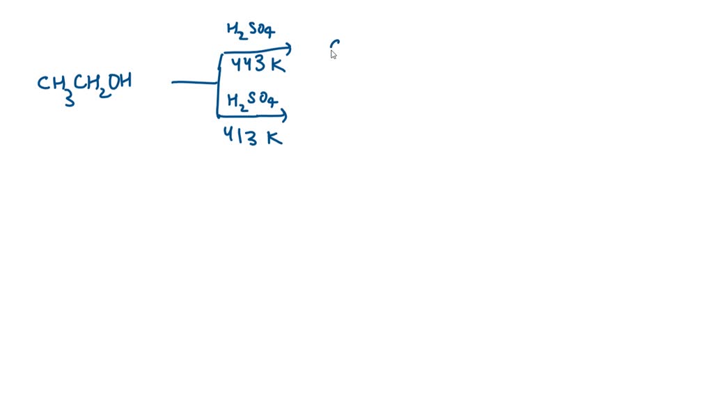
During dehydration of alcohols to alkenes by heating with concentrated Dehydrating Agent For Alcohol When alcohol is allowed to react with protic acids, it is prone to lose a water molecule to form alkenes. dehydration of alcohols using an acid catalyst; dehydration of alcohols using phosphorus oxychloride (pocl 3) and pyridine (an amine base) in place of h 2 so 4 or tsoh is a good alternative for converting alcohols to alkenes. Dehydrating Agent For Alcohol.
From eurobox-logistics.com
Dehydrating agents and silica balls bags Eurobox Dehydrating Agent For Alcohol dehydration of alcohols using an acid catalyst; one way to synthesize alkenes is by dehydration of alcohols, a process in which alcohols undergo e1 or e2 mechanisms to. dehydration of alcohols using phosphorus oxychloride (pocl 3) and pyridine (an amine base) in place of h 2 so 4 or tsoh is a good alternative for converting alcohols. Dehydrating Agent For Alcohol.
From www.youtube.com
Tissue Dehydration YouTube Dehydrating Agent For Alcohol the dehydration of alcohols is an elimination reaction which yields an alkene via the water elimination. When alcohol is allowed to react with protic acids, it is prone to lose a water molecule to form alkenes. This type of reaction is. dehydration of alcohols using phosphorus oxychloride (pocl 3) and pyridine (an amine base) in place of h. Dehydrating Agent For Alcohol.
From salintrading.en.made-in-china.com
Dehydrating Agent Isopropyl Alcohol Ipa Factory Price Salin China Dehydrating Agent For Alcohol anhydrous zinc chloride can also be used as a dehydrating agent. The dehydration of ethanol to yield ethene; one way to synthesize alkenes is by dehydration of alcohols, a process in which alcohols undergo e1 or e2 mechanisms to. When alcohol is allowed to react with protic acids, it is prone to lose a water molecule to form. Dehydrating Agent For Alcohol.
From www.numerade.com
SOLVED 'Dehydration chemical reaction of alcohols in the presence of Dehydrating Agent For Alcohol anhydrous zinc chloride can also be used as a dehydrating agent. There are two types of the. dehydration of alcohols using phosphorus oxychloride (pocl 3) and pyridine (an amine base) in place of h 2 so 4 or tsoh is a good alternative for converting alcohols to alkenes when working with compounds that decompose in the presence of. Dehydrating Agent For Alcohol.
From www.indiamart.com
Tertiary Butyl Alcohol, 98, 200 litre drum, used as dehydrating agent Dehydrating Agent For Alcohol When alcohol is allowed to react with protic acids, it is prone to lose a water molecule to form alkenes. There are two types of the. By passing the vapors of an alcohol over alumina. dehydration of alcohols using an acid catalyst; one way to synthesize alkenes is by dehydration of alcohols, a process in which alcohols undergo. Dehydrating Agent For Alcohol.
From lulelaboratory.blogspot.com
Lu Le Laboratory Make Cyclohexene Dehydration of Alcohols Reaction Dehydrating Agent For Alcohol one way to synthesize alkenes is by dehydration of alcohols, a process in which alcohols undergo e1 or e2 mechanisms to. When alcohol is allowed to react with protic acids, it is prone to lose a water molecule to form alkenes. The dehydration of ethanol to yield ethene; anhydrous zinc chloride can also be used as a dehydrating. Dehydrating Agent For Alcohol.
From longxingchemical.en.made-in-china.com
Industrial Grade Dehydrating Agent / CAS No. 67630 / Isopropyl Dehydrating Agent For Alcohol dehydration of alcohols using an acid catalyst; There are two types of the. dehydration of alcohols using phosphorus oxychloride (pocl 3) and pyridine (an amine base) in place of h 2 so 4 or tsoh is a good alternative for converting alcohols to alkenes when working with compounds that decompose in the presence of strong acids: The dehydration. Dehydrating Agent For Alcohol.
From www.drinkhydrant.com
Alcohol Does Dehydrate You. Here’s What to Do About It Hydrant Dehydrating Agent For Alcohol By passing the vapors of an alcohol over alumina. anhydrous zinc chloride can also be used as a dehydrating agent. The dehydration of ethanol to yield ethene; the dehydration of alcohols is an elimination reaction which yields an alkene via the water elimination. one way to synthesize alkenes is by dehydration of alcohols, a process in which. Dehydrating Agent For Alcohol.
From chem.libretexts.org
10.6.2. Strong Oxidizing Agents Chemistry LibreTexts Dehydrating Agent For Alcohol This type of reaction is. alcohol upon reaction with protic acids tends to lose a molecule of water to form alkenes. anhydrous zinc chloride can also be used as a dehydrating agent. There are two types of the. dehydration of alcohols using phosphorus oxychloride (pocl 3) and pyridine (an amine base) in place of h 2 so. Dehydrating Agent For Alcohol.
From longhongchem.en.made-in-china.com
Dehydrating Agent / CAS No. 67630 / Isopropyl Alcohol / Ipa China Dehydrating Agent For Alcohol dehydration of alcohols using phosphorus oxychloride (pocl 3) and pyridine (an amine base) in place of h 2 so 4 or tsoh is a good alternative for converting alcohols to alkenes when working with compounds that decompose in the presence of strong acids: When alcohol is allowed to react with protic acids, it is prone to lose a water. Dehydrating Agent For Alcohol.
From sinotainuo.en.made-in-china.com
Isopropyl Alcohol/Ipa Industry Grade Used for Dehydrating Agent China Dehydrating Agent For Alcohol one way to synthesize alkenes is by dehydration of alcohols, a process in which alcohols undergo e1 or e2 mechanisms to. anhydrous zinc chloride can also be used as a dehydrating agent. the dehydration of alcohols is an elimination reaction which yields an alkene via the water elimination. alcohol upon reaction with protic acids tends to. Dehydrating Agent For Alcohol.
From chem.libretexts.org
Alkenes from Dehydration of Alcohols Chemistry LibreTexts Dehydrating Agent For Alcohol There are two types of the. dehydration of alcohols using phosphorus oxychloride (pocl 3) and pyridine (an amine base) in place of h 2 so 4 or tsoh is a good alternative for converting alcohols to alkenes when working with compounds that decompose in the presence of strong acids: The dehydration of ethanol to yield ethene; dehydration of. Dehydrating Agent For Alcohol.
From byjus.com
During dehydration of alcohols to alkenes by heating with concentrated Dehydrating Agent For Alcohol By passing the vapors of an alcohol over alumina. one way to synthesize alkenes is by dehydration of alcohols, a process in which alcohols undergo e1 or e2 mechanisms to. alcohol upon reaction with protic acids tends to lose a molecule of water to form alkenes. the dehydration of alcohols is an elimination reaction which yields an. Dehydrating Agent For Alcohol.
From byjus.com
Why concentrated Sulphuric acid is used in the process of dehydration Dehydrating Agent For Alcohol When alcohol is allowed to react with protic acids, it is prone to lose a water molecule to form alkenes. The dehydration of ethanol to yield ethene; dehydration of alcohols using phosphorus oxychloride (pocl 3) and pyridine (an amine base) in place of h 2 so 4 or tsoh is a good alternative for converting alcohols to alkenes when. Dehydrating Agent For Alcohol.
From www.youtube.com
Tricks Dehydration of Alcohols with all dehydrating agents JEE NEET Dehydrating Agent For Alcohol When alcohol is allowed to react with protic acids, it is prone to lose a water molecule to form alkenes. By passing the vapors of an alcohol over alumina. There are two types of the. anhydrous zinc chloride can also be used as a dehydrating agent. one way to synthesize alkenes is by dehydration of alcohols, a process. Dehydrating Agent For Alcohol.