Motion Pictures Ordinance 1979 . Short title, extent and commencement. The cbfc is currently governed by. The document is the motion pictures ordinance of 1979 which established rules for film censorship and regulation of film exhibition in pakistan. 5835 visitors reached this page 379 visitors downloaded pdf file The motion pictures ordinance, 1979. It is an ordinance to provide for the censorship of films and the regulation of the exhibition of. This document outlines the motion pictures ordinance of 1979 which established regulations around film censorship and exhibition in pakistan. In september 1979, the motion pictures ordinance 1979 was promulgated which repealed the censorship of films act, 1963 and the cinematograph act, 1918. The motion pictures ordinance, 1979 chapter i section preliminary 1. The motion pictures ordinance, 1979 is a legal statute that governs the regulation and censorship of motion pictures in pakistan.
from www.studypool.com
In september 1979, the motion pictures ordinance 1979 was promulgated which repealed the censorship of films act, 1963 and the cinematograph act, 1918. Short title, extent and commencement. 5835 visitors reached this page 379 visitors downloaded pdf file This document outlines the motion pictures ordinance of 1979 which established regulations around film censorship and exhibition in pakistan. The cbfc is currently governed by. The motion pictures ordinance, 1979. The document is the motion pictures ordinance of 1979 which established rules for film censorship and regulation of film exhibition in pakistan. The motion pictures ordinance, 1979 is a legal statute that governs the regulation and censorship of motion pictures in pakistan. It is an ordinance to provide for the censorship of films and the regulation of the exhibition of. The motion pictures ordinance, 1979 chapter i section preliminary 1.
SOLUTION Offence of zina ordinance 1979 Studypool
Motion Pictures Ordinance 1979 The motion pictures ordinance, 1979. Short title, extent and commencement. The motion pictures ordinance, 1979 is a legal statute that governs the regulation and censorship of motion pictures in pakistan. In september 1979, the motion pictures ordinance 1979 was promulgated which repealed the censorship of films act, 1963 and the cinematograph act, 1918. The cbfc is currently governed by. The motion pictures ordinance, 1979 chapter i section preliminary 1. This document outlines the motion pictures ordinance of 1979 which established regulations around film censorship and exhibition in pakistan. The motion pictures ordinance, 1979. The document is the motion pictures ordinance of 1979 which established rules for film censorship and regulation of film exhibition in pakistan. 5835 visitors reached this page 379 visitors downloaded pdf file It is an ordinance to provide for the censorship of films and the regulation of the exhibition of.
From plh.com.pk
The Sindh Rented Premises Ordinance,1979 with Latest Case Laws Motion Pictures Ordinance 1979 5835 visitors reached this page 379 visitors downloaded pdf file The motion pictures ordinance, 1979. It is an ordinance to provide for the censorship of films and the regulation of the exhibition of. Short title, extent and commencement. In september 1979, the motion pictures ordinance 1979 was promulgated which repealed the censorship of films act, 1963 and the cinematograph act,. Motion Pictures Ordinance 1979.
From www.scribd.com
Qazaf Ordinance 1979 PDF Criminal Procedure In South Africa Motion Pictures Ordinance 1979 The motion pictures ordinance, 1979. Short title, extent and commencement. The cbfc is currently governed by. The motion pictures ordinance, 1979 is a legal statute that governs the regulation and censorship of motion pictures in pakistan. 5835 visitors reached this page 379 visitors downloaded pdf file In september 1979, the motion pictures ordinance 1979 was promulgated which repealed the censorship. Motion Pictures Ordinance 1979.
From www.studocu.com
Offence of Qazf (Enforcement of Hadd) Ordinance, 1979 THE OFFENCE OF Motion Pictures Ordinance 1979 The motion pictures ordinance, 1979 chapter i section preliminary 1. The cbfc is currently governed by. It is an ordinance to provide for the censorship of films and the regulation of the exhibition of. The document is the motion pictures ordinance of 1979 which established rules for film censorship and regulation of film exhibition in pakistan. 5835 visitors reached this. Motion Pictures Ordinance 1979.
From dokumen.tips
(PDF) SINDH BUILDING CONTROL ORDINANCE, 1979 1 SHORTSINDH Motion Pictures Ordinance 1979 5835 visitors reached this page 379 visitors downloaded pdf file The motion pictures ordinance, 1979 chapter i section preliminary 1. The motion pictures ordinance, 1979. This document outlines the motion pictures ordinance of 1979 which established regulations around film censorship and exhibition in pakistan. In september 1979, the motion pictures ordinance 1979 was promulgated which repealed the censorship of films. Motion Pictures Ordinance 1979.
From www.studocu.com
Sindh Rented premises ordinance 1979 PakistanLaw beta Case Laws Motion Pictures Ordinance 1979 This document outlines the motion pictures ordinance of 1979 which established regulations around film censorship and exhibition in pakistan. In september 1979, the motion pictures ordinance 1979 was promulgated which repealed the censorship of films act, 1963 and the cinematograph act, 1918. 5835 visitors reached this page 379 visitors downloaded pdf file The motion pictures ordinance, 1979 is a legal. Motion Pictures Ordinance 1979.
From www.scribd.com
The Motion Pictures Ordinance, 1979 PDF Federal Government Of The Motion Pictures Ordinance 1979 The motion pictures ordinance, 1979 chapter i section preliminary 1. The cbfc is currently governed by. It is an ordinance to provide for the censorship of films and the regulation of the exhibition of. The motion pictures ordinance, 1979 is a legal statute that governs the regulation and censorship of motion pictures in pakistan. Short title, extent and commencement. The. Motion Pictures Ordinance 1979.
From www.scribd.com
The Offence of Zina (Enforcement of Hudood) Ordinance, 1979 An Motion Pictures Ordinance 1979 The motion pictures ordinance, 1979. It is an ordinance to provide for the censorship of films and the regulation of the exhibition of. In september 1979, the motion pictures ordinance 1979 was promulgated which repealed the censorship of films act, 1963 and the cinematograph act, 1918. Short title, extent and commencement. The motion pictures ordinance, 1979 chapter i section preliminary. Motion Pictures Ordinance 1979.
From www.sctimes.com
Waite Park City Council passes drone ordinance Motion Pictures Ordinance 1979 5835 visitors reached this page 379 visitors downloaded pdf file The motion pictures ordinance, 1979 is a legal statute that governs the regulation and censorship of motion pictures in pakistan. The document is the motion pictures ordinance of 1979 which established rules for film censorship and regulation of film exhibition in pakistan. In september 1979, the motion pictures ordinance 1979. Motion Pictures Ordinance 1979.
From plh.com.pk
Sindh Building Control Ordinance, 1979 Pakistan Law House Motion Pictures Ordinance 1979 The motion pictures ordinance, 1979. The cbfc is currently governed by. In september 1979, the motion pictures ordinance 1979 was promulgated which repealed the censorship of films act, 1963 and the cinematograph act, 1918. The motion pictures ordinance, 1979 chapter i section preliminary 1. This document outlines the motion pictures ordinance of 1979 which established regulations around film censorship and. Motion Pictures Ordinance 1979.
From www.scribd.com
Sindh Rented Premises Ordinance 1979 PDF Motion Pictures Ordinance 1979 In september 1979, the motion pictures ordinance 1979 was promulgated which repealed the censorship of films act, 1963 and the cinematograph act, 1918. The motion pictures ordinance, 1979. The document is the motion pictures ordinance of 1979 which established rules for film censorship and regulation of film exhibition in pakistan. This document outlines the motion pictures ordinance of 1979 which. Motion Pictures Ordinance 1979.
From www.scribd.com
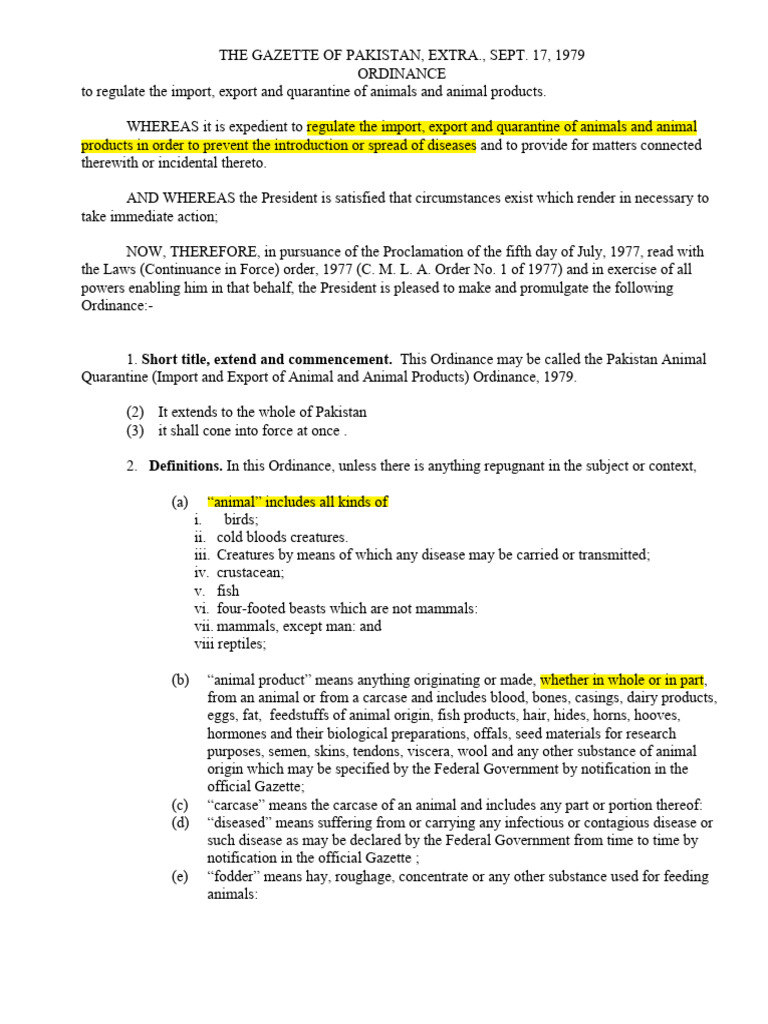
Animal Quarantine Ordinance 1979 Download Free PDF Quarantine Birds Motion Pictures Ordinance 1979 In september 1979, the motion pictures ordinance 1979 was promulgated which repealed the censorship of films act, 1963 and the cinematograph act, 1918. The cbfc is currently governed by. 5835 visitors reached this page 379 visitors downloaded pdf file The document is the motion pictures ordinance of 1979 which established rules for film censorship and regulation of film exhibition in. Motion Pictures Ordinance 1979.
From www.youtube.com
Section 05 of Prohibition Ordinance 1979 Article 3 or Article 4 not Motion Pictures Ordinance 1979 The motion pictures ordinance, 1979 is a legal statute that governs the regulation and censorship of motion pictures in pakistan. The cbfc is currently governed by. Short title, extent and commencement. It is an ordinance to provide for the censorship of films and the regulation of the exhibition of. The document is the motion pictures ordinance of 1979 which established. Motion Pictures Ordinance 1979.
From www.nike.com
【NIKE公式】ジョーダン MVP ジュニア モーション ジャンプマン Tシャツ.オンラインストア (通販サイト) Motion Pictures Ordinance 1979 The document is the motion pictures ordinance of 1979 which established rules for film censorship and regulation of film exhibition in pakistan. Short title, extent and commencement. The cbfc is currently governed by. The motion pictures ordinance, 1979 is a legal statute that governs the regulation and censorship of motion pictures in pakistan. It is an ordinance to provide for. Motion Pictures Ordinance 1979.
From www.pdffiller.com
Fillable Online Motion to discuss/approve Ordinance 202304 Motion Pictures Ordinance 1979 It is an ordinance to provide for the censorship of films and the regulation of the exhibition of. The motion pictures ordinance, 1979. In september 1979, the motion pictures ordinance 1979 was promulgated which repealed the censorship of films act, 1963 and the cinematograph act, 1918. The motion pictures ordinance, 1979 chapter i section preliminary 1. The cbfc is currently. Motion Pictures Ordinance 1979.
From www.scribd.com
Offences Against Property (Enforcement of Hudood) Ordinance, 1979 PDF Motion Pictures Ordinance 1979 The cbfc is currently governed by. In september 1979, the motion pictures ordinance 1979 was promulgated which repealed the censorship of films act, 1963 and the cinematograph act, 1918. Short title, extent and commencement. The motion pictures ordinance, 1979 chapter i section preliminary 1. 5835 visitors reached this page 379 visitors downloaded pdf file The motion pictures ordinance, 1979. The. Motion Pictures Ordinance 1979.
From www.slideserve.com
PPT REPUBLIC ACT NO. 3571 PowerPoint Presentation, free download ID Motion Pictures Ordinance 1979 The cbfc is currently governed by. The document is the motion pictures ordinance of 1979 which established rules for film censorship and regulation of film exhibition in pakistan. This document outlines the motion pictures ordinance of 1979 which established regulations around film censorship and exhibition in pakistan. 5835 visitors reached this page 379 visitors downloaded pdf file The motion pictures. Motion Pictures Ordinance 1979.
From petiwalabooks.com
Petiwala Books. Sindh Rented Premises Ordinance, 1979 Motion Pictures Ordinance 1979 The motion pictures ordinance, 1979 is a legal statute that governs the regulation and censorship of motion pictures in pakistan. 5835 visitors reached this page 379 visitors downloaded pdf file The document is the motion pictures ordinance of 1979 which established rules for film censorship and regulation of film exhibition in pakistan. In september 1979, the motion pictures ordinance 1979. Motion Pictures Ordinance 1979.
From 24justice.pk
The Cigarettes (Printing of Warning) Ordinance, 1979 24justice.pk Motion Pictures Ordinance 1979 The document is the motion pictures ordinance of 1979 which established rules for film censorship and regulation of film exhibition in pakistan. The motion pictures ordinance, 1979. The cbfc is currently governed by. The motion pictures ordinance, 1979 is a legal statute that governs the regulation and censorship of motion pictures in pakistan. This document outlines the motion pictures ordinance. Motion Pictures Ordinance 1979.
From www.studypool.com
SOLUTION Offence of zina ordinance 1979 Studypool Motion Pictures Ordinance 1979 In september 1979, the motion pictures ordinance 1979 was promulgated which repealed the censorship of films act, 1963 and the cinematograph act, 1918. The document is the motion pictures ordinance of 1979 which established rules for film censorship and regulation of film exhibition in pakistan. Short title, extent and commencement. The cbfc is currently governed by. 5835 visitors reached this. Motion Pictures Ordinance 1979.
From fyojvxvwi.blob.core.windows.net
Ordinance Definition Law Uk at Dee Hunley blog Motion Pictures Ordinance 1979 It is an ordinance to provide for the censorship of films and the regulation of the exhibition of. 5835 visitors reached this page 379 visitors downloaded pdf file The cbfc is currently governed by. The motion pictures ordinance, 1979. The motion pictures ordinance, 1979 is a legal statute that governs the regulation and censorship of motion pictures in pakistan. The. Motion Pictures Ordinance 1979.
From wallpapers.com
Download Capturing the Moment in Motion Motion Pictures Ordinance 1979 The motion pictures ordinance, 1979 chapter i section preliminary 1. 5835 visitors reached this page 379 visitors downloaded pdf file The document is the motion pictures ordinance of 1979 which established rules for film censorship and regulation of film exhibition in pakistan. This document outlines the motion pictures ordinance of 1979 which established regulations around film censorship and exhibition in. Motion Pictures Ordinance 1979.
From twitter.com
Rajdeep Sardesai on Twitter "Breaking now President promulgates Motion Pictures Ordinance 1979 It is an ordinance to provide for the censorship of films and the regulation of the exhibition of. The motion pictures ordinance, 1979. The document is the motion pictures ordinance of 1979 which established rules for film censorship and regulation of film exhibition in pakistan. In september 1979, the motion pictures ordinance 1979 was promulgated which repealed the censorship of. Motion Pictures Ordinance 1979.
From www.alamy.com
YVONNE DE CARLO in THE TEN COMMANDMENTS 1956 director CECIL B. DeMILLE Motion Pictures Ordinance 1979 This document outlines the motion pictures ordinance of 1979 which established regulations around film censorship and exhibition in pakistan. In september 1979, the motion pictures ordinance 1979 was promulgated which repealed the censorship of films act, 1963 and the cinematograph act, 1918. The motion pictures ordinance, 1979. The motion pictures ordinance, 1979 chapter i section preliminary 1. It is an. Motion Pictures Ordinance 1979.
From www.studocu.com
Offence of qazf ordinance 1979 THE OFFENCE OF QAZF (ENFORCEMENT OF Motion Pictures Ordinance 1979 Short title, extent and commencement. The cbfc is currently governed by. The motion pictures ordinance, 1979 chapter i section preliminary 1. The motion pictures ordinance, 1979 is a legal statute that governs the regulation and censorship of motion pictures in pakistan. The motion pictures ordinance, 1979. It is an ordinance to provide for the censorship of films and the regulation. Motion Pictures Ordinance 1979.
From www.youtube.com
Property Hudood Ordinance 1979 Law & Judiciary MCQs YouTube Motion Pictures Ordinance 1979 In september 1979, the motion pictures ordinance 1979 was promulgated which repealed the censorship of films act, 1963 and the cinematograph act, 1918. Short title, extent and commencement. The document is the motion pictures ordinance of 1979 which established rules for film censorship and regulation of film exhibition in pakistan. The cbfc is currently governed by. The motion pictures ordinance,. Motion Pictures Ordinance 1979.
From www.youtube.com
Sindh Rented Premises Ordinance 1979 YouTube Motion Pictures Ordinance 1979 The document is the motion pictures ordinance of 1979 which established rules for film censorship and regulation of film exhibition in pakistan. It is an ordinance to provide for the censorship of films and the regulation of the exhibition of. 5835 visitors reached this page 379 visitors downloaded pdf file The motion pictures ordinance, 1979. In september 1979, the motion. Motion Pictures Ordinance 1979.
From www.scribd.com
The Motion Pictures Ordinance 1979 PDF Fine (Penalty) Repeal Motion Pictures Ordinance 1979 The document is the motion pictures ordinance of 1979 which established rules for film censorship and regulation of film exhibition in pakistan. The cbfc is currently governed by. In september 1979, the motion pictures ordinance 1979 was promulgated which repealed the censorship of films act, 1963 and the cinematograph act, 1918. The motion pictures ordinance, 1979. The motion pictures ordinance,. Motion Pictures Ordinance 1979.
From studylib.net
Ordinance List 1979 Motion Pictures Ordinance 1979 The motion pictures ordinance, 1979 is a legal statute that governs the regulation and censorship of motion pictures in pakistan. In september 1979, the motion pictures ordinance 1979 was promulgated which repealed the censorship of films act, 1963 and the cinematograph act, 1918. It is an ordinance to provide for the censorship of films and the regulation of the exhibition. Motion Pictures Ordinance 1979.
From www.studocu.com
4dd101512 The Offences Against Property (Enforcement of Hudood Motion Pictures Ordinance 1979 The motion pictures ordinance, 1979 is a legal statute that governs the regulation and censorship of motion pictures in pakistan. This document outlines the motion pictures ordinance of 1979 which established regulations around film censorship and exhibition in pakistan. The motion pictures ordinance, 1979. The cbfc is currently governed by. It is an ordinance to provide for the censorship of. Motion Pictures Ordinance 1979.
From www.studypool.com
SOLUTION Offence of zina ordinance 1979 Studypool Motion Pictures Ordinance 1979 The motion pictures ordinance, 1979. 5835 visitors reached this page 379 visitors downloaded pdf file Short title, extent and commencement. The cbfc is currently governed by. The motion pictures ordinance, 1979 chapter i section preliminary 1. This document outlines the motion pictures ordinance of 1979 which established regulations around film censorship and exhibition in pakistan. In september 1979, the motion. Motion Pictures Ordinance 1979.
From www.studypool.com
SOLUTION Offence of zina ordinance 1979 Studypool Motion Pictures Ordinance 1979 The cbfc is currently governed by. This document outlines the motion pictures ordinance of 1979 which established regulations around film censorship and exhibition in pakistan. In september 1979, the motion pictures ordinance 1979 was promulgated which repealed the censorship of films act, 1963 and the cinematograph act, 1918. The motion pictures ordinance, 1979. Short title, extent and commencement. The motion. Motion Pictures Ordinance 1979.
From wallpapers.com
Download Motion Pictures Motion Pictures Ordinance 1979 The motion pictures ordinance, 1979 chapter i section preliminary 1. The cbfc is currently governed by. The motion pictures ordinance, 1979. Short title, extent and commencement. The motion pictures ordinance, 1979 is a legal statute that governs the regulation and censorship of motion pictures in pakistan. 5835 visitors reached this page 379 visitors downloaded pdf file The document is the. Motion Pictures Ordinance 1979.
From studylib.net
On motion of , seconded by , the following ordinance was offered Motion Pictures Ordinance 1979 The document is the motion pictures ordinance of 1979 which established rules for film censorship and regulation of film exhibition in pakistan. It is an ordinance to provide for the censorship of films and the regulation of the exhibition of. The cbfc is currently governed by. This document outlines the motion pictures ordinance of 1979 which established regulations around film. Motion Pictures Ordinance 1979.
From www.scribd.com
Offence of Zina (Enforcement of Hudood) Ordinance, 1979 PDF Motion Pictures Ordinance 1979 The document is the motion pictures ordinance of 1979 which established rules for film censorship and regulation of film exhibition in pakistan. 5835 visitors reached this page 379 visitors downloaded pdf file This document outlines the motion pictures ordinance of 1979 which established regulations around film censorship and exhibition in pakistan. In september 1979, the motion pictures ordinance 1979 was. Motion Pictures Ordinance 1979.
From www.studocu.com
SRPO1989 THE SIND RENTED PREMISES ORDINANCE, 1979 C O N T E N T S Motion Pictures Ordinance 1979 In september 1979, the motion pictures ordinance 1979 was promulgated which repealed the censorship of films act, 1963 and the cinematograph act, 1918. The cbfc is currently governed by. The motion pictures ordinance, 1979 is a legal statute that governs the regulation and censorship of motion pictures in pakistan. 5835 visitors reached this page 379 visitors downloaded pdf file The. Motion Pictures Ordinance 1979.