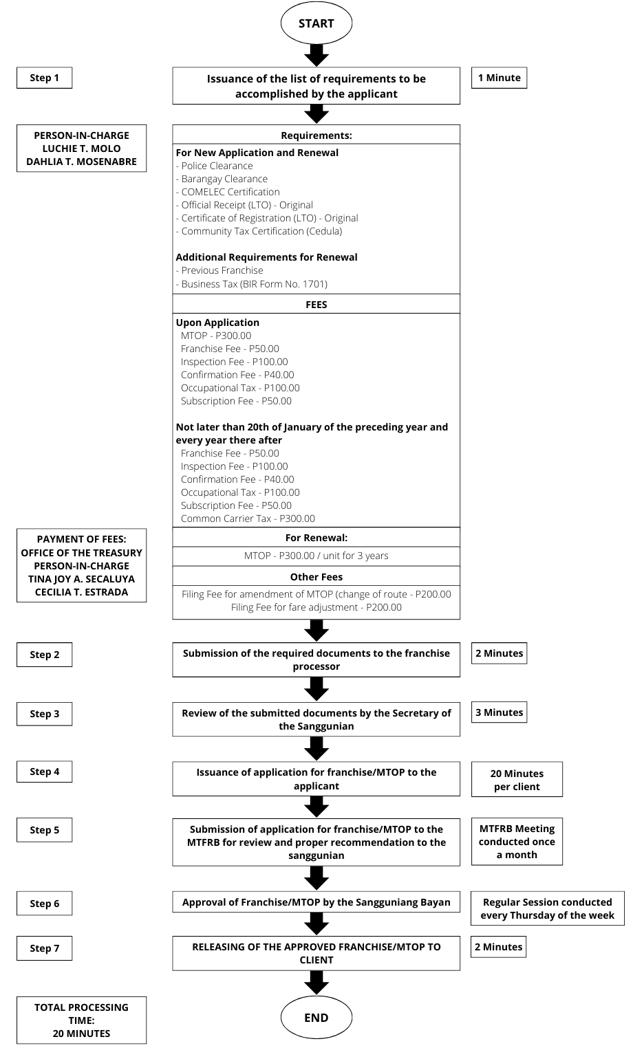
Tricycle Franchise Requirements . Get application form and list of requirements at window 9, of the office of the municipal treasurer. Tricycle franchise operators checklist of requirements where to secure photocopy of tricycle franchise. brief description of the service franchise owners are required to secure yearly a renewal of tricycle supervision for each. how to apply for a tricycle franchise. salient features of the said measure are it provides uniform franchising requirement and procedure, operational parameters,. the franchising and operation of tricycles shall be controlled and regulated with the end in view of effectively managing these. Proceed to franchising section of business permit and license office and present all the required documents go to local franchising and regulatory board office nearest you and present the list of requirements ; the mtop, otherwise known by motorcycle drivers as the motorized tricycle operators permit is a very valuable document for qualifying to use your. Just like the requirements, there are no standardized instructions on where. Present the motorized or electric tricycle unit to traffic management group (tmg) at local municipal or city hall ;
from www.scribd.com
salient features of the said measure are it provides uniform franchising requirement and procedure, operational parameters,. Get application form and list of requirements at window 9, of the office of the municipal treasurer. the franchising and operation of tricycles shall be controlled and regulated with the end in view of effectively managing these. Proceed to franchising section of business permit and license office and present all the required documents Just like the requirements, there are no standardized instructions on where. how to apply for a tricycle franchise. brief description of the service franchise owners are required to secure yearly a renewal of tricycle supervision for each. go to local franchising and regulatory board office nearest you and present the list of requirements ; Tricycle franchise operators checklist of requirements where to secure photocopy of tricycle franchise. the mtop, otherwise known by motorcycle drivers as the motorized tricycle operators permit is a very valuable document for qualifying to use your.
0242015 SB Res. 23 Tricycle Franchise Philippines Local
Tricycle Franchise Requirements brief description of the service franchise owners are required to secure yearly a renewal of tricycle supervision for each. the mtop, otherwise known by motorcycle drivers as the motorized tricycle operators permit is a very valuable document for qualifying to use your. Proceed to franchising section of business permit and license office and present all the required documents Just like the requirements, there are no standardized instructions on where. Get application form and list of requirements at window 9, of the office of the municipal treasurer. how to apply for a tricycle franchise. Present the motorized or electric tricycle unit to traffic management group (tmg) at local municipal or city hall ; Tricycle franchise operators checklist of requirements where to secure photocopy of tricycle franchise. brief description of the service franchise owners are required to secure yearly a renewal of tricycle supervision for each. go to local franchising and regulatory board office nearest you and present the list of requirements ; the franchising and operation of tricycles shall be controlled and regulated with the end in view of effectively managing these. salient features of the said measure are it provides uniform franchising requirement and procedure, operational parameters,.
From rmn.ph
Bilang ng Business at Tricycle Franchise Renewal sa taong 2020, Bumaba Tricycle Franchise Requirements Proceed to franchising section of business permit and license office and present all the required documents Present the motorized or electric tricycle unit to traffic management group (tmg) at local municipal or city hall ; the mtop, otherwise known by motorcycle drivers as the motorized tricycle operators permit is a very valuable document for qualifying to use your. . Tricycle Franchise Requirements.
From www.researchgate.net
(PDF) Knowledge and Level of Compliance of Tricycle Drivers on Traffic Tricycle Franchise Requirements go to local franchising and regulatory board office nearest you and present the list of requirements ; Just like the requirements, there are no standardized instructions on where. Get application form and list of requirements at window 9, of the office of the municipal treasurer. brief description of the service franchise owners are required to secure yearly a. Tricycle Franchise Requirements.
From studylib.net
an ordinance for the implementation of the new tricycle fares within Tricycle Franchise Requirements Tricycle franchise operators checklist of requirements where to secure photocopy of tricycle franchise. go to local franchising and regulatory board office nearest you and present the list of requirements ; Just like the requirements, there are no standardized instructions on where. the franchising and operation of tricycles shall be controlled and regulated with the end in view of. Tricycle Franchise Requirements.
From sbo.itogon.gov.ph
Itogon Municipal Trimobile Franchising & Regulatory Board (IMTFRB Tricycle Franchise Requirements Present the motorized or electric tricycle unit to traffic management group (tmg) at local municipal or city hall ; Just like the requirements, there are no standardized instructions on where. Proceed to franchising section of business permit and license office and present all the required documents salient features of the said measure are it provides uniform franchising requirement and. Tricycle Franchise Requirements.
From www.carousell.ph
Tricycle sidecar with franchise, Everything Else, Others on Carousell Tricycle Franchise Requirements the mtop, otherwise known by motorcycle drivers as the motorized tricycle operators permit is a very valuable document for qualifying to use your. brief description of the service franchise owners are required to secure yearly a renewal of tricycle supervision for each. the franchising and operation of tricycles shall be controlled and regulated with the end in. Tricycle Franchise Requirements.
From sbtangalan.ph
Availing a Motorized Tricycle Operator’s Permit (MTOP) or Franchise Tricycle Franchise Requirements Present the motorized or electric tricycle unit to traffic management group (tmg) at local municipal or city hall ; how to apply for a tricycle franchise. go to local franchising and regulatory board office nearest you and present the list of requirements ; Tricycle franchise operators checklist of requirements where to secure photocopy of tricycle franchise. Proceed to. Tricycle Franchise Requirements.
From mb.com.ph
Free tricycle franchise fee, scholarship for 5,000 students assured in Tricycle Franchise Requirements Tricycle franchise operators checklist of requirements where to secure photocopy of tricycle franchise. the mtop, otherwise known by motorcycle drivers as the motorized tricycle operators permit is a very valuable document for qualifying to use your. Get application form and list of requirements at window 9, of the office of the municipal treasurer. salient features of the said. Tricycle Franchise Requirements.
From sp.tagbilaran.gov.ph
APPROVING THREE (3) APPLICATIONS FOR NEW FRANCHISE TO OPERATE MOTORIZED Tricycle Franchise Requirements how to apply for a tricycle franchise. Just like the requirements, there are no standardized instructions on where. go to local franchising and regulatory board office nearest you and present the list of requirements ; brief description of the service franchise owners are required to secure yearly a renewal of tricycle supervision for each. Tricycle franchise operators. Tricycle Franchise Requirements.
From ifabsuffrage.com
Responsibilities of a tricycle driver LTMS LTO Philippines Food and Tricycle Franchise Requirements how to apply for a tricycle franchise. the franchising and operation of tricycles shall be controlled and regulated with the end in view of effectively managing these. Present the motorized or electric tricycle unit to traffic management group (tmg) at local municipal or city hall ; go to local franchising and regulatory board office nearest you and. Tricycle Franchise Requirements.
From pagbilao.gov.ph
Issuance of Dropping Cancellation of Tricycle Franchise Official Tricycle Franchise Requirements Proceed to franchising section of business permit and license office and present all the required documents the franchising and operation of tricycles shall be controlled and regulated with the end in view of effectively managing these. salient features of the said measure are it provides uniform franchising requirement and procedure, operational parameters,. the mtop, otherwise known by. Tricycle Franchise Requirements.
From www.scribd.com
Sample Tricycle Franchise From Pavia PDF Government Tricycle Franchise Requirements Get application form and list of requirements at window 9, of the office of the municipal treasurer. how to apply for a tricycle franchise. go to local franchising and regulatory board office nearest you and present the list of requirements ; Tricycle franchise operators checklist of requirements where to secure photocopy of tricycle franchise. the franchising and. Tricycle Franchise Requirements.
From cavitecity.gov.ph
Official site Of Cavite City Issuance of Franchise to Tricycle Tricycle Franchise Requirements brief description of the service franchise owners are required to secure yearly a renewal of tricycle supervision for each. Proceed to franchising section of business permit and license office and present all the required documents salient features of the said measure are it provides uniform franchising requirement and procedure, operational parameters,. Present the motorized or electric tricycle unit. Tricycle Franchise Requirements.
From www.scribd.com
0142014 Extension of Period of Renewal of Tricycle Franchise PDF Tricycle Franchise Requirements how to apply for a tricycle franchise. brief description of the service franchise owners are required to secure yearly a renewal of tricycle supervision for each. Present the motorized or electric tricycle unit to traffic management group (tmg) at local municipal or city hall ; Tricycle franchise operators checklist of requirements where to secure photocopy of tricycle franchise.. Tricycle Franchise Requirements.
From cavitecity.gov.ph
Official site Of Cavite City Registration and Issuance of Tricycle Franchise Requirements the franchising and operation of tricycles shall be controlled and regulated with the end in view of effectively managing these. Just like the requirements, there are no standardized instructions on where. Tricycle franchise operators checklist of requirements where to secure photocopy of tricycle franchise. salient features of the said measure are it provides uniform franchising requirement and procedure,. Tricycle Franchise Requirements.
From www.scribd.com
052013 Tricycle Franchise Renewal PDF Justice Crime & Violence Tricycle Franchise Requirements salient features of the said measure are it provides uniform franchising requirement and procedure, operational parameters,. the franchising and operation of tricycles shall be controlled and regulated with the end in view of effectively managing these. Just like the requirements, there are no standardized instructions on where. the mtop, otherwise known by motorcycle drivers as the motorized. Tricycle Franchise Requirements.
From www.amellar.com
TRS Tricycle Registration System Amellar Solutions Enabling ELocal Tricycle Franchise Requirements the mtop, otherwise known by motorcycle drivers as the motorized tricycle operators permit is a very valuable document for qualifying to use your. Present the motorized or electric tricycle unit to traffic management group (tmg) at local municipal or city hall ; how to apply for a tricycle franchise. salient features of the said measure are it. Tricycle Franchise Requirements.
From franchise-faq.com
How To Transfer Tricycle Franchise Tricycle Franchise Requirements Proceed to franchising section of business permit and license office and present all the required documents how to apply for a tricycle franchise. the mtop, otherwise known by motorcycle drivers as the motorized tricycle operators permit is a very valuable document for qualifying to use your. Tricycle franchise operators checklist of requirements where to secure photocopy of tricycle. Tricycle Franchise Requirements.
From www.scribd.com
Requirements For Franchise Renewal of Motorized Tricycle Operators Tricycle Franchise Requirements the mtop, otherwise known by motorcycle drivers as the motorized tricycle operators permit is a very valuable document for qualifying to use your. go to local franchising and regulatory board office nearest you and present the list of requirements ; Present the motorized or electric tricycle unit to traffic management group (tmg) at local municipal or city hall. Tricycle Franchise Requirements.
From catanduanestribune.net
DILG urges LGUs to adopt new tricycle standards, parking rules Tricycle Franchise Requirements brief description of the service franchise owners are required to secure yearly a renewal of tricycle supervision for each. the mtop, otherwise known by motorcycle drivers as the motorized tricycle operators permit is a very valuable document for qualifying to use your. how to apply for a tricycle franchise. Tricycle franchise operators checklist of requirements where to. Tricycle Franchise Requirements.
From sp.tagbilaran.gov.ph
APPROVING NINE (9) APPLICATIONS FOR RENEWAL OF FRANCHISE TO OPERATE Tricycle Franchise Requirements how to apply for a tricycle franchise. Proceed to franchising section of business permit and license office and present all the required documents brief description of the service franchise owners are required to secure yearly a renewal of tricycle supervision for each. go to local franchising and regulatory board office nearest you and present the list of. Tricycle Franchise Requirements.
From dailyguardian.com.ph
Traffic enforcers go easy on tricycles with expired franchise Daily Tricycle Franchise Requirements Just like the requirements, there are no standardized instructions on where. Present the motorized or electric tricycle unit to traffic management group (tmg) at local municipal or city hall ; Get application form and list of requirements at window 9, of the office of the municipal treasurer. the mtop, otherwise known by motorcycle drivers as the motorized tricycle operators. Tricycle Franchise Requirements.
From thecaviterising.com
Tricycle franchise renewal libre sa Kawit ngayong 2024 The Cavite Rising Tricycle Franchise Requirements Get application form and list of requirements at window 9, of the office of the municipal treasurer. Proceed to franchising section of business permit and license office and present all the required documents Just like the requirements, there are no standardized instructions on where. salient features of the said measure are it provides uniform franchising requirement and procedure, operational. Tricycle Franchise Requirements.
From sp.tagbilaran.gov.ph
APPROVING THREE (3) APPLICATIONS FOR NEW FRANCHISE TO OPERATE MOTORIZED Tricycle Franchise Requirements brief description of the service franchise owners are required to secure yearly a renewal of tricycle supervision for each. Proceed to franchising section of business permit and license office and present all the required documents Present the motorized or electric tricycle unit to traffic management group (tmg) at local municipal or city hall ; go to local franchising. Tricycle Franchise Requirements.
From www.carousell.ph
Tricycle with Franchise, Motorbikes, Motorbikes for Sale on Carousell Tricycle Franchise Requirements Tricycle franchise operators checklist of requirements where to secure photocopy of tricycle franchise. Just like the requirements, there are no standardized instructions on where. Proceed to franchising section of business permit and license office and present all the required documents go to local franchising and regulatory board office nearest you and present the list of requirements ; Get application. Tricycle Franchise Requirements.
From pagbilao.gov.ph
Issuance of Dropping Cancellation of Tricycle Franchise Official Tricycle Franchise Requirements salient features of the said measure are it provides uniform franchising requirement and procedure, operational parameters,. go to local franchising and regulatory board office nearest you and present the list of requirements ; Tricycle franchise operators checklist of requirements where to secure photocopy of tricycle franchise. brief description of the service franchise owners are required to secure. Tricycle Franchise Requirements.
From pagbilao.gov.ph
Issuance of Dropping Cancellation of Tricycle Franchise Official Tricycle Franchise Requirements go to local franchising and regulatory board office nearest you and present the list of requirements ; Just like the requirements, there are no standardized instructions on where. the mtop, otherwise known by motorcycle drivers as the motorized tricycle operators permit is a very valuable document for qualifying to use your. Tricycle franchise operators checklist of requirements where. Tricycle Franchise Requirements.
From cityofilagan.com
January 23, 2023 Extension of Deadline for Business Registration and Tricycle Franchise Requirements Tricycle franchise operators checklist of requirements where to secure photocopy of tricycle franchise. salient features of the said measure are it provides uniform franchising requirement and procedure, operational parameters,. Proceed to franchising section of business permit and license office and present all the required documents Present the motorized or electric tricycle unit to traffic management group (tmg) at local. Tricycle Franchise Requirements.
From www.pinoydriver.com
How to get a Motorized Tricycle Operator’s Permit (MTOP) Tricycle Franchise Requirements Get application form and list of requirements at window 9, of the office of the municipal treasurer. brief description of the service franchise owners are required to secure yearly a renewal of tricycle supervision for each. go to local franchising and regulatory board office nearest you and present the list of requirements ; Tricycle franchise operators checklist of. Tricycle Franchise Requirements.
From pagbilao.gov.ph
Issuance of Dropping Cancellation of Tricycle Franchise Official Tricycle Franchise Requirements Proceed to franchising section of business permit and license office and present all the required documents brief description of the service franchise owners are required to secure yearly a renewal of tricycle supervision for each. Get application form and list of requirements at window 9, of the office of the municipal treasurer. the franchising and operation of tricycles. Tricycle Franchise Requirements.
From sp.tagbilaran.gov.ph
APPROVING TWENTY ONE (21) APPLICATIONS FOR RENEWAL OF FRANCHISE TO Tricycle Franchise Requirements Tricycle franchise operators checklist of requirements where to secure photocopy of tricycle franchise. the franchising and operation of tricycles shall be controlled and regulated with the end in view of effectively managing these. go to local franchising and regulatory board office nearest you and present the list of requirements ; the mtop, otherwise known by motorcycle drivers. Tricycle Franchise Requirements.
From www.scribd.com
0242015 SB Res. 23 Tricycle Franchise Philippines Local Tricycle Franchise Requirements Get application form and list of requirements at window 9, of the office of the municipal treasurer. the mtop, otherwise known by motorcycle drivers as the motorized tricycle operators permit is a very valuable document for qualifying to use your. Proceed to franchising section of business permit and license office and present all the required documents the franchising. Tricycle Franchise Requirements.
From www.carousell.ph
Tricycle with Franchise / Prankisa, Cars for Sale on Carousell Tricycle Franchise Requirements Present the motorized or electric tricycle unit to traffic management group (tmg) at local municipal or city hall ; Tricycle franchise operators checklist of requirements where to secure photocopy of tricycle franchise. the franchising and operation of tricycles shall be controlled and regulated with the end in view of effectively managing these. Get application form and list of requirements. Tricycle Franchise Requirements.
From cityofilagan.com
January 3, 2023 To All Tricycle Operators/Drivers Schedule of MTOP Tricycle Franchise Requirements brief description of the service franchise owners are required to secure yearly a renewal of tricycle supervision for each. how to apply for a tricycle franchise. Just like the requirements, there are no standardized instructions on where. Present the motorized or electric tricycle unit to traffic management group (tmg) at local municipal or city hall ; the. Tricycle Franchise Requirements.
From www.scribd.com
0852014 Tricycle Franchises PDF Tricycle Franchise Requirements brief description of the service franchise owners are required to secure yearly a renewal of tricycle supervision for each. Get application form and list of requirements at window 9, of the office of the municipal treasurer. the mtop, otherwise known by motorcycle drivers as the motorized tricycle operators permit is a very valuable document for qualifying to use. Tricycle Franchise Requirements.
From www.panaynews.net
Kalibo opens tricycle franchise renewal Tricycle Franchise Requirements how to apply for a tricycle franchise. the franchising and operation of tricycles shall be controlled and regulated with the end in view of effectively managing these. go to local franchising and regulatory board office nearest you and present the list of requirements ; the mtop, otherwise known by motorcycle drivers as the motorized tricycle operators. Tricycle Franchise Requirements.