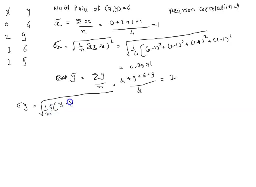
Pearson Correlation Between X And Y . The pearson correlation coefficient (r) is the most common way of measuring a linear correlation. Calculate the mean of x and y. The pearson correlation coefficient, or pearson’s r, quantifies the strength and direction of a linear relationship between two. In other words, it reflects how similar the. The spearman coefficient is closely related to the pearson coefficient.
from www.thoughtco.com
In other words, it reflects how similar the. The spearman coefficient is closely related to the pearson coefficient. The pearson correlation coefficient (r) is the most common way of measuring a linear correlation. The pearson correlation coefficient, or pearson’s r, quantifies the strength and direction of a linear relationship between two. Calculate the mean of x and y.
How to Calculate the Coefficient of Correlation
Pearson Correlation Between X And Y The pearson correlation coefficient (r) is the most common way of measuring a linear correlation. The pearson correlation coefficient (r) is the most common way of measuring a linear correlation. Calculate the mean of x and y. In other words, it reflects how similar the. The pearson correlation coefficient, or pearson’s r, quantifies the strength and direction of a linear relationship between two. The spearman coefficient is closely related to the pearson coefficient.
From www.youtube.com
Correlation Coefficient YouTube Pearson Correlation Between X And Y The pearson correlation coefficient, or pearson’s r, quantifies the strength and direction of a linear relationship between two. Calculate the mean of x and y. The pearson correlation coefficient (r) is the most common way of measuring a linear correlation. The spearman coefficient is closely related to the pearson coefficient. In other words, it reflects how similar the. Pearson Correlation Between X And Y.
From www.numerade.com
SOLVED given y=x^2 what is the pearson correlation between x and y is Pearson Correlation Between X And Y In other words, it reflects how similar the. The pearson correlation coefficient, or pearson’s r, quantifies the strength and direction of a linear relationship between two. Calculate the mean of x and y. The spearman coefficient is closely related to the pearson coefficient. The pearson correlation coefficient (r) is the most common way of measuring a linear correlation. Pearson Correlation Between X And Y.
From medium.com
Correlation Analysis. Data Analysis Series from Data Science… by My Pearson Correlation Between X And Y The pearson correlation coefficient, or pearson’s r, quantifies the strength and direction of a linear relationship between two. The pearson correlation coefficient (r) is the most common way of measuring a linear correlation. In other words, it reflects how similar the. The spearman coefficient is closely related to the pearson coefficient. Calculate the mean of x and y. Pearson Correlation Between X And Y.
From articles.outlier.org
Understanding the Pearson Correlation Coefficient Outlier Pearson Correlation Between X And Y Calculate the mean of x and y. In other words, it reflects how similar the. The spearman coefficient is closely related to the pearson coefficient. The pearson correlation coefficient, or pearson’s r, quantifies the strength and direction of a linear relationship between two. The pearson correlation coefficient (r) is the most common way of measuring a linear correlation. Pearson Correlation Between X And Y.
From hubpages.com
Finding the Correlation Coefficient Using Pearson Correlation and Pearson Correlation Between X And Y The spearman coefficient is closely related to the pearson coefficient. The pearson correlation coefficient (r) is the most common way of measuring a linear correlation. The pearson correlation coefficient, or pearson’s r, quantifies the strength and direction of a linear relationship between two. Calculate the mean of x and y. In other words, it reflects how similar the. Pearson Correlation Between X And Y.
From www.youtube.com
Computing Karl Pearson's Correlation Coefficient YouTube Pearson Correlation Between X And Y In other words, it reflects how similar the. The pearson correlation coefficient (r) is the most common way of measuring a linear correlation. The pearson correlation coefficient, or pearson’s r, quantifies the strength and direction of a linear relationship between two. Calculate the mean of x and y. The spearman coefficient is closely related to the pearson coefficient. Pearson Correlation Between X And Y.
From articles.outlier.org
Understanding the Pearson Correlation Coefficient Outlier Pearson Correlation Between X And Y The pearson correlation coefficient, or pearson’s r, quantifies the strength and direction of a linear relationship between two. The pearson correlation coefficient (r) is the most common way of measuring a linear correlation. Calculate the mean of x and y. In other words, it reflects how similar the. The spearman coefficient is closely related to the pearson coefficient. Pearson Correlation Between X And Y.
From www.doubtnut.com
Calculate Karl Pearson's coefficient of correlation between the values Pearson Correlation Between X And Y The pearson correlation coefficient, or pearson’s r, quantifies the strength and direction of a linear relationship between two. In other words, it reflects how similar the. The pearson correlation coefficient (r) is the most common way of measuring a linear correlation. Calculate the mean of x and y. The spearman coefficient is closely related to the pearson coefficient. Pearson Correlation Between X And Y.
From www.chegg.com
Solved Which has the strongest correlation between X and Y Pearson Correlation Between X And Y In other words, it reflects how similar the. The pearson correlation coefficient, or pearson’s r, quantifies the strength and direction of a linear relationship between two. Calculate the mean of x and y. The pearson correlation coefficient (r) is the most common way of measuring a linear correlation. The spearman coefficient is closely related to the pearson coefficient. Pearson Correlation Between X And Y.
From www.thestreet.com
What Is the Correlation Coefficient? Definition, Calculation & Example Pearson Correlation Between X And Y Calculate the mean of x and y. The pearson correlation coefficient, or pearson’s r, quantifies the strength and direction of a linear relationship between two. The spearman coefficient is closely related to the pearson coefficient. The pearson correlation coefficient (r) is the most common way of measuring a linear correlation. In other words, it reflects how similar the. Pearson Correlation Between X And Y.
From slideplayer.com
The greatest blessing in life is ppt download Pearson Correlation Between X And Y The pearson correlation coefficient, or pearson’s r, quantifies the strength and direction of a linear relationship between two. In other words, it reflects how similar the. The spearman coefficient is closely related to the pearson coefficient. The pearson correlation coefficient (r) is the most common way of measuring a linear correlation. Calculate the mean of x and y. Pearson Correlation Between X And Y.
From jaylenkruwcortez.blogspot.com
Advantages and Disadvantages of Pearson Correlation JaylenkruwCortez Pearson Correlation Between X And Y The spearman coefficient is closely related to the pearson coefficient. In other words, it reflects how similar the. The pearson correlation coefficient (r) is the most common way of measuring a linear correlation. Calculate the mean of x and y. The pearson correlation coefficient, or pearson’s r, quantifies the strength and direction of a linear relationship between two. Pearson Correlation Between X And Y.
From www.youtube.com
Pearson Correlation Explained (Inc. Test Assumptions) YouTube Pearson Correlation Between X And Y The spearman coefficient is closely related to the pearson coefficient. The pearson correlation coefficient, or pearson’s r, quantifies the strength and direction of a linear relationship between two. In other words, it reflects how similar the. The pearson correlation coefficient (r) is the most common way of measuring a linear correlation. Calculate the mean of x and y. Pearson Correlation Between X And Y.
From www.learncram.com
Correlation in a Whole Negative & Positive Correlation, Examples Pearson Correlation Between X And Y In other words, it reflects how similar the. The pearson correlation coefficient, or pearson’s r, quantifies the strength and direction of a linear relationship between two. Calculate the mean of x and y. The pearson correlation coefficient (r) is the most common way of measuring a linear correlation. The spearman coefficient is closely related to the pearson coefficient. Pearson Correlation Between X And Y.
From www.thoughtco.com
How to Calculate the Coefficient of Correlation Pearson Correlation Between X And Y The pearson correlation coefficient, or pearson’s r, quantifies the strength and direction of a linear relationship between two. The spearman coefficient is closely related to the pearson coefficient. In other words, it reflects how similar the. The pearson correlation coefficient (r) is the most common way of measuring a linear correlation. Calculate the mean of x and y. Pearson Correlation Between X And Y.
From livedu.in
Karl Pearson’s Coefficient Method (Correlation) Livedu Pearson Correlation Between X And Y Calculate the mean of x and y. In other words, it reflects how similar the. The pearson correlation coefficient (r) is the most common way of measuring a linear correlation. The pearson correlation coefficient, or pearson’s r, quantifies the strength and direction of a linear relationship between two. The spearman coefficient is closely related to the pearson coefficient. Pearson Correlation Between X And Y.
From www.educba.com
Pearson Correlation Coefficient Formula Examples & Calculator Pearson Correlation Between X And Y The spearman coefficient is closely related to the pearson coefficient. Calculate the mean of x and y. The pearson correlation coefficient, or pearson’s r, quantifies the strength and direction of a linear relationship between two. The pearson correlation coefficient (r) is the most common way of measuring a linear correlation. In other words, it reflects how similar the. Pearson Correlation Between X And Y.
From www.scribbr.com
Pearson Correlation Coefficient (r) Guide & Examples Pearson Correlation Between X And Y The pearson correlation coefficient (r) is the most common way of measuring a linear correlation. In other words, it reflects how similar the. Calculate the mean of x and y. The spearman coefficient is closely related to the pearson coefficient. The pearson correlation coefficient, or pearson’s r, quantifies the strength and direction of a linear relationship between two. Pearson Correlation Between X And Y.
From www.cuemath.com
Correlation Formula Learn the correlation formula Cuemath Pearson Correlation Between X And Y In other words, it reflects how similar the. The spearman coefficient is closely related to the pearson coefficient. The pearson correlation coefficient (r) is the most common way of measuring a linear correlation. Calculate the mean of x and y. The pearson correlation coefficient, or pearson’s r, quantifies the strength and direction of a linear relationship between two. Pearson Correlation Between X And Y.
From courses.lumenlearning.com
Chapter 7 Correlation and Simple Linear Regression Natural Resources Pearson Correlation Between X And Y The spearman coefficient is closely related to the pearson coefficient. The pearson correlation coefficient (r) is the most common way of measuring a linear correlation. Calculate the mean of x and y. The pearson correlation coefficient, or pearson’s r, quantifies the strength and direction of a linear relationship between two. In other words, it reflects how similar the. Pearson Correlation Between X And Y.
From www.chegg.com
Solved Let X and Y be two random variables. The correlation Pearson Correlation Between X And Y In other words, it reflects how similar the. Calculate the mean of x and y. The spearman coefficient is closely related to the pearson coefficient. The pearson correlation coefficient (r) is the most common way of measuring a linear correlation. The pearson correlation coefficient, or pearson’s r, quantifies the strength and direction of a linear relationship between two. Pearson Correlation Between X And Y.
From www.freecodecamp.org
What is a Correlation Coefficient? The r Value in Statistics Explained Pearson Correlation Between X And Y The spearman coefficient is closely related to the pearson coefficient. Calculate the mean of x and y. In other words, it reflects how similar the. The pearson correlation coefficient, or pearson’s r, quantifies the strength and direction of a linear relationship between two. The pearson correlation coefficient (r) is the most common way of measuring a linear correlation. Pearson Correlation Between X And Y.
From www.gigacalculator.com
Correlation Coefficient Calculator Pearson Correlation Between X And Y The pearson correlation coefficient (r) is the most common way of measuring a linear correlation. Calculate the mean of x and y. The spearman coefficient is closely related to the pearson coefficient. The pearson correlation coefficient, or pearson’s r, quantifies the strength and direction of a linear relationship between two. In other words, it reflects how similar the. Pearson Correlation Between X And Y.
From www.youtube.com
Find the formula for relationship between x and y YouTube Pearson Correlation Between X And Y The pearson correlation coefficient, or pearson’s r, quantifies the strength and direction of a linear relationship between two. The pearson correlation coefficient (r) is the most common way of measuring a linear correlation. The spearman coefficient is closely related to the pearson coefficient. Calculate the mean of x and y. In other words, it reflects how similar the. Pearson Correlation Between X And Y.
From 2012books.lardbucket.org
The Linear Correlation Coefficient Pearson Correlation Between X And Y Calculate the mean of x and y. The pearson correlation coefficient (r) is the most common way of measuring a linear correlation. In other words, it reflects how similar the. The spearman coefficient is closely related to the pearson coefficient. The pearson correlation coefficient, or pearson’s r, quantifies the strength and direction of a linear relationship between two. Pearson Correlation Between X And Y.
From www.numerade.com
SOLVED For the following scores Participant X Compute the Pearson Pearson Correlation Between X And Y The spearman coefficient is closely related to the pearson coefficient. In other words, it reflects how similar the. The pearson correlation coefficient (r) is the most common way of measuring a linear correlation. The pearson correlation coefficient, or pearson’s r, quantifies the strength and direction of a linear relationship between two. Calculate the mean of x and y. Pearson Correlation Between X And Y.
From www.youtube.com
Interpreting the Correlation Coefficient YouTube Pearson Correlation Between X And Y The pearson correlation coefficient, or pearson’s r, quantifies the strength and direction of a linear relationship between two. In other words, it reflects how similar the. The spearman coefficient is closely related to the pearson coefficient. Calculate the mean of x and y. The pearson correlation coefficient (r) is the most common way of measuring a linear correlation. Pearson Correlation Between X And Y.
From www.questionpro.com
Pearson Correlation Coefficient Calculation + Examples Pearson Correlation Between X And Y The spearman coefficient is closely related to the pearson coefficient. The pearson correlation coefficient (r) is the most common way of measuring a linear correlation. The pearson correlation coefficient, or pearson’s r, quantifies the strength and direction of a linear relationship between two. In other words, it reflects how similar the. Calculate the mean of x and y. Pearson Correlation Between X And Y.
From www.youtube.com
Karl Pearson Coefficient Of Correlation YouTube Pearson Correlation Between X And Y The pearson correlation coefficient, or pearson’s r, quantifies the strength and direction of a linear relationship between two. The pearson correlation coefficient (r) is the most common way of measuring a linear correlation. The spearman coefficient is closely related to the pearson coefficient. In other words, it reflects how similar the. Calculate the mean of x and y. Pearson Correlation Between X And Y.
From www.researchgate.net
Scatter plot of Pearson’s correlation coefficient xaxis stroke Pearson Correlation Between X And Y The spearman coefficient is closely related to the pearson coefficient. Calculate the mean of x and y. The pearson correlation coefficient (r) is the most common way of measuring a linear correlation. In other words, it reflects how similar the. The pearson correlation coefficient, or pearson’s r, quantifies the strength and direction of a linear relationship between two. Pearson Correlation Between X And Y.
From towardsdatascience.com
What are Covariance and Correlation coefficients and their significance? Pearson Correlation Between X And Y In other words, it reflects how similar the. The pearson correlation coefficient (r) is the most common way of measuring a linear correlation. The pearson correlation coefficient, or pearson’s r, quantifies the strength and direction of a linear relationship between two. Calculate the mean of x and y. The spearman coefficient is closely related to the pearson coefficient. Pearson Correlation Between X And Y.
From www.statology.org
Pearson Correlation Coefficient Statology Pearson Correlation Between X And Y Calculate the mean of x and y. In other words, it reflects how similar the. The pearson correlation coefficient, or pearson’s r, quantifies the strength and direction of a linear relationship between two. The spearman coefficient is closely related to the pearson coefficient. The pearson correlation coefficient (r) is the most common way of measuring a linear correlation. Pearson Correlation Between X And Y.
From klagkiret.blob.core.windows.net
Pearson Correlation Between Categorical And Continuous Variables at Pearson Correlation Between X And Y The pearson correlation coefficient (r) is the most common way of measuring a linear correlation. The pearson correlation coefficient, or pearson’s r, quantifies the strength and direction of a linear relationship between two. Calculate the mean of x and y. The spearman coefficient is closely related to the pearson coefficient. In other words, it reflects how similar the. Pearson Correlation Between X And Y.
From www.statology.org
How to Calculate a Pearson Correlation Coefficient by Hand Pearson Correlation Between X And Y Calculate the mean of x and y. The pearson correlation coefficient (r) is the most common way of measuring a linear correlation. The spearman coefficient is closely related to the pearson coefficient. The pearson correlation coefficient, or pearson’s r, quantifies the strength and direction of a linear relationship between two. In other words, it reflects how similar the. Pearson Correlation Between X And Y.
From askfilo.com
16. Calculate Karl Pearson's correlation coefficient between X and Y from.. Pearson Correlation Between X And Y The pearson correlation coefficient (r) is the most common way of measuring a linear correlation. The spearman coefficient is closely related to the pearson coefficient. In other words, it reflects how similar the. Calculate the mean of x and y. The pearson correlation coefficient, or pearson’s r, quantifies the strength and direction of a linear relationship between two. Pearson Correlation Between X And Y.