How To Calculate Buoyant String Weight . buoyancy factor formula. Buoyed weight = [weight of. Let’s learn how do you calculate buoyancy weight? This method does not consider the hydraulic. to determine the weight of the drill string in drilling fluid (often called buoyed weight), we multiply the air weight of the drill string by the buoyancy. buoyancy factor is the factor that is used to compensate loss of weight due to immersion in drilling fluid and you can find more information from. Acronyms used in the following formulas are defined in the wellsharp acronyms document,. Three different units are used to calculate the buoyancy. the buoyed weight of a casing string can be calculated using the following formula: I = maximum hole angle at bha, degrees. bf= buoyancy factor, wc= drill collar weight in air, lb/ft.
from educationdbcywarchenv0.z13.web.core.windows.net
buoyancy factor formula. bf= buoyancy factor, wc= drill collar weight in air, lb/ft. This method does not consider the hydraulic. buoyancy factor is the factor that is used to compensate loss of weight due to immersion in drilling fluid and you can find more information from. Acronyms used in the following formulas are defined in the wellsharp acronyms document,. Buoyed weight = [weight of. I = maximum hole angle at bha, degrees. Let’s learn how do you calculate buoyancy weight? to determine the weight of the drill string in drilling fluid (often called buoyed weight), we multiply the air weight of the drill string by the buoyancy. Three different units are used to calculate the buoyancy.
How To Calculate Buoyancy
How To Calculate Buoyant String Weight buoyancy factor formula. buoyancy factor formula. buoyancy factor is the factor that is used to compensate loss of weight due to immersion in drilling fluid and you can find more information from. bf= buoyancy factor, wc= drill collar weight in air, lb/ft. the buoyed weight of a casing string can be calculated using the following formula: Let’s learn how do you calculate buoyancy weight? This method does not consider the hydraulic. Acronyms used in the following formulas are defined in the wellsharp acronyms document,. Buoyed weight = [weight of. to determine the weight of the drill string in drilling fluid (often called buoyed weight), we multiply the air weight of the drill string by the buoyancy. I = maximum hole angle at bha, degrees. Three different units are used to calculate the buoyancy.
From www.numerade.com
Calculating Buoyancy Consider an object hanging from a force meter as How To Calculate Buoyant String Weight to determine the weight of the drill string in drilling fluid (often called buoyed weight), we multiply the air weight of the drill string by the buoyancy. the buoyed weight of a casing string can be calculated using the following formula: Let’s learn how do you calculate buoyancy weight? Buoyed weight = [weight of. buoyancy factor formula.. How To Calculate Buoyant String Weight.
From www.artofit.org
How to calculate buoyancy of a pontoon boat Artofit How To Calculate Buoyant String Weight Buoyed weight = [weight of. the buoyed weight of a casing string can be calculated using the following formula: to determine the weight of the drill string in drilling fluid (often called buoyed weight), we multiply the air weight of the drill string by the buoyancy. Let’s learn how do you calculate buoyancy weight? This method does not. How To Calculate Buoyant String Weight.
From www.scribd.com
How To Calculate Buoyancy 12 Steps (With Pictures) Wikihow PDF How To Calculate Buoyant String Weight Buoyed weight = [weight of. the buoyed weight of a casing string can be calculated using the following formula: Three different units are used to calculate the buoyancy. Acronyms used in the following formulas are defined in the wellsharp acronyms document,. buoyancy factor formula. buoyancy factor is the factor that is used to compensate loss of weight. How To Calculate Buoyant String Weight.
From www.numerade.com
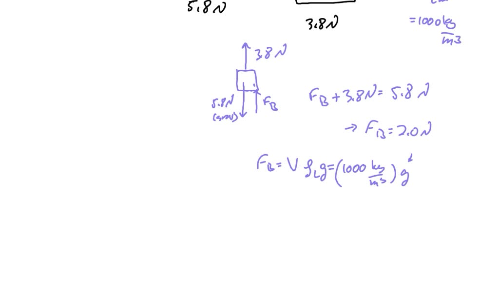
SOLVED How are the tension in the string, buoyant force, and weight of How To Calculate Buoyant String Weight buoyancy factor is the factor that is used to compensate loss of weight due to immersion in drilling fluid and you can find more information from. Three different units are used to calculate the buoyancy. to determine the weight of the drill string in drilling fluid (often called buoyed weight), we multiply the air weight of the drill. How To Calculate Buoyant String Weight.
From www.youtube.com
How to calculate buoyant force? YouTube How To Calculate Buoyant String Weight bf= buoyancy factor, wc= drill collar weight in air, lb/ft. Let’s learn how do you calculate buoyancy weight? Buoyed weight = [weight of. This method does not consider the hydraulic. Acronyms used in the following formulas are defined in the wellsharp acronyms document,. buoyancy factor is the factor that is used to compensate loss of weight due to. How To Calculate Buoyant String Weight.
From www.slideserve.com
PPT Drilling Calculations Course PowerPoint Presentation, free How To Calculate Buoyant String Weight Three different units are used to calculate the buoyancy. Buoyed weight = [weight of. This method does not consider the hydraulic. Let’s learn how do you calculate buoyancy weight? Acronyms used in the following formulas are defined in the wellsharp acronyms document,. buoyancy factor formula. bf= buoyancy factor, wc= drill collar weight in air, lb/ft. to determine. How To Calculate Buoyant String Weight.
From www.calculatored.com
Buoyancy Calculator How To Calculate Buoyant String Weight Let’s learn how do you calculate buoyancy weight? Acronyms used in the following formulas are defined in the wellsharp acronyms document,. the buoyed weight of a casing string can be calculated using the following formula: I = maximum hole angle at bha, degrees. Buoyed weight = [weight of. bf= buoyancy factor, wc= drill collar weight in air, lb/ft.. How To Calculate Buoyant String Weight.
From physicscalc.com
Buoyancy Calculator How to Calculate Buoyancy Force of an Object How To Calculate Buoyant String Weight bf= buoyancy factor, wc= drill collar weight in air, lb/ft. This method does not consider the hydraulic. Acronyms used in the following formulas are defined in the wellsharp acronyms document,. the buoyed weight of a casing string can be calculated using the following formula: Buoyed weight = [weight of. to determine the weight of the drill string. How To Calculate Buoyant String Weight.
From svenbethany.blogspot.com
5+ How To Calculate Buoyancy SvenBethany How To Calculate Buoyant String Weight the buoyed weight of a casing string can be calculated using the following formula: Buoyed weight = [weight of. Three different units are used to calculate the buoyancy. Let’s learn how do you calculate buoyancy weight? buoyancy factor is the factor that is used to compensate loss of weight due to immersion in drilling fluid and you can. How To Calculate Buoyant String Weight.
From educationdbcywarchenv0.z13.web.core.windows.net
How To Calculate Buoyancy How To Calculate Buoyant String Weight Three different units are used to calculate the buoyancy. This method does not consider the hydraulic. buoyancy factor is the factor that is used to compensate loss of weight due to immersion in drilling fluid and you can find more information from. Acronyms used in the following formulas are defined in the wellsharp acronyms document,. bf= buoyancy factor,. How To Calculate Buoyant String Weight.
From www.wikihow.com
3 Ways to Calculate Buoyancy wikiHow How To Calculate Buoyant String Weight Three different units are used to calculate the buoyancy. bf= buoyancy factor, wc= drill collar weight in air, lb/ft. Buoyed weight = [weight of. buoyancy factor formula. buoyancy factor is the factor that is used to compensate loss of weight due to immersion in drilling fluid and you can find more information from. Let’s learn how do. How To Calculate Buoyant String Weight.
From engineerexcel.com
How to Calculate Buoyant Force EngineerExcel How To Calculate Buoyant String Weight This method does not consider the hydraulic. bf= buoyancy factor, wc= drill collar weight in air, lb/ft. Acronyms used in the following formulas are defined in the wellsharp acronyms document,. Let’s learn how do you calculate buoyancy weight? the buoyed weight of a casing string can be calculated using the following formula: Three different units are used to. How To Calculate Buoyant String Weight.
From ar.inspiredpencil.com
Buoyancy Equation How To Calculate Buoyant String Weight Three different units are used to calculate the buoyancy. bf= buoyancy factor, wc= drill collar weight in air, lb/ft. to determine the weight of the drill string in drilling fluid (often called buoyed weight), we multiply the air weight of the drill string by the buoyancy. Let’s learn how do you calculate buoyancy weight? buoyancy factor is. How To Calculate Buoyant String Weight.
From fyonqpkqr.blob.core.windows.net
How To Calculate Buoyancy Class 9 at Nancy Surratt blog How To Calculate Buoyant String Weight I = maximum hole angle at bha, degrees. the buoyed weight of a casing string can be calculated using the following formula: Buoyed weight = [weight of. buoyancy factor is the factor that is used to compensate loss of weight due to immersion in drilling fluid and you can find more information from. to determine the weight. How To Calculate Buoyant String Weight.
From physicscalculatorpro.com
Free Online Buoyancy Calculator How to Calculate Buoyancy How To Calculate Buoyant String Weight buoyancy factor formula. I = maximum hole angle at bha, degrees. to determine the weight of the drill string in drilling fluid (often called buoyed weight), we multiply the air weight of the drill string by the buoyancy. the buoyed weight of a casing string can be calculated using the following formula: Acronyms used in the following. How To Calculate Buoyant String Weight.
From engineerexcel.com
How to Calculate Buoyant Force EngineerExcel How To Calculate Buoyant String Weight Acronyms used in the following formulas are defined in the wellsharp acronyms document,. Three different units are used to calculate the buoyancy. to determine the weight of the drill string in drilling fluid (often called buoyed weight), we multiply the air weight of the drill string by the buoyancy. buoyancy factor is the factor that is used to. How To Calculate Buoyant String Weight.
From fyonqpkqr.blob.core.windows.net
How To Calculate Buoyancy Class 9 at Nancy Surratt blog How To Calculate Buoyant String Weight Three different units are used to calculate the buoyancy. buoyancy factor is the factor that is used to compensate loss of weight due to immersion in drilling fluid and you can find more information from. This method does not consider the hydraulic. I = maximum hole angle at bha, degrees. the buoyed weight of a casing string can. How To Calculate Buoyant String Weight.
From www.youtube.com
Buoyancy and String Tension Example [Physics of Fluid Mechanics 29 How To Calculate Buoyant String Weight Let’s learn how do you calculate buoyancy weight? Three different units are used to calculate the buoyancy. the buoyed weight of a casing string can be calculated using the following formula: bf= buoyancy factor, wc= drill collar weight in air, lb/ft. Acronyms used in the following formulas are defined in the wellsharp acronyms document,. Buoyed weight = [weight. How To Calculate Buoyant String Weight.
From owlcation.com
Archimedes' Principle, Buoyancy Experiments and Flotation Force Owlcation How To Calculate Buoyant String Weight to determine the weight of the drill string in drilling fluid (often called buoyed weight), we multiply the air weight of the drill string by the buoyancy. Buoyed weight = [weight of. I = maximum hole angle at bha, degrees. Three different units are used to calculate the buoyancy. buoyancy factor formula. buoyancy factor is the factor. How To Calculate Buoyant String Weight.
From owlcation.com
Archimedes' Principle and Understanding Buoyant Force Owlcation How To Calculate Buoyant String Weight the buoyed weight of a casing string can be calculated using the following formula: Acronyms used in the following formulas are defined in the wellsharp acronyms document,. buoyancy factor formula. Three different units are used to calculate the buoyancy. Let’s learn how do you calculate buoyancy weight? This method does not consider the hydraulic. I = maximum hole. How To Calculate Buoyant String Weight.
From mungfali.com
Examples Of Buoyant Force How To Calculate Buoyant String Weight buoyancy factor formula. bf= buoyancy factor, wc= drill collar weight in air, lb/ft. the buoyed weight of a casing string can be calculated using the following formula: Acronyms used in the following formulas are defined in the wellsharp acronyms document,. I = maximum hole angle at bha, degrees. buoyancy factor is the factor that is used. How To Calculate Buoyant String Weight.
From exyhcmrdm.blob.core.windows.net
How To Calculate Buoyancy With Example at Melody Mehl blog How To Calculate Buoyant String Weight I = maximum hole angle at bha, degrees. bf= buoyancy factor, wc= drill collar weight in air, lb/ft. to determine the weight of the drill string in drilling fluid (often called buoyed weight), we multiply the air weight of the drill string by the buoyancy. Buoyed weight = [weight of. the buoyed weight of a casing string. How To Calculate Buoyant String Weight.
From svenbethany.blogspot.com
5+ How To Calculate Buoyancy SvenBethany How To Calculate Buoyant String Weight Let’s learn how do you calculate buoyancy weight? to determine the weight of the drill string in drilling fluid (often called buoyed weight), we multiply the air weight of the drill string by the buoyancy. buoyancy factor formula. Acronyms used in the following formulas are defined in the wellsharp acronyms document,. the buoyed weight of a casing. How To Calculate Buoyant String Weight.
From ar.inspiredpencil.com
Buoyancy Equation How To Calculate Buoyant String Weight This method does not consider the hydraulic. Let’s learn how do you calculate buoyancy weight? Acronyms used in the following formulas are defined in the wellsharp acronyms document,. I = maximum hole angle at bha, degrees. Three different units are used to calculate the buoyancy. buoyancy factor formula. bf= buoyancy factor, wc= drill collar weight in air, lb/ft.. How To Calculate Buoyant String Weight.
From physicscalculations.com
How to Calculate Buoyant Force How To Calculate Buoyant String Weight I = maximum hole angle at bha, degrees. Buoyed weight = [weight of. Acronyms used in the following formulas are defined in the wellsharp acronyms document,. buoyancy factor formula. buoyancy factor is the factor that is used to compensate loss of weight due to immersion in drilling fluid and you can find more information from. to determine. How To Calculate Buoyant String Weight.
From ar.inspiredpencil.com
Buoyant Force Equation How To Calculate Buoyant String Weight This method does not consider the hydraulic. to determine the weight of the drill string in drilling fluid (often called buoyed weight), we multiply the air weight of the drill string by the buoyancy. Acronyms used in the following formulas are defined in the wellsharp acronyms document,. buoyancy factor formula. the buoyed weight of a casing string. How To Calculate Buoyant String Weight.
From www.numerade.com
SOLVED 3) Using the calculated weight and buoyant force, calculate the How To Calculate Buoyant String Weight Acronyms used in the following formulas are defined in the wellsharp acronyms document,. bf= buoyancy factor, wc= drill collar weight in air, lb/ft. Three different units are used to calculate the buoyancy. This method does not consider the hydraulic. to determine the weight of the drill string in drilling fluid (often called buoyed weight), we multiply the air. How To Calculate Buoyant String Weight.
From www.youtube.com
Archimedes' Principle and Buoyancy (Fluid Mechanics Lesson 2) YouTube How To Calculate Buoyant String Weight to determine the weight of the drill string in drilling fluid (often called buoyed weight), we multiply the air weight of the drill string by the buoyancy. buoyancy factor formula. I = maximum hole angle at bha, degrees. This method does not consider the hydraulic. Three different units are used to calculate the buoyancy. Let’s learn how do. How To Calculate Buoyant String Weight.
From studymarxianism.z21.web.core.windows.net
How To Figure Buoyancy How To Calculate Buoyant String Weight the buoyed weight of a casing string can be calculated using the following formula: Buoyed weight = [weight of. to determine the weight of the drill string in drilling fluid (often called buoyed weight), we multiply the air weight of the drill string by the buoyancy. Acronyms used in the following formulas are defined in the wellsharp acronyms. How To Calculate Buoyant String Weight.
From www.glen-l.com
Buoyancy and How To Balance Your Hull GlenL Marine How To Calculate Buoyant String Weight Three different units are used to calculate the buoyancy. buoyancy factor is the factor that is used to compensate loss of weight due to immersion in drilling fluid and you can find more information from. buoyancy factor formula. I = maximum hole angle at bha, degrees. bf= buoyancy factor, wc= drill collar weight in air, lb/ft. . How To Calculate Buoyant String Weight.
From www.youtube.com
How To Calculate The Buoyant Force & Load Mass of a Helium Balloon How To Calculate Buoyant String Weight buoyancy factor is the factor that is used to compensate loss of weight due to immersion in drilling fluid and you can find more information from. bf= buoyancy factor, wc= drill collar weight in air, lb/ft. Let’s learn how do you calculate buoyancy weight? I = maximum hole angle at bha, degrees. This method does not consider the. How To Calculate Buoyant String Weight.
From slidetodoc.com
Buoyancy Pressure Physics of Fluids Buoyant Force the How To Calculate Buoyant String Weight Acronyms used in the following formulas are defined in the wellsharp acronyms document,. bf= buoyancy factor, wc= drill collar weight in air, lb/ft. the buoyed weight of a casing string can be calculated using the following formula: buoyancy factor is the factor that is used to compensate loss of weight due to immersion in drilling fluid and. How To Calculate Buoyant String Weight.
From www.youtube.com
Buoyancy vs. Weight (Interactive) YouTube How To Calculate Buoyant String Weight the buoyed weight of a casing string can be calculated using the following formula: I = maximum hole angle at bha, degrees. Buoyed weight = [weight of. to determine the weight of the drill string in drilling fluid (often called buoyed weight), we multiply the air weight of the drill string by the buoyancy. Three different units are. How To Calculate Buoyant String Weight.
From abookshelfcorner.blogspot.com
How To Calculate Buoyancy How To Calculate Buoyant String Weight bf= buoyancy factor, wc= drill collar weight in air, lb/ft. to determine the weight of the drill string in drilling fluid (often called buoyed weight), we multiply the air weight of the drill string by the buoyancy. the buoyed weight of a casing string can be calculated using the following formula: Three different units are used to. How To Calculate Buoyant String Weight.
From quizmischances.z4.web.core.windows.net
How To Calculate Buoyancy How To Calculate Buoyant String Weight buoyancy factor is the factor that is used to compensate loss of weight due to immersion in drilling fluid and you can find more information from. Three different units are used to calculate the buoyancy. Acronyms used in the following formulas are defined in the wellsharp acronyms document,. Buoyed weight = [weight of. the buoyed weight of a. How To Calculate Buoyant String Weight.