What Genre Is Status Quo . The album’s release was handled by vertigo in the uk and a&m in the usa, with the band themselves taking on the role of producers. Explore status quo's discography including top tracks, albums, and reviews. Learn all about status quo on allmusic. Albums include piledriver, quo, and hello!. Whatever you want is a rock song by the british rock band status quo. Music profile for status quo, formed 1967. Quo was recorded in the spring of 1974 at ibc studios in london, encapsulating the hard rock and heavy metal genres within a 36:54 runtime. Boogie rock, hard rock, pop rock. Status quo are a british boogie rock band founded by francis rossi and alan lancaster, with a career spanning more than 50 years. Written by rick parfitt and andy bown, [4] it was released on the album of. Status quo discography and songs:
from www.discogs.com
Whatever you want is a rock song by the british rock band status quo. Explore status quo's discography including top tracks, albums, and reviews. Music profile for status quo, formed 1967. Boogie rock, hard rock, pop rock. Written by rick parfitt and andy bown, [4] it was released on the album of. Albums include piledriver, quo, and hello!. Status quo discography and songs: Status quo are a british boogie rock band founded by francis rossi and alan lancaster, with a career spanning more than 50 years. The album’s release was handled by vertigo in the uk and a&m in the usa, with the band themselves taking on the role of producers. Learn all about status quo on allmusic.
Status Quo Classic Releases, Reviews, Credits Discogs
What Genre Is Status Quo Music profile for status quo, formed 1967. Music profile for status quo, formed 1967. Quo was recorded in the spring of 1974 at ibc studios in london, encapsulating the hard rock and heavy metal genres within a 36:54 runtime. Whatever you want is a rock song by the british rock band status quo. Explore status quo's discography including top tracks, albums, and reviews. Boogie rock, hard rock, pop rock. Albums include piledriver, quo, and hello!. Status quo are a british boogie rock band founded by francis rossi and alan lancaster, with a career spanning more than 50 years. The album’s release was handled by vertigo in the uk and a&m in the usa, with the band themselves taking on the role of producers. Status quo discography and songs: Learn all about status quo on allmusic. Written by rick parfitt and andy bown, [4] it was released on the album of.
From musiczone.ie
Status Quo Official Archive Series Vol. 2 Live In London (Limited 3 What Genre Is Status Quo Albums include piledriver, quo, and hello!. Music profile for status quo, formed 1967. Boogie rock, hard rock, pop rock. Explore status quo's discography including top tracks, albums, and reviews. The album’s release was handled by vertigo in the uk and a&m in the usa, with the band themselves taking on the role of producers. Status quo are a british boogie. What Genre Is Status Quo.
From www.etsy.com
Status Quo CD Collection Album the Hitmachine Genre Rock Gifts Etsy What Genre Is Status Quo Albums include piledriver, quo, and hello!. Whatever you want is a rock song by the british rock band status quo. Explore status quo's discography including top tracks, albums, and reviews. Boogie rock, hard rock, pop rock. Status quo are a british boogie rock band founded by francis rossi and alan lancaster, with a career spanning more than 50 years. Quo. What Genre Is Status Quo.
From www.slideserve.com
PPT Genre Films and the Status Quo PowerPoint Presentation, free What Genre Is Status Quo Boogie rock, hard rock, pop rock. The album’s release was handled by vertigo in the uk and a&m in the usa, with the band themselves taking on the role of producers. Learn all about status quo on allmusic. Status quo are a british boogie rock band founded by francis rossi and alan lancaster, with a career spanning more than 50. What Genre Is Status Quo.
From www.pinterest.com
Status Quo Whatever You Want (Pro Sound) YouTube in 2022 Status What Genre Is Status Quo Quo was recorded in the spring of 1974 at ibc studios in london, encapsulating the hard rock and heavy metal genres within a 36:54 runtime. Music profile for status quo, formed 1967. Learn all about status quo on allmusic. Status quo are a british boogie rock band founded by francis rossi and alan lancaster, with a career spanning more than. What Genre Is Status Quo.
From slidetodoc.com
Genre Films and the Status Quo By Judith What Genre Is Status Quo Quo was recorded in the spring of 1974 at ibc studios in london, encapsulating the hard rock and heavy metal genres within a 36:54 runtime. Status quo discography and songs: The album’s release was handled by vertigo in the uk and a&m in the usa, with the band themselves taking on the role of producers. Whatever you want is a. What Genre Is Status Quo.
From www.discogs.com
Status Quo 4 Original Albums (2010, Box Set) Discogs What Genre Is Status Quo The album’s release was handled by vertigo in the uk and a&m in the usa, with the band themselves taking on the role of producers. Written by rick parfitt and andy bown, [4] it was released on the album of. Status quo discography and songs: Music profile for status quo, formed 1967. Boogie rock, hard rock, pop rock. Learn all. What Genre Is Status Quo.
From www.slideserve.com
PPT Genre Films and the Status Quo PowerPoint Presentation, free What Genre Is Status Quo Written by rick parfitt and andy bown, [4] it was released on the album of. Music profile for status quo, formed 1967. Boogie rock, hard rock, pop rock. Quo was recorded in the spring of 1974 at ibc studios in london, encapsulating the hard rock and heavy metal genres within a 36:54 runtime. Explore status quo's discography including top tracks,. What Genre Is Status Quo.
From www.etsy.com
Status Quo Album If You Cant Stand the Heat Genre Rock Vinyl Etsy What Genre Is Status Quo Learn all about status quo on allmusic. Written by rick parfitt and andy bown, [4] it was released on the album of. Quo was recorded in the spring of 1974 at ibc studios in london, encapsulating the hard rock and heavy metal genres within a 36:54 runtime. Status quo are a british boogie rock band founded by francis rossi and. What Genre Is Status Quo.
From www.discogs.com
Status Quo Famous In The Last Century (CD, Album) Discogs What Genre Is Status Quo Written by rick parfitt and andy bown, [4] it was released on the album of. Status quo are a british boogie rock band founded by francis rossi and alan lancaster, with a career spanning more than 50 years. Albums include piledriver, quo, and hello!. Boogie rock, hard rock, pop rock. The album’s release was handled by vertigo in the uk. What Genre Is Status Quo.
From nl.pinterest.com
Status Quo Status quo live, Full films, Status quo What Genre Is Status Quo Status quo discography and songs: Explore status quo's discography including top tracks, albums, and reviews. Albums include piledriver, quo, and hello!. Written by rick parfitt and andy bown, [4] it was released on the album of. Boogie rock, hard rock, pop rock. Whatever you want is a rock song by the british rock band status quo. Learn all about status. What Genre Is Status Quo.
From www.mediamarkt.de
Status Quo Status Quo Aquostic IIOne More For The Road (CD) Rock What Genre Is Status Quo Learn all about status quo on allmusic. Boogie rock, hard rock, pop rock. Whatever you want is a rock song by the british rock band status quo. Status quo discography and songs: Status quo are a british boogie rock band founded by francis rossi and alan lancaster, with a career spanning more than 50 years. Albums include piledriver, quo, and. What Genre Is Status Quo.
From www.discogs.com
Status Quo 20 Greatest Hits (1989, Vinyl) Discogs What Genre Is Status Quo Albums include piledriver, quo, and hello!. Whatever you want is a rock song by the british rock band status quo. The album’s release was handled by vertigo in the uk and a&m in the usa, with the band themselves taking on the role of producers. Written by rick parfitt and andy bown, [4] it was released on the album of.. What Genre Is Status Quo.
From www.discogs.com
Status Quo Whatever You Want, The Essential (2016, CD) Discogs What Genre Is Status Quo Albums include piledriver, quo, and hello!. Quo was recorded in the spring of 1974 at ibc studios in london, encapsulating the hard rock and heavy metal genres within a 36:54 runtime. Boogie rock, hard rock, pop rock. The album’s release was handled by vertigo in the uk and a&m in the usa, with the band themselves taking on the role. What Genre Is Status Quo.
From www.discogs.com
Status Quo The Very Best Of Status Quo (2007, CD) Discogs What Genre Is Status Quo The album’s release was handled by vertigo in the uk and a&m in the usa, with the band themselves taking on the role of producers. Boogie rock, hard rock, pop rock. Explore status quo's discography including top tracks, albums, and reviews. Written by rick parfitt and andy bown, [4] it was released on the album of. Albums include piledriver, quo,. What Genre Is Status Quo.
From allabouttherock.co.uk
Status Quo 'Official Archive Series' 'Vol. 2 Live In London' released What Genre Is Status Quo Albums include piledriver, quo, and hello!. Explore status quo's discography including top tracks, albums, and reviews. Whatever you want is a rock song by the british rock band status quo. The album’s release was handled by vertigo in the uk and a&m in the usa, with the band themselves taking on the role of producers. Written by rick parfitt and. What Genre Is Status Quo.
From www.cdandlp.com
The best by Status Quo, 2006, CD x 2, Brunswick News CDandLP Ref What Genre Is Status Quo Explore status quo's discography including top tracks, albums, and reviews. Whatever you want is a rock song by the british rock band status quo. Status quo discography and songs: Learn all about status quo on allmusic. Status quo are a british boogie rock band founded by francis rossi and alan lancaster, with a career spanning more than 50 years. Boogie. What Genre Is Status Quo.
From www.udiscovermusic.nl
Dit zijn de 13 meest essentiële Status Quo tracks uDiscover Music Holland What Genre Is Status Quo Quo was recorded in the spring of 1974 at ibc studios in london, encapsulating the hard rock and heavy metal genres within a 36:54 runtime. Music profile for status quo, formed 1967. Written by rick parfitt and andy bown, [4] it was released on the album of. Boogie rock, hard rock, pop rock. Status quo are a british boogie rock. What Genre Is Status Quo.
From www.studocu.com
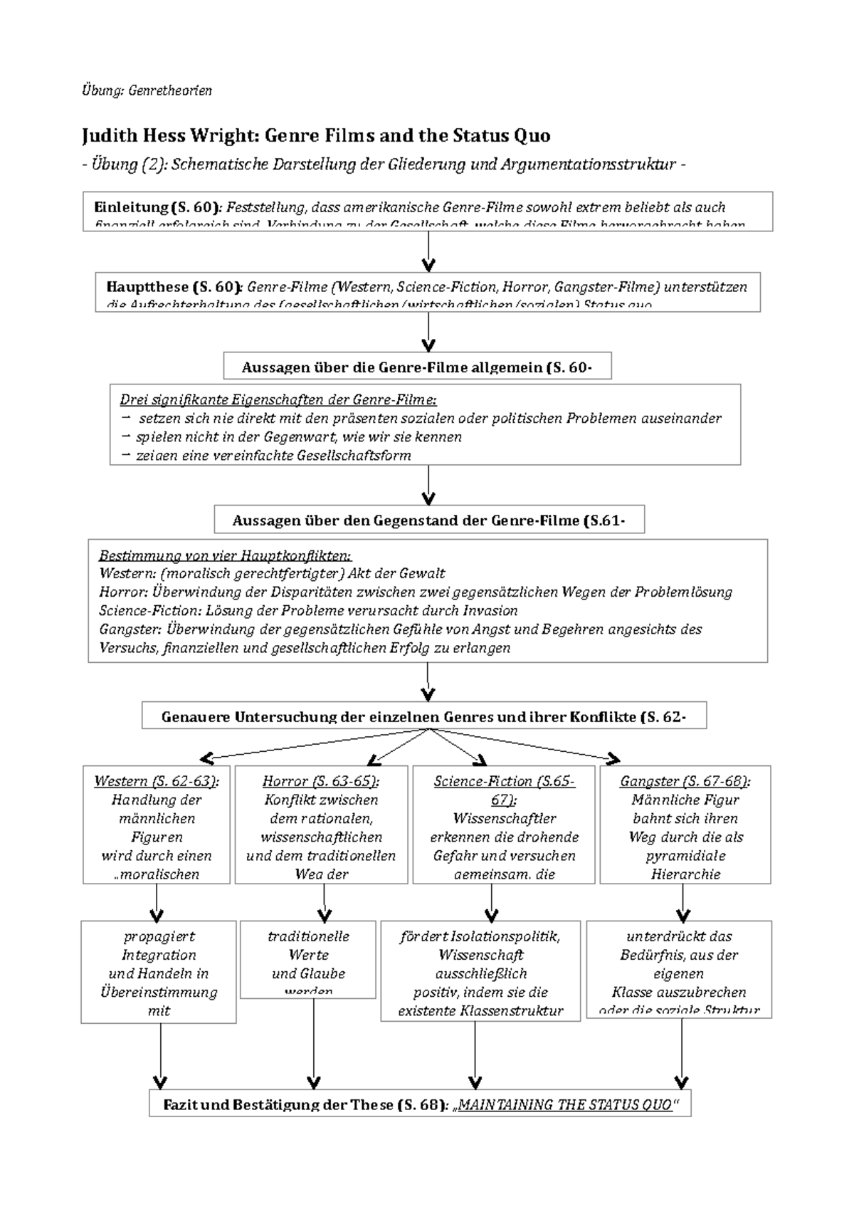
Übung 2 Genre Films and the Status Quo Übung Genretheorien Judith What Genre Is Status Quo Music profile for status quo, formed 1967. Whatever you want is a rock song by the british rock band status quo. Status quo discography and songs: Albums include piledriver, quo, and hello!. Quo was recorded in the spring of 1974 at ibc studios in london, encapsulating the hard rock and heavy metal genres within a 36:54 runtime. Explore status quo's. What Genre Is Status Quo.
From www.discogs.com
Status Quo The Best Of Status Quo 19721986 (1989, CD) Discogs What Genre Is Status Quo Whatever you want is a rock song by the british rock band status quo. The album’s release was handled by vertigo in the uk and a&m in the usa, with the band themselves taking on the role of producers. Albums include piledriver, quo, and hello!. Status quo discography and songs: Music profile for status quo, formed 1967. Written by rick. What Genre Is Status Quo.
From www.discogs.com
Status Quo The Best Of Status Quo (The Early Years) (1985, CD) Discogs What Genre Is Status Quo Learn all about status quo on allmusic. Music profile for status quo, formed 1967. Albums include piledriver, quo, and hello!. Quo was recorded in the spring of 1974 at ibc studios in london, encapsulating the hard rock and heavy metal genres within a 36:54 runtime. The album’s release was handled by vertigo in the uk and a&m in the usa,. What Genre Is Status Quo.
From www.discogs.com
Status Quo Quo (Vinyl) Discogs What Genre Is Status Quo Explore status quo's discography including top tracks, albums, and reviews. Status quo discography and songs: Albums include piledriver, quo, and hello!. Music profile for status quo, formed 1967. Status quo are a british boogie rock band founded by francis rossi and alan lancaster, with a career spanning more than 50 years. Learn all about status quo on allmusic. Whatever you. What Genre Is Status Quo.
From www.discogs.com
Status Quo Rocking All Over The Years (1990, CD) Discogs What Genre Is Status Quo Quo was recorded in the spring of 1974 at ibc studios in london, encapsulating the hard rock and heavy metal genres within a 36:54 runtime. Explore status quo's discography including top tracks, albums, and reviews. Status quo discography and songs: Status quo are a british boogie rock band founded by francis rossi and alan lancaster, with a career spanning more. What Genre Is Status Quo.
From www.mediamarkt.de
Status Quo Status Quo Rockin' All Over The World The Collection What Genre Is Status Quo Boogie rock, hard rock, pop rock. Quo was recorded in the spring of 1974 at ibc studios in london, encapsulating the hard rock and heavy metal genres within a 36:54 runtime. Music profile for status quo, formed 1967. Status quo are a british boogie rock band founded by francis rossi and alan lancaster, with a career spanning more than 50. What Genre Is Status Quo.
From www.discogs.com
Status Quo Rockin' All Over The World (1977, Vinyl) Discogs What Genre Is Status Quo Music profile for status quo, formed 1967. Written by rick parfitt and andy bown, [4] it was released on the album of. Explore status quo's discography including top tracks, albums, and reviews. Status quo discography and songs: Status quo are a british boogie rock band founded by francis rossi and alan lancaster, with a career spanning more than 50 years.. What Genre Is Status Quo.
From www.loudersound.com
Status Quo a buyers guide to Status Quo's best albums Louder What Genre Is Status Quo Boogie rock, hard rock, pop rock. The album’s release was handled by vertigo in the uk and a&m in the usa, with the band themselves taking on the role of producers. Status quo discography and songs: Learn all about status quo on allmusic. Quo was recorded in the spring of 1974 at ibc studios in london, encapsulating the hard rock. What Genre Is Status Quo.
From www.etsy.com
Status Quo Album Hello Genre Rock Vinyl LP 12 Record Vintage Etsy Sweden What Genre Is Status Quo Albums include piledriver, quo, and hello!. Boogie rock, hard rock, pop rock. Whatever you want is a rock song by the british rock band status quo. The album’s release was handled by vertigo in the uk and a&m in the usa, with the band themselves taking on the role of producers. Music profile for status quo, formed 1967. Written by. What Genre Is Status Quo.
From www.discogs.com
Status Quo Classic Status Quo (2001, CD) Discogs What Genre Is Status Quo Whatever you want is a rock song by the british rock band status quo. Status quo are a british boogie rock band founded by francis rossi and alan lancaster, with a career spanning more than 50 years. Written by rick parfitt and andy bown, [4] it was released on the album of. Boogie rock, hard rock, pop rock. Music profile. What Genre Is Status Quo.
From www.discogs.com
Status Quo In The Army Now (2010) (2010, CD) Discogs What Genre Is Status Quo Whatever you want is a rock song by the british rock band status quo. Music profile for status quo, formed 1967. Explore status quo's discography including top tracks, albums, and reviews. Quo was recorded in the spring of 1974 at ibc studios in london, encapsulating the hard rock and heavy metal genres within a 36:54 runtime. Status quo are a. What Genre Is Status Quo.
From vampster.com
STATUS QUO Quo'ing In The Best Of The Noughties [2CD] Reviews What Genre Is Status Quo Learn all about status quo on allmusic. The album’s release was handled by vertigo in the uk and a&m in the usa, with the band themselves taking on the role of producers. Albums include piledriver, quo, and hello!. Whatever you want is a rock song by the british rock band status quo. Quo was recorded in the spring of 1974. What Genre Is Status Quo.
From www.discogs.com
Status Quo Greatest Hits (CD) Discogs What Genre Is Status Quo Music profile for status quo, formed 1967. Status quo discography and songs: Written by rick parfitt and andy bown, [4] it was released on the album of. Boogie rock, hard rock, pop rock. Quo was recorded in the spring of 1974 at ibc studios in london, encapsulating the hard rock and heavy metal genres within a 36:54 runtime. Status quo. What Genre Is Status Quo.
From www.discogs.com
Status Quo Original Recordings (1994, CD) Discogs What Genre Is Status Quo Music profile for status quo, formed 1967. Explore status quo's discography including top tracks, albums, and reviews. Status quo discography and songs: Learn all about status quo on allmusic. Boogie rock, hard rock, pop rock. The album’s release was handled by vertigo in the uk and a&m in the usa, with the band themselves taking on the role of producers.. What Genre Is Status Quo.
From www.etsy.com
Status Quo Album If You Cant Stand the Heat Genre Rock Vinyl Etsy What Genre Is Status Quo Learn all about status quo on allmusic. The album’s release was handled by vertigo in the uk and a&m in the usa, with the band themselves taking on the role of producers. Music profile for status quo, formed 1967. Status quo are a british boogie rock band founded by francis rossi and alan lancaster, with a career spanning more than. What Genre Is Status Quo.
From hitparade.ch
Status Quo Greatest Hits And More hitparade.ch What Genre Is Status Quo Quo was recorded in the spring of 1974 at ibc studios in london, encapsulating the hard rock and heavy metal genres within a 36:54 runtime. Explore status quo's discography including top tracks, albums, and reviews. Status quo discography and songs: Boogie rock, hard rock, pop rock. The album’s release was handled by vertigo in the uk and a&m in the. What Genre Is Status Quo.
From www.discogs.com
Status Quo Classic Releases, Reviews, Credits Discogs What Genre Is Status Quo Status quo are a british boogie rock band founded by francis rossi and alan lancaster, with a career spanning more than 50 years. Written by rick parfitt and andy bown, [4] it was released on the album of. Quo was recorded in the spring of 1974 at ibc studios in london, encapsulating the hard rock and heavy metal genres within. What Genre Is Status Quo.
From www.discogs.com
Status Quo The Best Of Status Quo (1973, Vinyl) Discogs What Genre Is Status Quo Explore status quo's discography including top tracks, albums, and reviews. Quo was recorded in the spring of 1974 at ibc studios in london, encapsulating the hard rock and heavy metal genres within a 36:54 runtime. Written by rick parfitt and andy bown, [4] it was released on the album of. The album’s release was handled by vertigo in the uk. What Genre Is Status Quo.