Control System Question Paper With Answers Pdf Ktu . He gain and phase crossover frequencies.10 ktudec. University qp (2019) university qp (2015) solved qp. ktu ee303 linear control systems solved question papers | important questions. transfer function of system is given byg(s)=[6/(s+1)(s+2)] draw the. preview and download all the question papers of control systems | ec409 | question papers (2015 batch) of branch electronics. anyone can contribute notes to this platform making this more methodically efficient and updated Get ktu 2019 scheme question papers.
from www.studypool.com
transfer function of system is given byg(s)=[6/(s+1)(s+2)] draw the. anyone can contribute notes to this platform making this more methodically efficient and updated preview and download all the question papers of control systems | ec409 | question papers (2015 batch) of branch electronics. ktu ee303 linear control systems solved question papers | important questions. University qp (2019) university qp (2015) solved qp. Get ktu 2019 scheme question papers. He gain and phase crossover frequencies.10 ktudec.
SOLUTION control systems question paper Studypool
Control System Question Paper With Answers Pdf Ktu University qp (2019) university qp (2015) solved qp. anyone can contribute notes to this platform making this more methodically efficient and updated Get ktu 2019 scheme question papers. preview and download all the question papers of control systems | ec409 | question papers (2015 batch) of branch electronics. University qp (2019) university qp (2015) solved qp. He gain and phase crossover frequencies.10 ktudec. transfer function of system is given byg(s)=[6/(s+1)(s+2)] draw the. ktu ee303 linear control systems solved question papers | important questions.
From www.studypool.com
SOLUTION control systems question paper Studypool Control System Question Paper With Answers Pdf Ktu He gain and phase crossover frequencies.10 ktudec. Get ktu 2019 scheme question papers. transfer function of system is given byg(s)=[6/(s+1)(s+2)] draw the. anyone can contribute notes to this platform making this more methodically efficient and updated preview and download all the question papers of control systems | ec409 | question papers (2015 batch) of branch electronics. . Control System Question Paper With Answers Pdf Ktu.
From www.studypool.com
SOLUTION control systems question paper Studypool Control System Question Paper With Answers Pdf Ktu Get ktu 2019 scheme question papers. He gain and phase crossover frequencies.10 ktudec. transfer function of system is given byg(s)=[6/(s+1)(s+2)] draw the. ktu ee303 linear control systems solved question papers | important questions. University qp (2019) university qp (2015) solved qp. anyone can contribute notes to this platform making this more methodically efficient and updated preview. Control System Question Paper With Answers Pdf Ktu.
From www.indianuniversityquestionpapers.com
EE2253 Control Systems Nov Dec 2013 Question Paper University Control System Question Paper With Answers Pdf Ktu preview and download all the question papers of control systems | ec409 | question papers (2015 batch) of branch electronics. University qp (2019) university qp (2015) solved qp. Get ktu 2019 scheme question papers. He gain and phase crossover frequencies.10 ktudec. transfer function of system is given byg(s)=[6/(s+1)(s+2)] draw the. anyone can contribute notes to this platform. Control System Question Paper With Answers Pdf Ktu.
From recentquestionpaper.com
EC6405 CONTROL SYSTEM ENGINEERING Recent Question Paper Control System Question Paper With Answers Pdf Ktu University qp (2019) university qp (2015) solved qp. ktu ee303 linear control systems solved question papers | important questions. transfer function of system is given byg(s)=[6/(s+1)(s+2)] draw the. He gain and phase crossover frequencies.10 ktudec. preview and download all the question papers of control systems | ec409 | question papers (2015 batch) of branch electronics. Get ktu. Control System Question Paper With Answers Pdf Ktu.
From www.shaalaa.com
Control Systems 20122013 M.Sc Electronics Semester 4 P799 question Control System Question Paper With Answers Pdf Ktu He gain and phase crossover frequencies.10 ktudec. transfer function of system is given byg(s)=[6/(s+1)(s+2)] draw the. preview and download all the question papers of control systems | ec409 | question papers (2015 batch) of branch electronics. ktu ee303 linear control systems solved question papers | important questions. anyone can contribute notes to this platform making this. Control System Question Paper With Answers Pdf Ktu.
From institutes.aglasem.com
RTU Question Papers 6 Semester EC Control System AglaSem Control System Question Paper With Answers Pdf Ktu University qp (2019) university qp (2015) solved qp. ktu ee303 linear control systems solved question papers | important questions. preview and download all the question papers of control systems | ec409 | question papers (2015 batch) of branch electronics. transfer function of system is given byg(s)=[6/(s+1)(s+2)] draw the. He gain and phase crossover frequencies.10 ktudec. Get ktu. Control System Question Paper With Answers Pdf Ktu.
From www.ktuqbank.com
Control Systems EC409 Question Papers (2015 batch) KtuQbank Control System Question Paper With Answers Pdf Ktu Get ktu 2019 scheme question papers. anyone can contribute notes to this platform making this more methodically efficient and updated University qp (2019) university qp (2015) solved qp. ktu ee303 linear control systems solved question papers | important questions. He gain and phase crossover frequencies.10 ktudec. preview and download all the question papers of control systems |. Control System Question Paper With Answers Pdf Ktu.
From www.shaalaa.com
Control System 20122013 BE Electronics Engineering Semester 3 (SE Control System Question Paper With Answers Pdf Ktu University qp (2019) university qp (2015) solved qp. anyone can contribute notes to this platform making this more methodically efficient and updated transfer function of system is given byg(s)=[6/(s+1)(s+2)] draw the. Get ktu 2019 scheme question papers. He gain and phase crossover frequencies.10 ktudec. ktu ee303 linear control systems solved question papers | important questions. preview. Control System Question Paper With Answers Pdf Ktu.
From www.slideshare.net
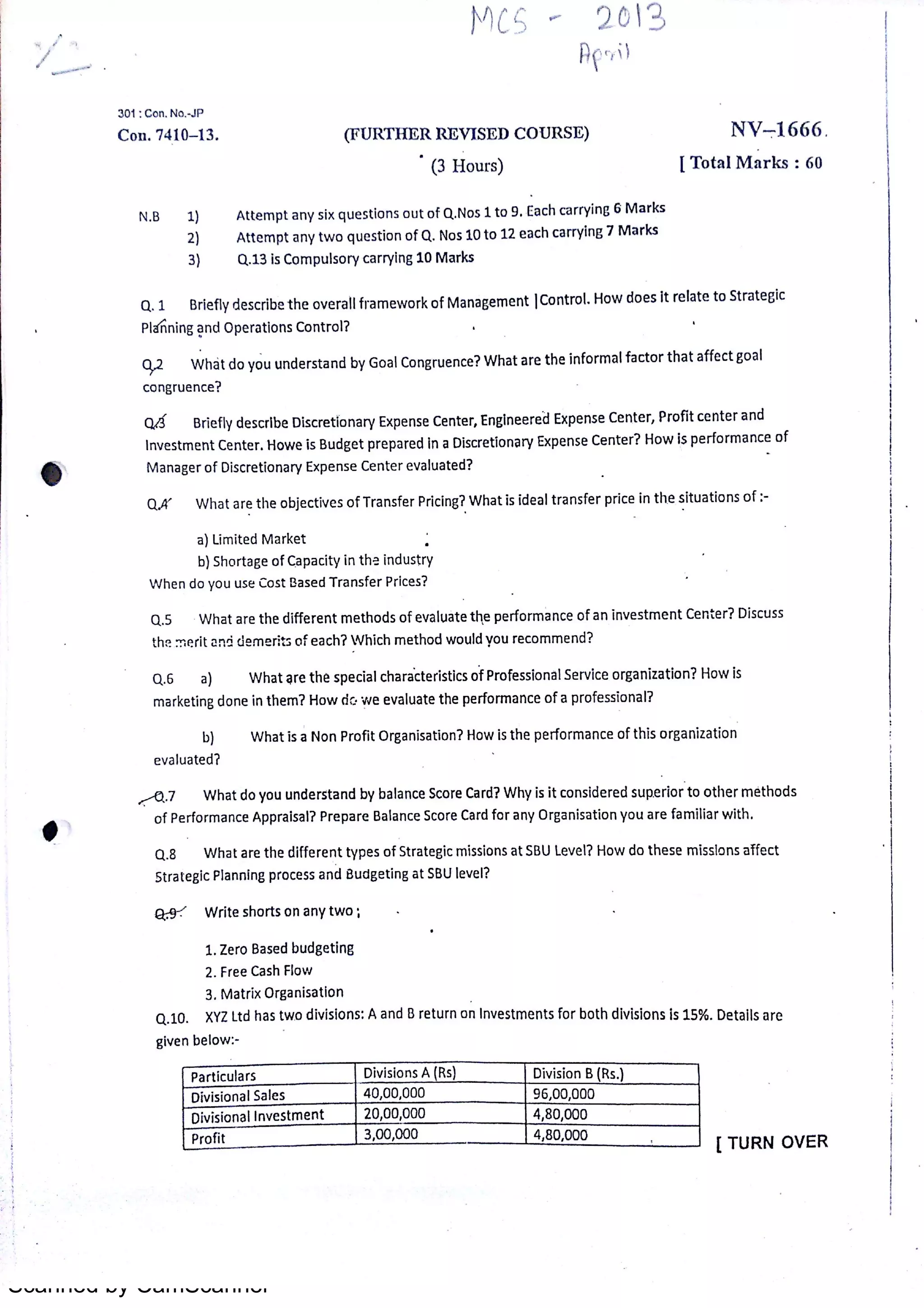
Management control system question paper 2009 by mumbai university PDF Control System Question Paper With Answers Pdf Ktu ktu ee303 linear control systems solved question papers | important questions. University qp (2019) university qp (2015) solved qp. anyone can contribute notes to this platform making this more methodically efficient and updated preview and download all the question papers of control systems | ec409 | question papers (2015 batch) of branch electronics. transfer function of. Control System Question Paper With Answers Pdf Ktu.
From www.ktunotes.in
KTU Control Systems Question Papers ECT307 Control System Question Paper With Answers Pdf Ktu University qp (2019) university qp (2015) solved qp. transfer function of system is given byg(s)=[6/(s+1)(s+2)] draw the. preview and download all the question papers of control systems | ec409 | question papers (2015 batch) of branch electronics. anyone can contribute notes to this platform making this more methodically efficient and updated ktu ee303 linear control systems. Control System Question Paper With Answers Pdf Ktu.
From www.indianuniversityquestionpapers.com
Anna University IC6501 Control Systems Nov Dec 2021 Question Paper Control System Question Paper With Answers Pdf Ktu Get ktu 2019 scheme question papers. He gain and phase crossover frequencies.10 ktudec. ktu ee303 linear control systems solved question papers | important questions. anyone can contribute notes to this platform making this more methodically efficient and updated preview and download all the question papers of control systems | ec409 | question papers (2015 batch) of branch. Control System Question Paper With Answers Pdf Ktu.
From www.scribd.com
Control Systems Question Paper and Key, CAT 1 Vit Vellore PDF Eye Control System Question Paper With Answers Pdf Ktu transfer function of system is given byg(s)=[6/(s+1)(s+2)] draw the. University qp (2019) university qp (2015) solved qp. anyone can contribute notes to this platform making this more methodically efficient and updated He gain and phase crossover frequencies.10 ktudec. Get ktu 2019 scheme question papers. preview and download all the question papers of control systems | ec409 |. Control System Question Paper With Answers Pdf Ktu.
From www.scribd.com
Control systems question papers Control Theory Parsing Control System Question Paper With Answers Pdf Ktu University qp (2019) university qp (2015) solved qp. He gain and phase crossover frequencies.10 ktudec. anyone can contribute notes to this platform making this more methodically efficient and updated ktu ee303 linear control systems solved question papers | important questions. Get ktu 2019 scheme question papers. preview and download all the question papers of control systems |. Control System Question Paper With Answers Pdf Ktu.
From www.scribd.com
Control System Question Paper PDF Systems Science Control Engineering Control System Question Paper With Answers Pdf Ktu University qp (2019) university qp (2015) solved qp. anyone can contribute notes to this platform making this more methodically efficient and updated ktu ee303 linear control systems solved question papers | important questions. Get ktu 2019 scheme question papers. He gain and phase crossover frequencies.10 ktudec. preview and download all the question papers of control systems |. Control System Question Paper With Answers Pdf Ktu.
From eduvark.com
MU Instrumentation Engineering 7th Sem Advanced Control Systems Exam Control System Question Paper With Answers Pdf Ktu preview and download all the question papers of control systems | ec409 | question papers (2015 batch) of branch electronics. anyone can contribute notes to this platform making this more methodically efficient and updated He gain and phase crossover frequencies.10 ktudec. transfer function of system is given byg(s)=[6/(s+1)(s+2)] draw the. Get ktu 2019 scheme question papers. University. Control System Question Paper With Answers Pdf Ktu.
From www.indianuniversityquestionpapers.com
JNTUH B.Tech advanced control systems September 2020 Question Paper Control System Question Paper With Answers Pdf Ktu University qp (2019) university qp (2015) solved qp. preview and download all the question papers of control systems | ec409 | question papers (2015 batch) of branch electronics. ktu ee303 linear control systems solved question papers | important questions. He gain and phase crossover frequencies.10 ktudec. transfer function of system is given byg(s)=[6/(s+1)(s+2)] draw the. anyone. Control System Question Paper With Answers Pdf Ktu.
From www.slideshare.net
Management control system question paper 2013 by mumbai university PDF Control System Question Paper With Answers Pdf Ktu preview and download all the question papers of control systems | ec409 | question papers (2015 batch) of branch electronics. transfer function of system is given byg(s)=[6/(s+1)(s+2)] draw the. ktu ee303 linear control systems solved question papers | important questions. anyone can contribute notes to this platform making this more methodically efficient and updated Get ktu. Control System Question Paper With Answers Pdf Ktu.
From www.shaalaa.com
Control System 20122013 BE Electronics Engineering Semester 3 (SE Control System Question Paper With Answers Pdf Ktu preview and download all the question papers of control systems | ec409 | question papers (2015 batch) of branch electronics. University qp (2019) university qp (2015) solved qp. He gain and phase crossover frequencies.10 ktudec. transfer function of system is given byg(s)=[6/(s+1)(s+2)] draw the. anyone can contribute notes to this platform making this more methodically efficient and. Control System Question Paper With Answers Pdf Ktu.
From www.shaalaa.com
Control Systems 20122013 M.Sc Electronics Semester 4 P799 question Control System Question Paper With Answers Pdf Ktu preview and download all the question papers of control systems | ec409 | question papers (2015 batch) of branch electronics. anyone can contribute notes to this platform making this more methodically efficient and updated He gain and phase crossover frequencies.10 ktudec. University qp (2019) university qp (2015) solved qp. Get ktu 2019 scheme question papers. ktu ee303. Control System Question Paper With Answers Pdf Ktu.
From www.slideshare.net
Management control system question paper 2009 by mumbai university PDF Control System Question Paper With Answers Pdf Ktu Get ktu 2019 scheme question papers. ktu ee303 linear control systems solved question papers | important questions. transfer function of system is given byg(s)=[6/(s+1)(s+2)] draw the. University qp (2019) university qp (2015) solved qp. preview and download all the question papers of control systems | ec409 | question papers (2015 batch) of branch electronics. He gain and. Control System Question Paper With Answers Pdf Ktu.
From www.scribd.com
Operating System Question Paper PDF Thread Scheduling Control System Question Paper With Answers Pdf Ktu University qp (2019) university qp (2015) solved qp. transfer function of system is given byg(s)=[6/(s+1)(s+2)] draw the. Get ktu 2019 scheme question papers. ktu ee303 linear control systems solved question papers | important questions. preview and download all the question papers of control systems | ec409 | question papers (2015 batch) of branch electronics. anyone can. Control System Question Paper With Answers Pdf Ktu.
From www.shaalaa.com
Control System 20112012 BE Electronics Engineering Semester 3 (SE Control System Question Paper With Answers Pdf Ktu preview and download all the question papers of control systems | ec409 | question papers (2015 batch) of branch electronics. anyone can contribute notes to this platform making this more methodically efficient and updated He gain and phase crossover frequencies.10 ktudec. Get ktu 2019 scheme question papers. transfer function of system is given byg(s)=[6/(s+1)(s+2)] draw the. University. Control System Question Paper With Answers Pdf Ktu.
From www.scribd.com
Control System Question Bank PDF Control System Question Paper With Answers Pdf Ktu He gain and phase crossover frequencies.10 ktudec. ktu ee303 linear control systems solved question papers | important questions. transfer function of system is given byg(s)=[6/(s+1)(s+2)] draw the. anyone can contribute notes to this platform making this more methodically efficient and updated Get ktu 2019 scheme question papers. preview and download all the question papers of control. Control System Question Paper With Answers Pdf Ktu.
From www.indianuniversityquestionpapers.com
Anna University IC6501 Control Systems Nov Dec 2021 Question Paper Control System Question Paper With Answers Pdf Ktu He gain and phase crossover frequencies.10 ktudec. preview and download all the question papers of control systems | ec409 | question papers (2015 batch) of branch electronics. transfer function of system is given byg(s)=[6/(s+1)(s+2)] draw the. ktu ee303 linear control systems solved question papers | important questions. University qp (2019) university qp (2015) solved qp. anyone. Control System Question Paper With Answers Pdf Ktu.
From www.slideshare.net
Management control system question paper 2013 by mumbai university re… Control System Question Paper With Answers Pdf Ktu preview and download all the question papers of control systems | ec409 | question papers (2015 batch) of branch electronics. transfer function of system is given byg(s)=[6/(s+1)(s+2)] draw the. anyone can contribute notes to this platform making this more methodically efficient and updated University qp (2019) university qp (2015) solved qp. ktu ee303 linear control systems. Control System Question Paper With Answers Pdf Ktu.
From www.indianuniversityquestionpapers.com
6EC5 Control Systems RTU B.Tech ECE 6th Semester 2014 Question Paper Control System Question Paper With Answers Pdf Ktu preview and download all the question papers of control systems | ec409 | question papers (2015 batch) of branch electronics. anyone can contribute notes to this platform making this more methodically efficient and updated ktu ee303 linear control systems solved question papers | important questions. transfer function of system is given byg(s)=[6/(s+1)(s+2)] draw the. Get ktu. Control System Question Paper With Answers Pdf Ktu.
From www.studypool.com
SOLUTION Ktu 2020 engineering chemistry question paper with answer key Control System Question Paper With Answers Pdf Ktu anyone can contribute notes to this platform making this more methodically efficient and updated University qp (2019) university qp (2015) solved qp. preview and download all the question papers of control systems | ec409 | question papers (2015 batch) of branch electronics. He gain and phase crossover frequencies.10 ktudec. Get ktu 2019 scheme question papers. ktu ee303. Control System Question Paper With Answers Pdf Ktu.
From www.scribd.com
Control Systems Question Paper PDF PDF Control Theory Function Control System Question Paper With Answers Pdf Ktu Get ktu 2019 scheme question papers. ktu ee303 linear control systems solved question papers | important questions. anyone can contribute notes to this platform making this more methodically efficient and updated He gain and phase crossover frequencies.10 ktudec. transfer function of system is given byg(s)=[6/(s+1)(s+2)] draw the. University qp (2019) university qp (2015) solved qp. preview. Control System Question Paper With Answers Pdf Ktu.
From www.scribd.com
Control system Question paper PDF Control System Question Paper With Answers Pdf Ktu He gain and phase crossover frequencies.10 ktudec. transfer function of system is given byg(s)=[6/(s+1)(s+2)] draw the. anyone can contribute notes to this platform making this more methodically efficient and updated preview and download all the question papers of control systems | ec409 | question papers (2015 batch) of branch electronics. Get ktu 2019 scheme question papers. University. Control System Question Paper With Answers Pdf Ktu.
From www.studypool.com
SOLUTION Ktu 2020 engineering chemistry question paper with answer key Control System Question Paper With Answers Pdf Ktu transfer function of system is given byg(s)=[6/(s+1)(s+2)] draw the. Get ktu 2019 scheme question papers. anyone can contribute notes to this platform making this more methodically efficient and updated He gain and phase crossover frequencies.10 ktudec. University qp (2019) university qp (2015) solved qp. ktu ee303 linear control systems solved question papers | important questions. preview. Control System Question Paper With Answers Pdf Ktu.
From www.ktuassist.in
KTU EE467 NON LINEAR CONTROL SYSTEMS STUDY MATERIALS KTU ASSIST Control System Question Paper With Answers Pdf Ktu Get ktu 2019 scheme question papers. University qp (2019) university qp (2015) solved qp. transfer function of system is given byg(s)=[6/(s+1)(s+2)] draw the. ktu ee303 linear control systems solved question papers | important questions. preview and download all the question papers of control systems | ec409 | question papers (2015 batch) of branch electronics. He gain and. Control System Question Paper With Answers Pdf Ktu.
From www.scribd.com
Control Systems Question Paper 2021 Calcutta University BTech EE Control System Question Paper With Answers Pdf Ktu University qp (2019) university qp (2015) solved qp. transfer function of system is given byg(s)=[6/(s+1)(s+2)] draw the. anyone can contribute notes to this platform making this more methodically efficient and updated He gain and phase crossover frequencies.10 ktudec. preview and download all the question papers of control systems | ec409 | question papers (2015 batch) of branch. Control System Question Paper With Answers Pdf Ktu.
From www.recentquestionpaper.com
IC6501 Control Systems Nov/Dec 2016 Question Paper Control System Question Paper With Answers Pdf Ktu preview and download all the question papers of control systems | ec409 | question papers (2015 batch) of branch electronics. anyone can contribute notes to this platform making this more methodically efficient and updated Get ktu 2019 scheme question papers. University qp (2019) university qp (2015) solved qp. ktu ee303 linear control systems solved question papers |. Control System Question Paper With Answers Pdf Ktu.
From www.shaalaa.com
Advance Control Systems 20122013 BE Instrumentation Engineering Control System Question Paper With Answers Pdf Ktu University qp (2019) university qp (2015) solved qp. preview and download all the question papers of control systems | ec409 | question papers (2015 batch) of branch electronics. ktu ee303 linear control systems solved question papers | important questions. He gain and phase crossover frequencies.10 ktudec. Get ktu 2019 scheme question papers. transfer function of system is. Control System Question Paper With Answers Pdf Ktu.
From www.studypool.com
SOLUTION Control system question paper Studypool Control System Question Paper With Answers Pdf Ktu ktu ee303 linear control systems solved question papers | important questions. anyone can contribute notes to this platform making this more methodically efficient and updated preview and download all the question papers of control systems | ec409 | question papers (2015 batch) of branch electronics. transfer function of system is given byg(s)=[6/(s+1)(s+2)] draw the. University qp. Control System Question Paper With Answers Pdf Ktu.