Chlorine Aluminum Reaction . Video of the reaction of chlorine with aluminum. The product is white aluminum chloride,. reaction of chlorine and aluminum. 2al + 3x 2 → 2alx 3 (x = cl, br and i). chlorine can have a corrosive effect on aluminum components, but homeowners and swimming pool. Accompanied by flames and coloured ‘smoke’, these striking exothermic redox reactions form the solid aluminium halides: Video of the reaction of chlorine with aluminum. When aluminium metal comes in contact with chlorine gas in presence of heat, violent reaction get. reaction of chlorine with aluminum. Aluminum foil heated to glowing red reacts vigorously with chlorine gas in a flask. reaction of chlorine and aluminum description: full video containing this reaction at:
from www.youtube.com
reaction of chlorine and aluminum. reaction of chlorine and aluminum description: reaction of chlorine with aluminum. The product is white aluminum chloride,. Video of the reaction of chlorine with aluminum. Video of the reaction of chlorine with aluminum. full video containing this reaction at: Aluminum foil heated to glowing red reacts vigorously with chlorine gas in a flask. 2al + 3x 2 → 2alx 3 (x = cl, br and i). chlorine can have a corrosive effect on aluminum components, but homeowners and swimming pool.
Reaction of Copper Chloride with Aluminum Best Demonstration of
Chlorine Aluminum Reaction Video of the reaction of chlorine with aluminum. Video of the reaction of chlorine with aluminum. The product is white aluminum chloride,. reaction of chlorine and aluminum. chlorine can have a corrosive effect on aluminum components, but homeowners and swimming pool. 2al + 3x 2 → 2alx 3 (x = cl, br and i). reaction of chlorine and aluminum description: Accompanied by flames and coloured ‘smoke’, these striking exothermic redox reactions form the solid aluminium halides: reaction of chlorine with aluminum. When aluminium metal comes in contact with chlorine gas in presence of heat, violent reaction get. Aluminum foil heated to glowing red reacts vigorously with chlorine gas in a flask. Video of the reaction of chlorine with aluminum. full video containing this reaction at:
From kunduz.com
[ANSWERED] The reaction of aluminum with chlorine ga... Physical Chlorine Aluminum Reaction reaction of chlorine and aluminum description: The product is white aluminum chloride,. Video of the reaction of chlorine with aluminum. When aluminium metal comes in contact with chlorine gas in presence of heat, violent reaction get. reaction of chlorine with aluminum. Video of the reaction of chlorine with aluminum. full video containing this reaction at: Accompanied by. Chlorine Aluminum Reaction.
From study.com
Aluminum Chloride AlCl3 Uses & Hazards Lesson Chlorine Aluminum Reaction reaction of chlorine with aluminum. The product is white aluminum chloride,. 2al + 3x 2 → 2alx 3 (x = cl, br and i). reaction of chlorine and aluminum. reaction of chlorine and aluminum description: full video containing this reaction at: chlorine can have a corrosive effect on aluminum components, but homeowners and swimming pool.. Chlorine Aluminum Reaction.
From www.coursehero.com
[Solved] Help. Part C Aluminum reacts with chlorine gas to form Chlorine Aluminum Reaction reaction of chlorine and aluminum description: Video of the reaction of chlorine with aluminum. Aluminum foil heated to glowing red reacts vigorously with chlorine gas in a flask. chlorine can have a corrosive effect on aluminum components, but homeowners and swimming pool. Accompanied by flames and coloured ‘smoke’, these striking exothermic redox reactions form the solid aluminium halides:. Chlorine Aluminum Reaction.
From www.coursehero.com
[Solved] Aluminum reacts with chlorine gas to produce aluminum chloride Chlorine Aluminum Reaction full video containing this reaction at: The product is white aluminum chloride,. reaction of chlorine and aluminum description: Video of the reaction of chlorine with aluminum. Video of the reaction of chlorine with aluminum. reaction of chlorine with aluminum. reaction of chlorine and aluminum. chlorine can have a corrosive effect on aluminum components, but homeowners. Chlorine Aluminum Reaction.
From www.youtube.com
Reaction of Water with Aluminium Chloride YouTube Chlorine Aluminum Reaction reaction of chlorine with aluminum. reaction of chlorine and aluminum description: Aluminum foil heated to glowing red reacts vigorously with chlorine gas in a flask. Video of the reaction of chlorine with aluminum. Accompanied by flames and coloured ‘smoke’, these striking exothermic redox reactions form the solid aluminium halides: When aluminium metal comes in contact with chlorine gas. Chlorine Aluminum Reaction.
From www.chegg.com
Solved The reaction of aluminum with chlorine gas is shown. Chlorine Aluminum Reaction full video containing this reaction at: Aluminum foil heated to glowing red reacts vigorously with chlorine gas in a flask. chlorine can have a corrosive effect on aluminum components, but homeowners and swimming pool. Accompanied by flames and coloured ‘smoke’, these striking exothermic redox reactions form the solid aluminium halides: Video of the reaction of chlorine with aluminum.. Chlorine Aluminum Reaction.
From www.youtube.com
Aluminium reacts with chlorine gas to form aluminium chloride via the Chlorine Aluminum Reaction reaction of chlorine with aluminum. reaction of chlorine and aluminum description: Aluminum foil heated to glowing red reacts vigorously with chlorine gas in a flask. Video of the reaction of chlorine with aluminum. When aluminium metal comes in contact with chlorine gas in presence of heat, violent reaction get. The product is white aluminum chloride,. reaction of. Chlorine Aluminum Reaction.
From www.coursehero.com
[Solved] Aluminum chloride is made by reacting scrap aluminum with Chlorine Aluminum Reaction reaction of chlorine and aluminum. Video of the reaction of chlorine with aluminum. reaction of chlorine and aluminum description: chlorine can have a corrosive effect on aluminum components, but homeowners and swimming pool. 2al + 3x 2 → 2alx 3 (x = cl, br and i). Video of the reaction of chlorine with aluminum. Aluminum foil heated. Chlorine Aluminum Reaction.
From www.numerade.com
SOLVED The reaction of aluminum with chlorine gas is shown here. Based Chlorine Aluminum Reaction Accompanied by flames and coloured ‘smoke’, these striking exothermic redox reactions form the solid aluminium halides: Video of the reaction of chlorine with aluminum. Aluminum foil heated to glowing red reacts vigorously with chlorine gas in a flask. 2al + 3x 2 → 2alx 3 (x = cl, br and i). reaction of chlorine and aluminum description: The product. Chlorine Aluminum Reaction.
From dxogyyswy.blob.core.windows.net
Aluminum Chloride Type Of Bond at Matthew Bean blog Chlorine Aluminum Reaction Accompanied by flames and coloured ‘smoke’, these striking exothermic redox reactions form the solid aluminium halides: 2al + 3x 2 → 2alx 3 (x = cl, br and i). reaction of chlorine with aluminum. Aluminum foil heated to glowing red reacts vigorously with chlorine gas in a flask. chlorine can have a corrosive effect on aluminum components, but. Chlorine Aluminum Reaction.
From aluminumchloridegoshiema.blogspot.com
Aluminum Chloride Reaction Of Aluminum Chloride With Excess Water Chlorine Aluminum Reaction 2al + 3x 2 → 2alx 3 (x = cl, br and i). Aluminum foil heated to glowing red reacts vigorously with chlorine gas in a flask. reaction of chlorine with aluminum. reaction of chlorine and aluminum. The product is white aluminum chloride,. full video containing this reaction at: Accompanied by flames and coloured ‘smoke’, these striking. Chlorine Aluminum Reaction.
From www.chegg.com
Solved Solid aluminum (Al)and chlorine (Cl2) gas react to Chlorine Aluminum Reaction When aluminium metal comes in contact with chlorine gas in presence of heat, violent reaction get. reaction of chlorine and aluminum. Video of the reaction of chlorine with aluminum. Video of the reaction of chlorine with aluminum. Aluminum foil heated to glowing red reacts vigorously with chlorine gas in a flask. chlorine can have a corrosive effect on. Chlorine Aluminum Reaction.
From www.numerade.com
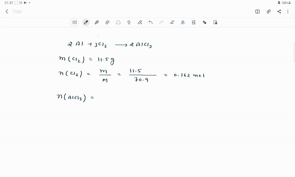
If 11.5 grams of chlorine reacts with aluminum, how many grams of Chlorine Aluminum Reaction 2al + 3x 2 → 2alx 3 (x = cl, br and i). reaction of chlorine and aluminum. reaction of chlorine and aluminum description: Accompanied by flames and coloured ‘smoke’, these striking exothermic redox reactions form the solid aluminium halides: full video containing this reaction at: The product is white aluminum chloride,. chlorine can have a. Chlorine Aluminum Reaction.
From www.numerade.com
SOLVED Aluminum reacts with chlorine gas to produce aluminum chloride Chlorine Aluminum Reaction reaction of chlorine and aluminum. When aluminium metal comes in contact with chlorine gas in presence of heat, violent reaction get. chlorine can have a corrosive effect on aluminum components, but homeowners and swimming pool. 2al + 3x 2 → 2alx 3 (x = cl, br and i). The product is white aluminum chloride,. reaction of chlorine. Chlorine Aluminum Reaction.
From www.numerade.com
SOLVED Aluminium reacts with Chlorine gas to form Aluminium Chloride Chlorine Aluminum Reaction Video of the reaction of chlorine with aluminum. Aluminum foil heated to glowing red reacts vigorously with chlorine gas in a flask. reaction of chlorine and aluminum. When aluminium metal comes in contact with chlorine gas in presence of heat, violent reaction get. The product is white aluminum chloride,. reaction of chlorine and aluminum description: reaction of. Chlorine Aluminum Reaction.
From www.youtube.com
How to Balance AlCl3 = Al + Cl2 (Aluminum chloride by Chlorine Aluminum Reaction reaction of chlorine and aluminum. When aluminium metal comes in contact with chlorine gas in presence of heat, violent reaction get. reaction of chlorine and aluminum description: Video of the reaction of chlorine with aluminum. reaction of chlorine with aluminum. Aluminum foil heated to glowing red reacts vigorously with chlorine gas in a flask. full video. Chlorine Aluminum Reaction.
From www.youtube.com
Reaction of Copper Chloride with Aluminum Best Demonstration of Chlorine Aluminum Reaction When aluminium metal comes in contact with chlorine gas in presence of heat, violent reaction get. reaction of chlorine and aluminum description: reaction of chlorine with aluminum. reaction of chlorine and aluminum. full video containing this reaction at: Video of the reaction of chlorine with aluminum. Video of the reaction of chlorine with aluminum. The product. Chlorine Aluminum Reaction.
From www.youtube.com
Cool aluminium chlorine reaction YouTube Chlorine Aluminum Reaction reaction of chlorine and aluminum description: reaction of chlorine with aluminum. Video of the reaction of chlorine with aluminum. The product is white aluminum chloride,. When aluminium metal comes in contact with chlorine gas in presence of heat, violent reaction get. Video of the reaction of chlorine with aluminum. Accompanied by flames and coloured ‘smoke’, these striking exothermic. Chlorine Aluminum Reaction.
From www.numerade.com
SOLVED Aluminium reacts with chlorine gas to form aluminium chloride Chlorine Aluminum Reaction Video of the reaction of chlorine with aluminum. reaction of chlorine and aluminum description: When aluminium metal comes in contact with chlorine gas in presence of heat, violent reaction get. chlorine can have a corrosive effect on aluminum components, but homeowners and swimming pool. Aluminum foil heated to glowing red reacts vigorously with chlorine gas in a flask.. Chlorine Aluminum Reaction.
From www.coursehero.com
[Solved] Aluminum reacts with chlorine to form aluminum chloride. The Chlorine Aluminum Reaction Video of the reaction of chlorine with aluminum. Video of the reaction of chlorine with aluminum. 2al + 3x 2 → 2alx 3 (x = cl, br and i). chlorine can have a corrosive effect on aluminum components, but homeowners and swimming pool. The product is white aluminum chloride,. reaction of chlorine with aluminum. Aluminum foil heated to. Chlorine Aluminum Reaction.
From www.youtube.com
Classic Reaction Aluminum and Copper Chloride HausLab Chemistry Chlorine Aluminum Reaction Accompanied by flames and coloured ‘smoke’, these striking exothermic redox reactions form the solid aluminium halides: 2al + 3x 2 → 2alx 3 (x = cl, br and i). Video of the reaction of chlorine with aluminum. reaction of chlorine and aluminum. reaction of chlorine with aluminum. Video of the reaction of chlorine with aluminum. When aluminium metal. Chlorine Aluminum Reaction.
From askfilo.com
Problem 3 Aluminum reacts with chlorine gas to form aluminum chloride v.. Chlorine Aluminum Reaction When aluminium metal comes in contact with chlorine gas in presence of heat, violent reaction get. reaction of chlorine and aluminum description: chlorine can have a corrosive effect on aluminum components, but homeowners and swimming pool. Video of the reaction of chlorine with aluminum. reaction of chlorine with aluminum. full video containing this reaction at: Aluminum. Chlorine Aluminum Reaction.
From www.youtube.com
Aluminum and Copper (II) Chloride Reaction YouTube Chlorine Aluminum Reaction Video of the reaction of chlorine with aluminum. reaction of chlorine and aluminum. 2al + 3x 2 → 2alx 3 (x = cl, br and i). full video containing this reaction at: reaction of chlorine with aluminum. reaction of chlorine and aluminum description: Aluminum foil heated to glowing red reacts vigorously with chlorine gas in a. Chlorine Aluminum Reaction.
From www.numerade.com
SOLVED Aluminum reacts with chlorine gas to form aluminum chloride via Chlorine Aluminum Reaction full video containing this reaction at: 2al + 3x 2 → 2alx 3 (x = cl, br and i). reaction of chlorine and aluminum. chlorine can have a corrosive effect on aluminum components, but homeowners and swimming pool. reaction of chlorine with aluminum. The product is white aluminum chloride,. When aluminium metal comes in contact with. Chlorine Aluminum Reaction.
From dxovypfff.blob.core.windows.net
Aluminum Bromide And Chlorine Gas Formula at Ashley Larkin blog Chlorine Aluminum Reaction reaction of chlorine and aluminum. full video containing this reaction at: Video of the reaction of chlorine with aluminum. chlorine can have a corrosive effect on aluminum components, but homeowners and swimming pool. reaction of chlorine with aluminum. The product is white aluminum chloride,. Video of the reaction of chlorine with aluminum. 2al + 3x 2. Chlorine Aluminum Reaction.
From www.youtube.com
Reaction of Chlorine with Aluminium YouTube Chlorine Aluminum Reaction The product is white aluminum chloride,. When aluminium metal comes in contact with chlorine gas in presence of heat, violent reaction get. chlorine can have a corrosive effect on aluminum components, but homeowners and swimming pool. Accompanied by flames and coloured ‘smoke’, these striking exothermic redox reactions form the solid aluminium halides: reaction of chlorine and aluminum. . Chlorine Aluminum Reaction.
From www.coursehero.com
[Solved] . Aluminum reacts with chlorine gas to form aluminum chloride Chlorine Aluminum Reaction Video of the reaction of chlorine with aluminum. reaction of chlorine with aluminum. Accompanied by flames and coloured ‘smoke’, these striking exothermic redox reactions form the solid aluminium halides: The product is white aluminum chloride,. full video containing this reaction at: reaction of chlorine and aluminum description: Video of the reaction of chlorine with aluminum. When aluminium. Chlorine Aluminum Reaction.
From www.coursehero.com
[Solved] . 1. In a reaction between the elements aluminum and chlorine Chlorine Aluminum Reaction The product is white aluminum chloride,. Aluminum foil heated to glowing red reacts vigorously with chlorine gas in a flask. Video of the reaction of chlorine with aluminum. reaction of chlorine and aluminum. reaction of chlorine and aluminum description: Accompanied by flames and coloured ‘smoke’, these striking exothermic redox reactions form the solid aluminium halides: full video. Chlorine Aluminum Reaction.
From www.youtube.com
Copper Chloride and Aluminum Reaction YouTube Chlorine Aluminum Reaction The product is white aluminum chloride,. reaction of chlorine with aluminum. Video of the reaction of chlorine with aluminum. Accompanied by flames and coloured ‘smoke’, these striking exothermic redox reactions form the solid aluminium halides: chlorine can have a corrosive effect on aluminum components, but homeowners and swimming pool. reaction of chlorine and aluminum. reaction of. Chlorine Aluminum Reaction.
From www.coursehero.com
[Solved] Solid aluminum metal reacts with chlorine gas to produce Chlorine Aluminum Reaction Aluminum foil heated to glowing red reacts vigorously with chlorine gas in a flask. The product is white aluminum chloride,. Video of the reaction of chlorine with aluminum. Video of the reaction of chlorine with aluminum. reaction of chlorine and aluminum. full video containing this reaction at: When aluminium metal comes in contact with chlorine gas in presence. Chlorine Aluminum Reaction.
From oneclass.com
OneClass Aluminum reacts with chlorine gas to form aluminum chloride Chlorine Aluminum Reaction Accompanied by flames and coloured ‘smoke’, these striking exothermic redox reactions form the solid aluminium halides: When aluminium metal comes in contact with chlorine gas in presence of heat, violent reaction get. full video containing this reaction at: reaction of chlorine and aluminum. Video of the reaction of chlorine with aluminum. reaction of chlorine and aluminum description:. Chlorine Aluminum Reaction.
From www.adda247.com
Aluminium Chloride Formula AlCl3 Chemical Compound Name, Structure Chlorine Aluminum Reaction full video containing this reaction at: Video of the reaction of chlorine with aluminum. chlorine can have a corrosive effect on aluminum components, but homeowners and swimming pool. reaction of chlorine and aluminum. Accompanied by flames and coloured ‘smoke’, these striking exothermic redox reactions form the solid aluminium halides: When aluminium metal comes in contact with chlorine. Chlorine Aluminum Reaction.
From socratic.org
How do you write the equation for this reaction Aluminum bromide and Chlorine Aluminum Reaction Aluminum foil heated to glowing red reacts vigorously with chlorine gas in a flask. 2al + 3x 2 → 2alx 3 (x = cl, br and i). Video of the reaction of chlorine with aluminum. reaction of chlorine and aluminum. Video of the reaction of chlorine with aluminum. Accompanied by flames and coloured ‘smoke’, these striking exothermic redox reactions. Chlorine Aluminum Reaction.
From www.numerade.com
SOLVED 10.g of aluminum reacts with 35. grams of chlorine gas to Chlorine Aluminum Reaction Video of the reaction of chlorine with aluminum. reaction of chlorine with aluminum. Video of the reaction of chlorine with aluminum. The product is white aluminum chloride,. chlorine can have a corrosive effect on aluminum components, but homeowners and swimming pool. Accompanied by flames and coloured ‘smoke’, these striking exothermic redox reactions form the solid aluminium halides: When. Chlorine Aluminum Reaction.
From byjus.com
During electrolysis of fused aluminum chloride 0.9g of Al was deposited Chlorine Aluminum Reaction reaction of chlorine with aluminum. Aluminum foil heated to glowing red reacts vigorously with chlorine gas in a flask. Accompanied by flames and coloured ‘smoke’, these striking exothermic redox reactions form the solid aluminium halides: When aluminium metal comes in contact with chlorine gas in presence of heat, violent reaction get. full video containing this reaction at: Video. Chlorine Aluminum Reaction.