Charges Meaning Of Bengali . যে জিনিসটাতে রাগ বা অসুবিধা হয়েছে তার. বৈদু্যতিক শক্তি দ্বারা পূর্ণ করা; The word or phrase charge refers to attention and management implying responsibility for safety, or a special. দাম নেওয়া, কারও বিরুদ্ধে অপরাধ করার অভিযোগ দায়ের করা, যে জিনিসটাতে রাগ বা অসুবিধা হয়েছে তার দিকে…. To move forward quickly and violently, especially towards something that has caused difficulty or anger. What is charge meaning in bengali?
from englishbengali.com
বৈদু্যতিক শক্তি দ্বারা পূর্ণ করা; দাম নেওয়া, কারও বিরুদ্ধে অপরাধ করার অভিযোগ দায়ের করা, যে জিনিসটাতে রাগ বা অসুবিধা হয়েছে তার দিকে…. To move forward quickly and violently, especially towards something that has caused difficulty or anger. যে জিনিসটাতে রাগ বা অসুবিধা হয়েছে তার. The word or phrase charge refers to attention and management implying responsibility for safety, or a special. What is charge meaning in bengali?
100 Most Common English Words Bengali to English
Charges Meaning Of Bengali যে জিনিসটাতে রাগ বা অসুবিধা হয়েছে তার. What is charge meaning in bengali? দাম নেওয়া, কারও বিরুদ্ধে অপরাধ করার অভিযোগ দায়ের করা, যে জিনিসটাতে রাগ বা অসুবিধা হয়েছে তার দিকে…. To move forward quickly and violently, especially towards something that has caused difficulty or anger. যে জিনিসটাতে রাগ বা অসুবিধা হয়েছে তার. The word or phrase charge refers to attention and management implying responsibility for safety, or a special. বৈদু্যতিক শক্তি দ্বারা পূর্ণ করা;
From www.milestoneloc.com
10 Interesting Facts About The Bengali Language Milestone Localization Charges Meaning Of Bengali The word or phrase charge refers to attention and management implying responsibility for safety, or a special. বৈদু্যতিক শক্তি দ্বারা পূর্ণ করা; To move forward quickly and violently, especially towards something that has caused difficulty or anger. দাম নেওয়া, কারও বিরুদ্ধে অপরাধ করার অভিযোগ দায়ের করা, যে জিনিসটাতে রাগ বা অসুবিধা হয়েছে তার দিকে…. What is charge meaning in bengali?. Charges Meaning Of Bengali.
From www.facebook.com
Electric Charges and Fields Class 12 in Bengali Part7 Electric Charges Meaning Of Bengali যে জিনিসটাতে রাগ বা অসুবিধা হয়েছে তার. To move forward quickly and violently, especially towards something that has caused difficulty or anger. What is charge meaning in bengali? দাম নেওয়া, কারও বিরুদ্ধে অপরাধ করার অভিযোগ দায়ের করা, যে জিনিসটাতে রাগ বা অসুবিধা হয়েছে তার দিকে…. The word or phrase charge refers to attention and management implying responsibility for safety, or. Charges Meaning Of Bengali.
From www.doubtnut.com
[Bengali] How much charge is required for the following reductions Charges Meaning Of Bengali To move forward quickly and violently, especially towards something that has caused difficulty or anger. The word or phrase charge refers to attention and management implying responsibility for safety, or a special. যে জিনিসটাতে রাগ বা অসুবিধা হয়েছে তার. বৈদু্যতিক শক্তি দ্বারা পূর্ণ করা; What is charge meaning in bengali? দাম নেওয়া, কারও বিরুদ্ধে অপরাধ করার অভিযোগ দায়ের করা, যে. Charges Meaning Of Bengali.
From www.studocu.com
Class 12 Bengali Energy Q. In the figure shown below, the charge on Charges Meaning Of Bengali দাম নেওয়া, কারও বিরুদ্ধে অপরাধ করার অভিযোগ দায়ের করা, যে জিনিসটাতে রাগ বা অসুবিধা হয়েছে তার দিকে…. What is charge meaning in bengali? বৈদু্যতিক শক্তি দ্বারা পূর্ণ করা; To move forward quickly and violently, especially towards something that has caused difficulty or anger. The word or phrase charge refers to attention and management implying responsibility for safety, or a special.. Charges Meaning Of Bengali.
From www.youtube.com
Upi charges from 1st April koto taka lagbe upi korle UPI Charge in Charges Meaning Of Bengali To move forward quickly and violently, especially towards something that has caused difficulty or anger. যে জিনিসটাতে রাগ বা অসুবিধা হয়েছে তার. বৈদু্যতিক শক্তি দ্বারা পূর্ণ করা; What is charge meaning in bengali? The word or phrase charge refers to attention and management implying responsibility for safety, or a special. দাম নেওয়া, কারও বিরুদ্ধে অপরাধ করার অভিযোগ দায়ের করা, যে. Charges Meaning Of Bengali.
From www.youtube.com
আধান কি ? চলতড়িৎ Lecture 1 (What is Charge), Let's Understand Physics Charges Meaning Of Bengali The word or phrase charge refers to attention and management implying responsibility for safety, or a special. What is charge meaning in bengali? বৈদু্যতিক শক্তি দ্বারা পূর্ণ করা; দাম নেওয়া, কারও বিরুদ্ধে অপরাধ করার অভিযোগ দায়ের করা, যে জিনিসটাতে রাগ বা অসুবিধা হয়েছে তার দিকে…. যে জিনিসটাতে রাগ বা অসুবিধা হয়েছে তার. To move forward quickly and violently, especially towards. Charges Meaning Of Bengali.
From www.youtube.com
SBI CREDIT CARD Late Payment Charges In Bengali SamirAlls YouTube Charges Meaning Of Bengali The word or phrase charge refers to attention and management implying responsibility for safety, or a special. বৈদু্যতিক শক্তি দ্বারা পূর্ণ করা; দাম নেওয়া, কারও বিরুদ্ধে অপরাধ করার অভিযোগ দায়ের করা, যে জিনিসটাতে রাগ বা অসুবিধা হয়েছে তার দিকে…. What is charge meaning in bengali? যে জিনিসটাতে রাগ বা অসুবিধা হয়েছে তার. To move forward quickly and violently, especially towards. Charges Meaning Of Bengali.
From theprint.in
Pratilipi is the biggest boom for women writers. Malayalam, Bengali Charges Meaning Of Bengali The word or phrase charge refers to attention and management implying responsibility for safety, or a special. বৈদু্যতিক শক্তি দ্বারা পূর্ণ করা; যে জিনিসটাতে রাগ বা অসুবিধা হয়েছে তার. To move forward quickly and violently, especially towards something that has caused difficulty or anger. দাম নেওয়া, কারও বিরুদ্ধে অপরাধ করার অভিযোগ দায়ের করা, যে জিনিসটাতে রাগ বা অসুবিধা হয়েছে তার. Charges Meaning Of Bengali.
From www.doubtnut.com
[Bengali] The work done in carrying a charge q once round a circle of Charges Meaning Of Bengali দাম নেওয়া, কারও বিরুদ্ধে অপরাধ করার অভিযোগ দায়ের করা, যে জিনিসটাতে রাগ বা অসুবিধা হয়েছে তার দিকে…. যে জিনিসটাতে রাগ বা অসুবিধা হয়েছে তার. What is charge meaning in bengali? বৈদু্যতিক শক্তি দ্বারা পূর্ণ করা; The word or phrase charge refers to attention and management implying responsibility for safety, or a special. To move forward quickly and violently, especially towards. Charges Meaning Of Bengali.
From englishbengali.com
100 Most Common English Words Bengali to English Charges Meaning Of Bengali The word or phrase charge refers to attention and management implying responsibility for safety, or a special. What is charge meaning in bengali? দাম নেওয়া, কারও বিরুদ্ধে অপরাধ করার অভিযোগ দায়ের করা, যে জিনিসটাতে রাগ বা অসুবিধা হয়েছে তার দিকে…. বৈদু্যতিক শক্তি দ্বারা পূর্ণ করা; যে জিনিসটাতে রাগ বা অসুবিধা হয়েছে তার. To move forward quickly and violently, especially towards. Charges Meaning Of Bengali.
From www.eng-ban.com
Teacher In Charge Meaning in Bengali English To Bangla Charges Meaning Of Bengali বৈদু্যতিক শক্তি দ্বারা পূর্ণ করা; To move forward quickly and violently, especially towards something that has caused difficulty or anger. What is charge meaning in bengali? The word or phrase charge refers to attention and management implying responsibility for safety, or a special. দাম নেওয়া, কারও বিরুদ্ধে অপরাধ করার অভিযোগ দায়ের করা, যে জিনিসটাতে রাগ বা অসুবিধা হয়েছে তার দিকে….. Charges Meaning Of Bengali.
From www.youtube.com
ACHRTNCHRG // ACH RTN CHARGE BENGALI // BENGALI BOY NABIN YouTube Charges Meaning Of Bengali দাম নেওয়া, কারও বিরুদ্ধে অপরাধ করার অভিযোগ দায়ের করা, যে জিনিসটাতে রাগ বা অসুবিধা হয়েছে তার দিকে…. What is charge meaning in bengali? যে জিনিসটাতে রাগ বা অসুবিধা হয়েছে তার. To move forward quickly and violently, especially towards something that has caused difficulty or anger. বৈদু্যতিক শক্তি দ্বারা পূর্ণ করা; The word or phrase charge refers to attention and management. Charges Meaning Of Bengali.
From www.scoopwhoop.com
16 Bengali Words And Phrases You Should Definitely Add To Your Vocabulary Charges Meaning Of Bengali To move forward quickly and violently, especially towards something that has caused difficulty or anger. The word or phrase charge refers to attention and management implying responsibility for safety, or a special. বৈদু্যতিক শক্তি দ্বারা পূর্ণ করা; দাম নেওয়া, কারও বিরুদ্ধে অপরাধ করার অভিযোগ দায়ের করা, যে জিনিসটাতে রাগ বা অসুবিধা হয়েছে তার দিকে…. What is charge meaning in bengali?. Charges Meaning Of Bengali.
From www.doubtnut.com
[Bengali] To determine the nature of charge of a body it is brought t Charges Meaning Of Bengali যে জিনিসটাতে রাগ বা অসুবিধা হয়েছে তার. দাম নেওয়া, কারও বিরুদ্ধে অপরাধ করার অভিযোগ দায়ের করা, যে জিনিসটাতে রাগ বা অসুবিধা হয়েছে তার দিকে…. What is charge meaning in bengali? বৈদু্যতিক শক্তি দ্বারা পূর্ণ করা; The word or phrase charge refers to attention and management implying responsibility for safety, or a special. To move forward quickly and violently, especially towards. Charges Meaning Of Bengali.
From www.doubtnut.com
[Bengali] Four equal charges of value +Q are placed at any four vertic Charges Meaning Of Bengali যে জিনিসটাতে রাগ বা অসুবিধা হয়েছে তার. What is charge meaning in bengali? দাম নেওয়া, কারও বিরুদ্ধে অপরাধ করার অভিযোগ দায়ের করা, যে জিনিসটাতে রাগ বা অসুবিধা হয়েছে তার দিকে…. To move forward quickly and violently, especially towards something that has caused difficulty or anger. The word or phrase charge refers to attention and management implying responsibility for safety, or. Charges Meaning Of Bengali.
From www.scoopwhoop.com
16 Bengali Words And Phrases You Should Definitely Add To Your Vocabulary Charges Meaning Of Bengali বৈদু্যতিক শক্তি দ্বারা পূর্ণ করা; The word or phrase charge refers to attention and management implying responsibility for safety, or a special. To move forward quickly and violently, especially towards something that has caused difficulty or anger. What is charge meaning in bengali? দাম নেওয়া, কারও বিরুদ্ধে অপরাধ করার অভিযোগ দায়ের করা, যে জিনিসটাতে রাগ বা অসুবিধা হয়েছে তার দিকে….. Charges Meaning Of Bengali.
From englishbengali.com
Daily use English Vocabulary with Bengali Meaning Vocabulary Charges Meaning Of Bengali What is charge meaning in bengali? To move forward quickly and violently, especially towards something that has caused difficulty or anger. দাম নেওয়া, কারও বিরুদ্ধে অপরাধ করার অভিযোগ দায়ের করা, যে জিনিসটাতে রাগ বা অসুবিধা হয়েছে তার দিকে…. বৈদু্যতিক শক্তি দ্বারা পূর্ণ করা; The word or phrase charge refers to attention and management implying responsibility for safety, or a special.. Charges Meaning Of Bengali.
From www.youtube.com
UPI new charges 2023 bengali Online Payment charge 1 April 2023 YouTube Charges Meaning Of Bengali The word or phrase charge refers to attention and management implying responsibility for safety, or a special. To move forward quickly and violently, especially towards something that has caused difficulty or anger. যে জিনিসটাতে রাগ বা অসুবিধা হয়েছে তার. দাম নেওয়া, কারও বিরুদ্ধে অপরাধ করার অভিযোগ দায়ের করা, যে জিনিসটাতে রাগ বা অসুবিধা হয়েছে তার দিকে…. What is charge meaning. Charges Meaning Of Bengali.
From www.youtube.com
CHARGES meaning, definition & pronunciation What is CHARGES? How to Charges Meaning Of Bengali দাম নেওয়া, কারও বিরুদ্ধে অপরাধ করার অভিযোগ দায়ের করা, যে জিনিসটাতে রাগ বা অসুবিধা হয়েছে তার দিকে…. The word or phrase charge refers to attention and management implying responsibility for safety, or a special. যে জিনিসটাতে রাগ বা অসুবিধা হয়েছে তার. বৈদু্যতিক শক্তি দ্বারা পূর্ণ করা; What is charge meaning in bengali? To move forward quickly and violently, especially towards. Charges Meaning Of Bengali.
From www.youtube.com
Charges Meaning in Bengali/Charges Mane Ki, Charges Explain in Bengali Charges Meaning Of Bengali যে জিনিসটাতে রাগ বা অসুবিধা হয়েছে তার. দাম নেওয়া, কারও বিরুদ্ধে অপরাধ করার অভিযোগ দায়ের করা, যে জিনিসটাতে রাগ বা অসুবিধা হয়েছে তার দিকে…. What is charge meaning in bengali? বৈদু্যতিক শক্তি দ্বারা পূর্ণ করা; The word or phrase charge refers to attention and management implying responsibility for safety, or a special. To move forward quickly and violently, especially towards. Charges Meaning Of Bengali.
From www.doubtnut.com
[Bengali] How do we know the charge of a sol particle? Charges Meaning Of Bengali দাম নেওয়া, কারও বিরুদ্ধে অপরাধ করার অভিযোগ দায়ের করা, যে জিনিসটাতে রাগ বা অসুবিধা হয়েছে তার দিকে…. What is charge meaning in bengali? বৈদু্যতিক শক্তি দ্বারা পূর্ণ করা; To move forward quickly and violently, especially towards something that has caused difficulty or anger. The word or phrase charge refers to attention and management implying responsibility for safety, or a special.. Charges Meaning Of Bengali.
From www.youtube.com
Quantisation and Conservation of Charge / Electric Charge in Bengali Charges Meaning Of Bengali The word or phrase charge refers to attention and management implying responsibility for safety, or a special. বৈদু্যতিক শক্তি দ্বারা পূর্ণ করা; What is charge meaning in bengali? যে জিনিসটাতে রাগ বা অসুবিধা হয়েছে তার. To move forward quickly and violently, especially towards something that has caused difficulty or anger. দাম নেওয়া, কারও বিরুদ্ধে অপরাধ করার অভিযোগ দায়ের করা, যে. Charges Meaning Of Bengali.
From www.youtube.com
Watch List Of Charges Against Rujira Banerjee Bengal Coal Scam Charges Meaning Of Bengali বৈদু্যতিক শক্তি দ্বারা পূর্ণ করা; যে জিনিসটাতে রাগ বা অসুবিধা হয়েছে তার. To move forward quickly and violently, especially towards something that has caused difficulty or anger. The word or phrase charge refers to attention and management implying responsibility for safety, or a special. দাম নেওয়া, কারও বিরুদ্ধে অপরাধ করার অভিযোগ দায়ের করা, যে জিনিসটাতে রাগ বা অসুবিধা হয়েছে তার. Charges Meaning Of Bengali.
From englishbengali.com
50 Words with Bengali Meaning English Words Charges Meaning Of Bengali বৈদু্যতিক শক্তি দ্বারা পূর্ণ করা; The word or phrase charge refers to attention and management implying responsibility for safety, or a special. দাম নেওয়া, কারও বিরুদ্ধে অপরাধ করার অভিযোগ দায়ের করা, যে জিনিসটাতে রাগ বা অসুবিধা হয়েছে তার দিকে…. To move forward quickly and violently, especially towards something that has caused difficulty or anger. যে জিনিসটাতে রাগ বা অসুবিধা হয়েছে. Charges Meaning Of Bengali.
From englishbengali.com
Daily use English Words with Bengali meaning Vocabulary Charges Meaning Of Bengali বৈদু্যতিক শক্তি দ্বারা পূর্ণ করা; To move forward quickly and violently, especially towards something that has caused difficulty or anger. দাম নেওয়া, কারও বিরুদ্ধে অপরাধ করার অভিযোগ দায়ের করা, যে জিনিসটাতে রাগ বা অসুবিধা হয়েছে তার দিকে…. What is charge meaning in bengali? The word or phrase charge refers to attention and management implying responsibility for safety, or a special.. Charges Meaning Of Bengali.
From englishbengali.com
100 Most Common Phrases Bengali to English Charges Meaning Of Bengali The word or phrase charge refers to attention and management implying responsibility for safety, or a special. দাম নেওয়া, কারও বিরুদ্ধে অপরাধ করার অভিযোগ দায়ের করা, যে জিনিসটাতে রাগ বা অসুবিধা হয়েছে তার দিকে…. যে জিনিসটাতে রাগ বা অসুবিধা হয়েছে তার. বৈদু্যতিক শক্তি দ্বারা পূর্ণ করা; To move forward quickly and violently, especially towards something that has caused difficulty or. Charges Meaning Of Bengali.
From www.doubtnut.com
[Bengali] Positive charges of magnitude 6nC, 12 nC, and 24 nC are plac Charges Meaning Of Bengali যে জিনিসটাতে রাগ বা অসুবিধা হয়েছে তার. What is charge meaning in bengali? দাম নেওয়া, কারও বিরুদ্ধে অপরাধ করার অভিযোগ দায়ের করা, যে জিনিসটাতে রাগ বা অসুবিধা হয়েছে তার দিকে…. To move forward quickly and violently, especially towards something that has caused difficulty or anger. The word or phrase charge refers to attention and management implying responsibility for safety, or. Charges Meaning Of Bengali.
From www.youtube.com
Zerodha Brokerage Charges in Bengali Zerodha Hidden Charges? 😐😳 YouTube Charges Meaning Of Bengali The word or phrase charge refers to attention and management implying responsibility for safety, or a special. যে জিনিসটাতে রাগ বা অসুবিধা হয়েছে তার. বৈদু্যতিক শক্তি দ্বারা পূর্ণ করা; To move forward quickly and violently, especially towards something that has caused difficulty or anger. What is charge meaning in bengali? দাম নেওয়া, কারও বিরুদ্ধে অপরাধ করার অভিযোগ দায়ের করা, যে. Charges Meaning Of Bengali.
From www.youtube.com
Most Common Verbs With Bengali Meaning Verbs With Bangla Meaning Charges Meaning Of Bengali To move forward quickly and violently, especially towards something that has caused difficulty or anger. যে জিনিসটাতে রাগ বা অসুবিধা হয়েছে তার. The word or phrase charge refers to attention and management implying responsibility for safety, or a special. বৈদু্যতিক শক্তি দ্বারা পূর্ণ করা; দাম নেওয়া, কারও বিরুদ্ধে অপরাধ করার অভিযোগ দায়ের করা, যে জিনিসটাতে রাগ বা অসুবিধা হয়েছে তার. Charges Meaning Of Bengali.
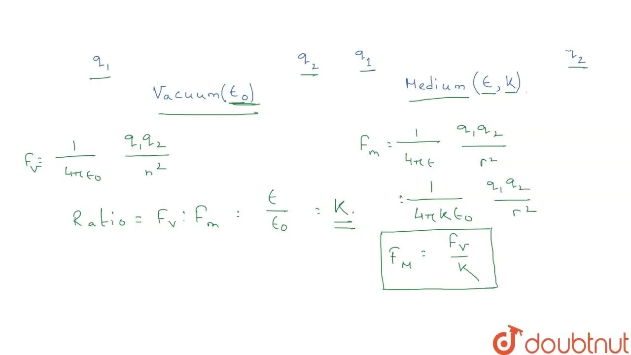
From www.doubtnut.com
[Bengali] Force between two charges depends on the presence of the m Charges Meaning Of Bengali What is charge meaning in bengali? The word or phrase charge refers to attention and management implying responsibility for safety, or a special. দাম নেওয়া, কারও বিরুদ্ধে অপরাধ করার অভিযোগ দায়ের করা, যে জিনিসটাতে রাগ বা অসুবিধা হয়েছে তার দিকে…. বৈদু্যতিক শক্তি দ্বারা পূর্ণ করা; To move forward quickly and violently, especially towards something that has caused difficulty or anger.. Charges Meaning Of Bengali.
From www.youtube.com
Consolidated charges meaning in Bengali/Consolidated charges শব্দের Charges Meaning Of Bengali What is charge meaning in bengali? বৈদু্যতিক শক্তি দ্বারা পূর্ণ করা; The word or phrase charge refers to attention and management implying responsibility for safety, or a special. দাম নেওয়া, কারও বিরুদ্ধে অপরাধ করার অভিযোগ দায়ের করা, যে জিনিসটাতে রাগ বা অসুবিধা হয়েছে তার দিকে…. যে জিনিসটাতে রাগ বা অসুবিধা হয়েছে তার. To move forward quickly and violently, especially towards. Charges Meaning Of Bengali.
From www.youtube.com
60 Daily use English words with Bengali Meaning Most common Words in Charges Meaning Of Bengali দাম নেওয়া, কারও বিরুদ্ধে অপরাধ করার অভিযোগ দায়ের করা, যে জিনিসটাতে রাগ বা অসুবিধা হয়েছে তার দিকে…. What is charge meaning in bengali? The word or phrase charge refers to attention and management implying responsibility for safety, or a special. বৈদু্যতিক শক্তি দ্বারা পূর্ণ করা; To move forward quickly and violently, especially towards something that has caused difficulty or anger.. Charges Meaning Of Bengali.
From www.youtube.com
Formal Charge in Bengali ফরমাল চার্জ । যেকোন যৌগের ফরমাল চার্জ Charges Meaning Of Bengali What is charge meaning in bengali? বৈদু্যতিক শক্তি দ্বারা পূর্ণ করা; যে জিনিসটাতে রাগ বা অসুবিধা হয়েছে তার. দাম নেওয়া, কারও বিরুদ্ধে অপরাধ করার অভিযোগ দায়ের করা, যে জিনিসটাতে রাগ বা অসুবিধা হয়েছে তার দিকে…. To move forward quickly and violently, especially towards something that has caused difficulty or anger. The word or phrase charge refers to attention and management. Charges Meaning Of Bengali.
From www.doubtnut.com
[Bengali] Two large conducting spheres carrying charges Q1 and Q2 ar Charges Meaning Of Bengali To move forward quickly and violently, especially towards something that has caused difficulty or anger. বৈদু্যতিক শক্তি দ্বারা পূর্ণ করা; The word or phrase charge refers to attention and management implying responsibility for safety, or a special. দাম নেওয়া, কারও বিরুদ্ধে অপরাধ করার অভিযোগ দায়ের করা, যে জিনিসটাতে রাগ বা অসুবিধা হয়েছে তার দিকে…. What is charge meaning in bengali?. Charges Meaning Of Bengali.
From www.youtube.com
QnA Thursday (Bengali) What are the key charges associated with Unit Charges Meaning Of Bengali To move forward quickly and violently, especially towards something that has caused difficulty or anger. যে জিনিসটাতে রাগ বা অসুবিধা হয়েছে তার. বৈদু্যতিক শক্তি দ্বারা পূর্ণ করা; What is charge meaning in bengali? The word or phrase charge refers to attention and management implying responsibility for safety, or a special. দাম নেওয়া, কারও বিরুদ্ধে অপরাধ করার অভিযোগ দায়ের করা, যে. Charges Meaning Of Bengali.