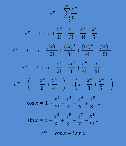
Euler Equation E^ix . a first introduction to statistical significance — through dice rolling and other uncanny examples. the euler formula, sometimes also called the euler identity (e.g., trott 2004, p. A complete guide on the. 174), states e^ (ix)=cosx+isinx, (1). (there is another euler's formula in geometry, here we look at the one used in. Euler’s (pronounced ‘oilers’) formula connects complex exponentials, polar coordinates, and sines. euler's formula for complex numbers. In complex analysis, euler's formula provides a fundamental bridge between the exponential function and the trigonometric functions. as @botond suggested, by using a conjugate method (used to rationalise denominators) as mentioned in.
from www.chegg.com
Euler’s (pronounced ‘oilers’) formula connects complex exponentials, polar coordinates, and sines. a first introduction to statistical significance — through dice rolling and other uncanny examples. euler's formula for complex numbers. (there is another euler's formula in geometry, here we look at the one used in. A complete guide on the. the euler formula, sometimes also called the euler identity (e.g., trott 2004, p. 174), states e^ (ix)=cosx+isinx, (1). In complex analysis, euler's formula provides a fundamental bridge between the exponential function and the trigonometric functions. as @botond suggested, by using a conjugate method (used to rationalise denominators) as mentioned in.
Solved The Euler's formula is giving by e^ix = cos x + I sin
Euler Equation E^ix euler's formula for complex numbers. (there is another euler's formula in geometry, here we look at the one used in. 174), states e^ (ix)=cosx+isinx, (1). euler's formula for complex numbers. the euler formula, sometimes also called the euler identity (e.g., trott 2004, p. A complete guide on the. Euler’s (pronounced ‘oilers’) formula connects complex exponentials, polar coordinates, and sines. In complex analysis, euler's formula provides a fundamental bridge between the exponential function and the trigonometric functions. as @botond suggested, by using a conjugate method (used to rationalise denominators) as mentioned in. a first introduction to statistical significance — through dice rolling and other uncanny examples.
From indiftech.com
Euler's Identity and Formula Derivation and Analysis INDIF Euler Equation E^ix a first introduction to statistical significance — through dice rolling and other uncanny examples. (there is another euler's formula in geometry, here we look at the one used in. as @botond suggested, by using a conjugate method (used to rationalise denominators) as mentioned in. 174), states e^ (ix)=cosx+isinx, (1). the euler formula, sometimes also called the euler. Euler Equation E^ix.
From www.slideserve.com
PPT Mathematical Equations of CFD PowerPoint Presentation, free Euler Equation E^ix (there is another euler's formula in geometry, here we look at the one used in. 174), states e^ (ix)=cosx+isinx, (1). Euler’s (pronounced ‘oilers’) formula connects complex exponentials, polar coordinates, and sines. A complete guide on the. as @botond suggested, by using a conjugate method (used to rationalise denominators) as mentioned in. euler's formula for complex numbers. In complex. Euler Equation E^ix.
From www.youtube.com
Euler's Identity/Euler's Formula/Five Constants YouTube Euler Equation E^ix a first introduction to statistical significance — through dice rolling and other uncanny examples. (there is another euler's formula in geometry, here we look at the one used in. the euler formula, sometimes also called the euler identity (e.g., trott 2004, p. In complex analysis, euler's formula provides a fundamental bridge between the exponential function and the trigonometric. Euler Equation E^ix.
From www.youtube.com
Euler's Formula as a Rotation Matrix YouTube Euler Equation E^ix as @botond suggested, by using a conjugate method (used to rationalise denominators) as mentioned in. (there is another euler's formula in geometry, here we look at the one used in. Euler’s (pronounced ‘oilers’) formula connects complex exponentials, polar coordinates, and sines. a first introduction to statistical significance — through dice rolling and other uncanny examples. euler's formula. Euler Equation E^ix.
From www.youtube.com
Euler's Theory Buckling load / EULER'S FORMULA OF COLUMN YouTube Euler Equation E^ix the euler formula, sometimes also called the euler identity (e.g., trott 2004, p. as @botond suggested, by using a conjugate method (used to rationalise denominators) as mentioned in. A complete guide on the. a first introduction to statistical significance — through dice rolling and other uncanny examples. Euler’s (pronounced ‘oilers’) formula connects complex exponentials, polar coordinates, and. Euler Equation E^ix.
From www.youtube.com
proof of e^ix=cosx+isinx Proof of Euler's formula Euler's formula Euler Equation E^ix In complex analysis, euler's formula provides a fundamental bridge between the exponential function and the trigonometric functions. (there is another euler's formula in geometry, here we look at the one used in. a first introduction to statistical significance — through dice rolling and other uncanny examples. Euler’s (pronounced ‘oilers’) formula connects complex exponentials, polar coordinates, and sines. as. Euler Equation E^ix.
From www.pngkit.com
Interpretation Of E^ix Versus E^x Euler's Formula 1216x1200 PNG Euler Equation E^ix A complete guide on the. a first introduction to statistical significance — through dice rolling and other uncanny examples. the euler formula, sometimes also called the euler identity (e.g., trott 2004, p. 174), states e^ (ix)=cosx+isinx, (1). as @botond suggested, by using a conjugate method (used to rationalise denominators) as mentioned in. (there is another euler's formula. Euler Equation E^ix.
From www.chegg.com
Solved Euler's derivation of e^ix = cos x + i sin x is easy Euler Equation E^ix In complex analysis, euler's formula provides a fundamental bridge between the exponential function and the trigonometric functions. euler's formula for complex numbers. Euler’s (pronounced ‘oilers’) formula connects complex exponentials, polar coordinates, and sines. the euler formula, sometimes also called the euler identity (e.g., trott 2004, p. 174), states e^ (ix)=cosx+isinx, (1). a first introduction to statistical significance. Euler Equation E^ix.
From www.dzre.com
Honors Physics Euler's Formula Euler Equation E^ix In complex analysis, euler's formula provides a fundamental bridge between the exponential function and the trigonometric functions. 174), states e^ (ix)=cosx+isinx, (1). a first introduction to statistical significance — through dice rolling and other uncanny examples. the euler formula, sometimes also called the euler identity (e.g., trott 2004, p. A complete guide on the. Euler’s (pronounced ‘oilers’) formula. Euler Equation E^ix.
From andymath.com
Euler's Formula Euler Equation E^ix the euler formula, sometimes also called the euler identity (e.g., trott 2004, p. (there is another euler's formula in geometry, here we look at the one used in. a first introduction to statistical significance — through dice rolling and other uncanny examples. Euler’s (pronounced ‘oilers’) formula connects complex exponentials, polar coordinates, and sines. as @botond suggested, by. Euler Equation E^ix.
From www.youtube.com
Euler's formula YouTube Euler Equation E^ix as @botond suggested, by using a conjugate method (used to rationalise denominators) as mentioned in. Euler’s (pronounced ‘oilers’) formula connects complex exponentials, polar coordinates, and sines. euler's formula for complex numbers. (there is another euler's formula in geometry, here we look at the one used in. 174), states e^ (ix)=cosx+isinx, (1). the euler formula, sometimes also called. Euler Equation E^ix.
From www.cuemath.com
Euler's Formula Complex Numbers, Polyhedra, Euler's Identity Euler Equation E^ix euler's formula for complex numbers. Euler’s (pronounced ‘oilers’) formula connects complex exponentials, polar coordinates, and sines. In complex analysis, euler's formula provides a fundamental bridge between the exponential function and the trigonometric functions. as @botond suggested, by using a conjugate method (used to rationalise denominators) as mentioned in. a first introduction to statistical significance — through dice. Euler Equation E^ix.
From www.songho.ca
Euler's Equation Euler Equation E^ix Euler’s (pronounced ‘oilers’) formula connects complex exponentials, polar coordinates, and sines. (there is another euler's formula in geometry, here we look at the one used in. A complete guide on the. 174), states e^ (ix)=cosx+isinx, (1). the euler formula, sometimes also called the euler identity (e.g., trott 2004, p. In complex analysis, euler's formula provides a fundamental bridge between. Euler Equation E^ix.
From www.youtube.com
Derivative of e^(ix) deriative of euler's formula YouTube Euler Equation E^ix a first introduction to statistical significance — through dice rolling and other uncanny examples. euler's formula for complex numbers. In complex analysis, euler's formula provides a fundamental bridge between the exponential function and the trigonometric functions. A complete guide on the. as @botond suggested, by using a conjugate method (used to rationalise denominators) as mentioned in. 174),. Euler Equation E^ix.
From studylib.net
Euler`s formula Euler Equation E^ix a first introduction to statistical significance — through dice rolling and other uncanny examples. (there is another euler's formula in geometry, here we look at the one used in. Euler’s (pronounced ‘oilers’) formula connects complex exponentials, polar coordinates, and sines. as @botond suggested, by using a conjugate method (used to rationalise denominators) as mentioned in. the euler. Euler Equation E^ix.
From quantumartist.blogspot.com
The Art of Quantum Mechanics Euler's Identity The Gold Standard of Euler Equation E^ix A complete guide on the. euler's formula for complex numbers. a first introduction to statistical significance — through dice rolling and other uncanny examples. Euler’s (pronounced ‘oilers’) formula connects complex exponentials, polar coordinates, and sines. (there is another euler's formula in geometry, here we look at the one used in. as @botond suggested, by using a conjugate. Euler Equation E^ix.
From www.youtube.com
Euler's Equation Proves Trigonometric Formula YouTube Euler Equation E^ix A complete guide on the. the euler formula, sometimes also called the euler identity (e.g., trott 2004, p. 174), states e^ (ix)=cosx+isinx, (1). as @botond suggested, by using a conjugate method (used to rationalise denominators) as mentioned in. (there is another euler's formula in geometry, here we look at the one used in. a first introduction to. Euler Equation E^ix.
From www.chegg.com
Solved The Euler's formula is giving by e^ix = cos x + I sin Euler Equation E^ix a first introduction to statistical significance — through dice rolling and other uncanny examples. (there is another euler's formula in geometry, here we look at the one used in. euler's formula for complex numbers. the euler formula, sometimes also called the euler identity (e.g., trott 2004, p. as @botond suggested, by using a conjugate method (used. Euler Equation E^ix.
From www.youtube.com
Deriving The Euler Equation YouTube Euler Equation E^ix In complex analysis, euler's formula provides a fundamental bridge between the exponential function and the trigonometric functions. (there is another euler's formula in geometry, here we look at the one used in. the euler formula, sometimes also called the euler identity (e.g., trott 2004, p. as @botond suggested, by using a conjugate method (used to rationalise denominators) as. Euler Equation E^ix.
From www.grc.nasa.gov
Euler Equations Euler Equation E^ix 174), states e^ (ix)=cosx+isinx, (1). a first introduction to statistical significance — through dice rolling and other uncanny examples. A complete guide on the. (there is another euler's formula in geometry, here we look at the one used in. Euler’s (pronounced ‘oilers’) formula connects complex exponentials, polar coordinates, and sines. as @botond suggested, by using a conjugate method. Euler Equation E^ix.
From www.slideserve.com
PPT Mathematics PowerPoint Presentation, free download ID792945 Euler Equation E^ix euler's formula for complex numbers. as @botond suggested, by using a conjugate method (used to rationalise denominators) as mentioned in. 174), states e^ (ix)=cosx+isinx, (1). In complex analysis, euler's formula provides a fundamental bridge between the exponential function and the trigonometric functions. the euler formula, sometimes also called the euler identity (e.g., trott 2004, p. A complete. Euler Equation E^ix.
From indiftech.com
Euler's Identity and Formula Derivation and Analysis INDIF Euler Equation E^ix euler's formula for complex numbers. the euler formula, sometimes also called the euler identity (e.g., trott 2004, p. a first introduction to statistical significance — through dice rolling and other uncanny examples. 174), states e^ (ix)=cosx+isinx, (1). (there is another euler's formula in geometry, here we look at the one used in. Euler’s (pronounced ‘oilers’) formula connects. Euler Equation E^ix.
From www.chegg.com
Solved The Euler's formula is giving by e^ix = cos x + isin Euler Equation E^ix Euler’s (pronounced ‘oilers’) formula connects complex exponentials, polar coordinates, and sines. In complex analysis, euler's formula provides a fundamental bridge between the exponential function and the trigonometric functions. a first introduction to statistical significance — through dice rolling and other uncanny examples. (there is another euler's formula in geometry, here we look at the one used in. as. Euler Equation E^ix.
From www.youtube.com
រូបមន្តអួល្លើ (Euler's Formula) e^(ix)=cos(x)+i*sin(x) YouTube Euler Equation E^ix (there is another euler's formula in geometry, here we look at the one used in. Euler’s (pronounced ‘oilers’) formula connects complex exponentials, polar coordinates, and sines. a first introduction to statistical significance — through dice rolling and other uncanny examples. as @botond suggested, by using a conjugate method (used to rationalise denominators) as mentioned in. 174), states e^. Euler Equation E^ix.
From en.neurochispas.com
Euler's Formula for Complex Numbers Neurochispas Euler Equation E^ix as @botond suggested, by using a conjugate method (used to rationalise denominators) as mentioned in. (there is another euler's formula in geometry, here we look at the one used in. In complex analysis, euler's formula provides a fundamental bridge between the exponential function and the trigonometric functions. the euler formula, sometimes also called the euler identity (e.g., trott. Euler Equation E^ix.
From www.youtube.com
Euler's exponential values of Sine and Cosine Exponential values of Euler Equation E^ix Euler’s (pronounced ‘oilers’) formula connects complex exponentials, polar coordinates, and sines. A complete guide on the. In complex analysis, euler's formula provides a fundamental bridge between the exponential function and the trigonometric functions. as @botond suggested, by using a conjugate method (used to rationalise denominators) as mentioned in. 174), states e^ (ix)=cosx+isinx, (1). (there is another euler's formula in. Euler Equation E^ix.
From www.slideserve.com
PPT Euler’s Equation PowerPoint Presentation, free download ID324004 Euler Equation E^ix In complex analysis, euler's formula provides a fundamental bridge between the exponential function and the trigonometric functions. A complete guide on the. Euler’s (pronounced ‘oilers’) formula connects complex exponentials, polar coordinates, and sines. the euler formula, sometimes also called the euler identity (e.g., trott 2004, p. 174), states e^ (ix)=cosx+isinx, (1). (there is another euler's formula in geometry, here. Euler Equation E^ix.
From www.numerade.com
SOLVED Exercise 1. Use Euler's formula to prove the following formulas Euler Equation E^ix the euler formula, sometimes also called the euler identity (e.g., trott 2004, p. euler's formula for complex numbers. 174), states e^ (ix)=cosx+isinx, (1). as @botond suggested, by using a conjugate method (used to rationalise denominators) as mentioned in. In complex analysis, euler's formula provides a fundamental bridge between the exponential function and the trigonometric functions. A complete. Euler Equation E^ix.
From www.youtube.com
Finding Euler's Formula cos(x) = (e^ix+eix)/2 using Differential Euler Equation E^ix as @botond suggested, by using a conjugate method (used to rationalise denominators) as mentioned in. (there is another euler's formula in geometry, here we look at the one used in. A complete guide on the. euler's formula for complex numbers. a first introduction to statistical significance — through dice rolling and other uncanny examples. 174), states e^. Euler Equation E^ix.
From www.livescience.com
Euler’s Identity 'The Most Beautiful Equation' Live Science Euler Equation E^ix the euler formula, sometimes also called the euler identity (e.g., trott 2004, p. a first introduction to statistical significance — through dice rolling and other uncanny examples. In complex analysis, euler's formula provides a fundamental bridge between the exponential function and the trigonometric functions. 174), states e^ (ix)=cosx+isinx, (1). (there is another euler's formula in geometry, here we. Euler Equation E^ix.
From www.youtube.com
An Equation with Euler's Number YouTube Euler Equation E^ix a first introduction to statistical significance — through dice rolling and other uncanny examples. In complex analysis, euler's formula provides a fundamental bridge between the exponential function and the trigonometric functions. euler's formula for complex numbers. as @botond suggested, by using a conjugate method (used to rationalise denominators) as mentioned in. A complete guide on the. . Euler Equation E^ix.
From www.alamy.com
Euler’s formula explained on a chalkboard Stock Photo Alamy Euler Equation E^ix as @botond suggested, by using a conjugate method (used to rationalise denominators) as mentioned in. In complex analysis, euler's formula provides a fundamental bridge between the exponential function and the trigonometric functions. (there is another euler's formula in geometry, here we look at the one used in. the euler formula, sometimes also called the euler identity (e.g., trott. Euler Equation E^ix.
From www.youtube.com
Daily FE Exam Prep Algebra of Complex Numbers Lesson 05 Euler's Euler Equation E^ix In complex analysis, euler's formula provides a fundamental bridge between the exponential function and the trigonometric functions. (there is another euler's formula in geometry, here we look at the one used in. euler's formula for complex numbers. A complete guide on the. Euler’s (pronounced ‘oilers’) formula connects complex exponentials, polar coordinates, and sines. 174), states e^ (ix)=cosx+isinx, (1). . Euler Equation E^ix.
From www.songho.ca
Euler's Equation Euler Equation E^ix as @botond suggested, by using a conjugate method (used to rationalise denominators) as mentioned in. (there is another euler's formula in geometry, here we look at the one used in. euler's formula for complex numbers. the euler formula, sometimes also called the euler identity (e.g., trott 2004, p. 174), states e^ (ix)=cosx+isinx, (1). a first introduction. Euler Equation E^ix.
From twitter.com
Fermat's Library on Twitter "Euler's Identity is a special case of Euler Equation E^ix the euler formula, sometimes also called the euler identity (e.g., trott 2004, p. as @botond suggested, by using a conjugate method (used to rationalise denominators) as mentioned in. (there is another euler's formula in geometry, here we look at the one used in. In complex analysis, euler's formula provides a fundamental bridge between the exponential function and the. Euler Equation E^ix.