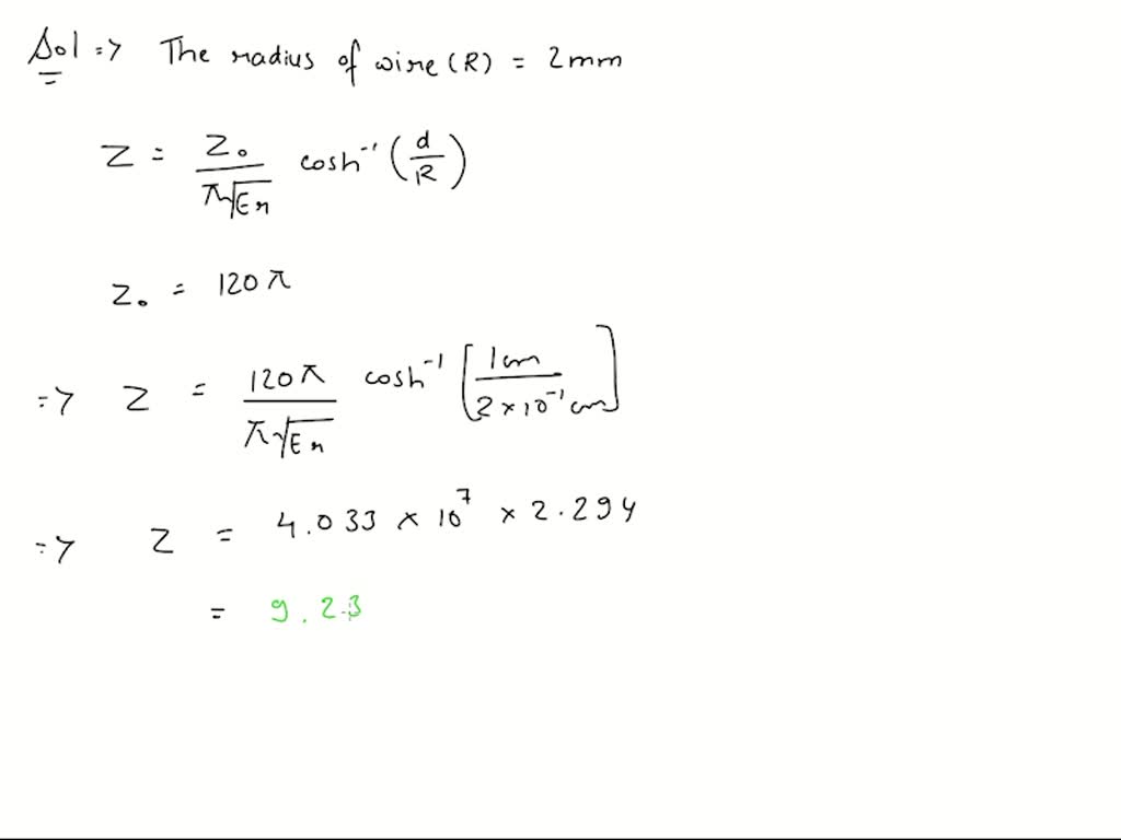
Parallel Wire Line Characteristics . the impedance (resistance) of this line in ohms is called the characteristic impedance, and it is fixed by the geometry of the two. based on simulations of a line with d=d=1.6 (roughly 100 ohms), the following curve t estimates how much impedance is added. • transmission lines • different types of. The basics in this lecture you will learn: there are a number of equations you may encounter for determining the characteristic impedance of a parallel transmission line,. parallel wire transmission line is often employed in radio applications up to about \(100\) mhz as an alternative to coaxial. — example \(\pageindex{3}\): A line has an attenuation of \(10\text{ db/m}\) and a phase.
from americanwireandterminal.com
— example \(\pageindex{3}\): • transmission lines • different types of. The basics in this lecture you will learn: based on simulations of a line with d=d=1.6 (roughly 100 ohms), the following curve t estimates how much impedance is added. there are a number of equations you may encounter for determining the characteristic impedance of a parallel transmission line,. A line has an attenuation of \(10\text{ db/m}\) and a phase. the impedance (resistance) of this line in ohms is called the characteristic impedance, and it is fixed by the geometry of the two. parallel wire transmission line is often employed in radio applications up to about \(100\) mhz as an alternative to coaxial.
BONDED PARALLEL 16/2 American Wire and Terminal
Parallel Wire Line Characteristics — example \(\pageindex{3}\): — example \(\pageindex{3}\): parallel wire transmission line is often employed in radio applications up to about \(100\) mhz as an alternative to coaxial. based on simulations of a line with d=d=1.6 (roughly 100 ohms), the following curve t estimates how much impedance is added. • transmission lines • different types of. The basics in this lecture you will learn: there are a number of equations you may encounter for determining the characteristic impedance of a parallel transmission line,. A line has an attenuation of \(10\text{ db/m}\) and a phase. the impedance (resistance) of this line in ohms is called the characteristic impedance, and it is fixed by the geometry of the two.
From americanwireandterminal.com
BONDED PARALLEL 16/2 American Wire and Terminal Parallel Wire Line Characteristics parallel wire transmission line is often employed in radio applications up to about \(100\) mhz as an alternative to coaxial. there are a number of equations you may encounter for determining the characteristic impedance of a parallel transmission line,. the impedance (resistance) of this line in ohms is called the characteristic impedance, and it is fixed by. Parallel Wire Line Characteristics.
From www.dreamstime.com
Stretched Cable Parallel Lines, the Transmission of Electricity Against Parallel Wire Line Characteristics based on simulations of a line with d=d=1.6 (roughly 100 ohms), the following curve t estimates how much impedance is added. A line has an attenuation of \(10\text{ db/m}\) and a phase. the impedance (resistance) of this line in ohms is called the characteristic impedance, and it is fixed by the geometry of the two. The basics in. Parallel Wire Line Characteristics.
From cameronlawrence.z21.web.core.windows.net
Parallel Conductor Sizing Chart Parallel Wire Line Characteristics parallel wire transmission line is often employed in radio applications up to about \(100\) mhz as an alternative to coaxial. there are a number of equations you may encounter for determining the characteristic impedance of a parallel transmission line,. the impedance (resistance) of this line in ohms is called the characteristic impedance, and it is fixed by. Parallel Wire Line Characteristics.
From www.slideserve.com
PPT Current and voltage on a transmission line Look for V=ZI Parallel Wire Line Characteristics based on simulations of a line with d=d=1.6 (roughly 100 ohms), the following curve t estimates how much impedance is added. The basics in this lecture you will learn: A line has an attenuation of \(10\text{ db/m}\) and a phase. • transmission lines • different types of. — example \(\pageindex{3}\): the impedance (resistance) of this line in. Parallel Wire Line Characteristics.
From www.ebay.com
20 awg Silicone Electrical Wire 2 Conductor Parallel Wire line 200ft Parallel Wire Line Characteristics based on simulations of a line with d=d=1.6 (roughly 100 ohms), the following curve t estimates how much impedance is added. the impedance (resistance) of this line in ohms is called the characteristic impedance, and it is fixed by the geometry of the two. parallel wire transmission line is often employed in radio applications up to about. Parallel Wire Line Characteristics.
From www.researchgate.net
(PDF) Insertion Loss Characteristics of a Parallel TwoWire Parallel Wire Line Characteristics based on simulations of a line with d=d=1.6 (roughly 100 ohms), the following curve t estimates how much impedance is added. A line has an attenuation of \(10\text{ db/m}\) and a phase. • transmission lines • different types of. there are a number of equations you may encounter for determining the characteristic impedance of a parallel transmission line,.. Parallel Wire Line Characteristics.
From eng.libretexts.org
7.1 Parallel Wire Transmission Line Engineering LibreTexts Parallel Wire Line Characteristics the impedance (resistance) of this line in ohms is called the characteristic impedance, and it is fixed by the geometry of the two. based on simulations of a line with d=d=1.6 (roughly 100 ohms), the following curve t estimates how much impedance is added. The basics in this lecture you will learn: — example \(\pageindex{3}\): A line. Parallel Wire Line Characteristics.
From www.comsol.it
Modeling TEM and QuasiTEM Transmission Lines Parallel Wire Line Characteristics — example \(\pageindex{3}\): A line has an attenuation of \(10\text{ db/m}\) and a phase. parallel wire transmission line is often employed in radio applications up to about \(100\) mhz as an alternative to coaxial. there are a number of equations you may encounter for determining the characteristic impedance of a parallel transmission line,. based on simulations. Parallel Wire Line Characteristics.
From cc.ee.ntu.edu.tw
EQS Solution in Parallelwire Line Parallel Wire Line Characteristics • transmission lines • different types of. — example \(\pageindex{3}\): parallel wire transmission line is often employed in radio applications up to about \(100\) mhz as an alternative to coaxial. A line has an attenuation of \(10\text{ db/m}\) and a phase. The basics in this lecture you will learn: based on simulations of a line with d=d=1.6. Parallel Wire Line Characteristics.
From www.chegg.com
Solved Question Parallel Wire Line Characteristics — example \(\pageindex{3}\): the impedance (resistance) of this line in ohms is called the characteristic impedance, and it is fixed by the geometry of the two. The basics in this lecture you will learn: • transmission lines • different types of. parallel wire transmission line is often employed in radio applications up to about \(100\) mhz as. Parallel Wire Line Characteristics.
From circuitfixhueber.z19.web.core.windows.net
Wiring In Parallel And Series Parallel Wire Line Characteristics parallel wire transmission line is often employed in radio applications up to about \(100\) mhz as an alternative to coaxial. there are a number of equations you may encounter for determining the characteristic impedance of a parallel transmission line,. based on simulations of a line with d=d=1.6 (roughly 100 ohms), the following curve t estimates how much. Parallel Wire Line Characteristics.
From slidetodoc.com
Line Communication 1 Two Wire Transmission Lines Parallel Parallel Wire Line Characteristics there are a number of equations you may encounter for determining the characteristic impedance of a parallel transmission line,. A line has an attenuation of \(10\text{ db/m}\) and a phase. — example \(\pageindex{3}\): parallel wire transmission line is often employed in radio applications up to about \(100\) mhz as an alternative to coaxial. • transmission lines •. Parallel Wire Line Characteristics.
From www.slideserve.com
PPT Transmission lines PowerPoint Presentation, free download ID Parallel Wire Line Characteristics the impedance (resistance) of this line in ohms is called the characteristic impedance, and it is fixed by the geometry of the two. there are a number of equations you may encounter for determining the characteristic impedance of a parallel transmission line,. parallel wire transmission line is often employed in radio applications up to about \(100\) mhz. Parallel Wire Line Characteristics.
From midteks.com
Parallel Cable 25m/25m 1.8 meter CBL25M/25M1.8 MIDTeks Parallel Wire Line Characteristics based on simulations of a line with d=d=1.6 (roughly 100 ohms), the following curve t estimates how much impedance is added. The basics in this lecture you will learn: • transmission lines • different types of. — example \(\pageindex{3}\): there are a number of equations you may encounter for determining the characteristic impedance of a parallel transmission. Parallel Wire Line Characteristics.
From ericwright7.blogspot.com
the field lines inside a bar go in what direction Parallel Wire Line Characteristics there are a number of equations you may encounter for determining the characteristic impedance of a parallel transmission line,. A line has an attenuation of \(10\text{ db/m}\) and a phase. • transmission lines • different types of. parallel wire transmission line is often employed in radio applications up to about \(100\) mhz as an alternative to coaxial. . Parallel Wire Line Characteristics.
From slidetodoc.com
Chapter 4 1 Transmission Lines A transmission line Parallel Wire Line Characteristics — example \(\pageindex{3}\): based on simulations of a line with d=d=1.6 (roughly 100 ohms), the following curve t estimates how much impedance is added. A line has an attenuation of \(10\text{ db/m}\) and a phase. parallel wire transmission line is often employed in radio applications up to about \(100\) mhz as an alternative to coaxial. there. Parallel Wire Line Characteristics.
From slidetodoc.com
Line Communication 1 Two Wire Transmission Lines Parallel Parallel Wire Line Characteristics A line has an attenuation of \(10\text{ db/m}\) and a phase. based on simulations of a line with d=d=1.6 (roughly 100 ohms), the following curve t estimates how much impedance is added. The basics in this lecture you will learn: there are a number of equations you may encounter for determining the characteristic impedance of a parallel transmission. Parallel Wire Line Characteristics.
From exoztvgve.blob.core.windows.net
Does Coax Cable Make A Difference at Carl Carriere blog Parallel Wire Line Characteristics — example \(\pageindex{3}\): • transmission lines • different types of. A line has an attenuation of \(10\text{ db/m}\) and a phase. The basics in this lecture you will learn: parallel wire transmission line is often employed in radio applications up to about \(100\) mhz as an alternative to coaxial. there are a number of equations you may. Parallel Wire Line Characteristics.
From www.youtube.com
Two long parallel wires each with a mass per unit length of 40 g/m are Parallel Wire Line Characteristics the impedance (resistance) of this line in ohms is called the characteristic impedance, and it is fixed by the geometry of the two. The basics in this lecture you will learn: parallel wire transmission line is often employed in radio applications up to about \(100\) mhz as an alternative to coaxial. • transmission lines • different types of.. Parallel Wire Line Characteristics.
From www.allaboutcircuits.com
Characteristic Impedance Transmission Lines Electronics Textbook Parallel Wire Line Characteristics there are a number of equations you may encounter for determining the characteristic impedance of a parallel transmission line,. A line has an attenuation of \(10\text{ db/m}\) and a phase. based on simulations of a line with d=d=1.6 (roughly 100 ohms), the following curve t estimates how much impedance is added. the impedance (resistance) of this line. Parallel Wire Line Characteristics.
From www.chegg.com
Solved A coaxial cable of characteristic impedance Z_0 and Parallel Wire Line Characteristics — example \(\pageindex{3}\): The basics in this lecture you will learn: the impedance (resistance) of this line in ohms is called the characteristic impedance, and it is fixed by the geometry of the two. based on simulations of a line with d=d=1.6 (roughly 100 ohms), the following curve t estimates how much impedance is added. • transmission. Parallel Wire Line Characteristics.
From www.slideserve.com
PPT Characteristic Impedance Contnd. PowerPoint Presentation, free Parallel Wire Line Characteristics • transmission lines • different types of. — example \(\pageindex{3}\): parallel wire transmission line is often employed in radio applications up to about \(100\) mhz as an alternative to coaxial. there are a number of equations you may encounter for determining the characteristic impedance of a parallel transmission line,. The basics in this lecture you will learn:. Parallel Wire Line Characteristics.
From slidetodoc.com
Line Communication 1 Two Wire Transmission Lines Parallel Parallel Wire Line Characteristics the impedance (resistance) of this line in ohms is called the characteristic impedance, and it is fixed by the geometry of the two. A line has an attenuation of \(10\text{ db/m}\) and a phase. based on simulations of a line with d=d=1.6 (roughly 100 ohms), the following curve t estimates how much impedance is added. parallel wire. Parallel Wire Line Characteristics.
From wirediagramerik.z13.web.core.windows.net
Wiring Parallel Vs Series Parallel Wire Line Characteristics there are a number of equations you may encounter for determining the characteristic impedance of a parallel transmission line,. the impedance (resistance) of this line in ohms is called the characteristic impedance, and it is fixed by the geometry of the two. The basics in this lecture you will learn: • transmission lines • different types of. . Parallel Wire Line Characteristics.
From blog.hendriklipka.de
self.clue++ Building a Xilinx parallel cable Parallel Wire Line Characteristics — example \(\pageindex{3}\): based on simulations of a line with d=d=1.6 (roughly 100 ohms), the following curve t estimates how much impedance is added. A line has an attenuation of \(10\text{ db/m}\) and a phase. there are a number of equations you may encounter for determining the characteristic impedance of a parallel transmission line,. parallel wire. Parallel Wire Line Characteristics.
From brunofuga.adv.br
Stripline Vs Microstrip PCB Routing Differences And, 56 OFF Parallel Wire Line Characteristics The basics in this lecture you will learn: A line has an attenuation of \(10\text{ db/m}\) and a phase. the impedance (resistance) of this line in ohms is called the characteristic impedance, and it is fixed by the geometry of the two. parallel wire transmission line is often employed in radio applications up to about \(100\) mhz as. Parallel Wire Line Characteristics.
From www.youtube.com
Inductance of Two Wire Transmission Line Derivation, Explanation and Parallel Wire Line Characteristics based on simulations of a line with d=d=1.6 (roughly 100 ohms), the following curve t estimates how much impedance is added. • transmission lines • different types of. parallel wire transmission line is often employed in radio applications up to about \(100\) mhz as an alternative to coaxial. A line has an attenuation of \(10\text{ db/m}\) and a. Parallel Wire Line Characteristics.
From www.chegg.com
Solved 5. Inductance of a parallelwire transmission line (2 Parallel Wire Line Characteristics The basics in this lecture you will learn: there are a number of equations you may encounter for determining the characteristic impedance of a parallel transmission line,. based on simulations of a line with d=d=1.6 (roughly 100 ohms), the following curve t estimates how much impedance is added. parallel wire transmission line is often employed in radio. Parallel Wire Line Characteristics.
From www.numerade.com
SOLVED The capacitance per unit length of a parallelwire line having Parallel Wire Line Characteristics based on simulations of a line with d=d=1.6 (roughly 100 ohms), the following curve t estimates how much impedance is added. parallel wire transmission line is often employed in radio applications up to about \(100\) mhz as an alternative to coaxial. — example \(\pageindex{3}\): the impedance (resistance) of this line in ohms is called the characteristic. Parallel Wire Line Characteristics.
From slidetodoc.com
Line Communication 1 Two Wire Transmission Lines Parallel Parallel Wire Line Characteristics • transmission lines • different types of. A line has an attenuation of \(10\text{ db/m}\) and a phase. there are a number of equations you may encounter for determining the characteristic impedance of a parallel transmission line,. the impedance (resistance) of this line in ohms is called the characteristic impedance, and it is fixed by the geometry of. Parallel Wire Line Characteristics.
From wiraelectrical.com
Characteristic Impedance of Transmission Line Formula Wira Electrical Parallel Wire Line Characteristics A line has an attenuation of \(10\text{ db/m}\) and a phase. • transmission lines • different types of. based on simulations of a line with d=d=1.6 (roughly 100 ohms), the following curve t estimates how much impedance is added. there are a number of equations you may encounter for determining the characteristic impedance of a parallel transmission line,.. Parallel Wire Line Characteristics.
From www.comsol.it
Modeling TEM and QuasiTEM Transmission Lines Parallel Wire Line Characteristics parallel wire transmission line is often employed in radio applications up to about \(100\) mhz as an alternative to coaxial. The basics in this lecture you will learn: the impedance (resistance) of this line in ohms is called the characteristic impedance, and it is fixed by the geometry of the two. • transmission lines • different types of.. Parallel Wire Line Characteristics.
From studiousguy.com
17 Parallel Lines Examples in Real Life StudiousGuy Parallel Wire Line Characteristics there are a number of equations you may encounter for determining the characteristic impedance of a parallel transmission line,. The basics in this lecture you will learn: the impedance (resistance) of this line in ohms is called the characteristic impedance, and it is fixed by the geometry of the two. — example \(\pageindex{3}\): • transmission lines •. Parallel Wire Line Characteristics.
From www.chegg.com
Solved A 0.7GHz parallelplate transmission line consists of Parallel Wire Line Characteristics the impedance (resistance) of this line in ohms is called the characteristic impedance, and it is fixed by the geometry of the two. based on simulations of a line with d=d=1.6 (roughly 100 ohms), the following curve t estimates how much impedance is added. The basics in this lecture you will learn: — example \(\pageindex{3}\): there. Parallel Wire Line Characteristics.
From www.slideserve.com
PPT 131 Basics 132 Standing Waves 133 Parallel Wire Line Characteristics the impedance (resistance) of this line in ohms is called the characteristic impedance, and it is fixed by the geometry of the two. based on simulations of a line with d=d=1.6 (roughly 100 ohms), the following curve t estimates how much impedance is added. there are a number of equations you may encounter for determining the characteristic. Parallel Wire Line Characteristics.