A Compound Microscope Uses An Objective Of Focal Length 4Cm . 1 a simple positive lens) which makes a real, inverted. the focal length of the objective lens of a compound microscope is 0.02 m and that of the eyepiece is 0.04 m. in a compound microscope, the focal length of the objective lens is 1.2 cm and the focal length of the eyepiece is 3 cm. the first element of the compound microscope is an objective (in figure 3.8.1 3.8. a compound microscope uses an objective lens of focal length 4 c m and eyepiece lens of focal length 10 c m. a compound microscope uses an objective lens of focal length 4 cm and eyepiece lens of focal length 10 cm.
from www.saxon.com.au
in a compound microscope, the focal length of the objective lens is 1.2 cm and the focal length of the eyepiece is 3 cm. a compound microscope uses an objective lens of focal length 4 cm and eyepiece lens of focal length 10 cm. the first element of the compound microscope is an objective (in figure 3.8.1 3.8. a compound microscope uses an objective lens of focal length 4 c m and eyepiece lens of focal length 10 c m. the focal length of the objective lens of a compound microscope is 0.02 m and that of the eyepiece is 0.04 m. 1 a simple positive lens) which makes a real, inverted.
saxon Microscope Buying Guide
A Compound Microscope Uses An Objective Of Focal Length 4Cm 1 a simple positive lens) which makes a real, inverted. a compound microscope uses an objective lens of focal length 4 cm and eyepiece lens of focal length 10 cm. the focal length of the objective lens of a compound microscope is 0.02 m and that of the eyepiece is 0.04 m. the first element of the compound microscope is an objective (in figure 3.8.1 3.8. in a compound microscope, the focal length of the objective lens is 1.2 cm and the focal length of the eyepiece is 3 cm. 1 a simple positive lens) which makes a real, inverted. a compound microscope uses an objective lens of focal length 4 c m and eyepiece lens of focal length 10 c m.
From microscopy4kids.org
What is a Microscope? Microscopy4kids A Compound Microscope Uses An Objective Of Focal Length 4Cm a compound microscope uses an objective lens of focal length 4 c m and eyepiece lens of focal length 10 c m. 1 a simple positive lens) which makes a real, inverted. in a compound microscope, the focal length of the objective lens is 1.2 cm and the focal length of the eyepiece is 3 cm. the. A Compound Microscope Uses An Objective Of Focal Length 4Cm.
From www.chegg.com
Solved In a compound microscope, the focal length of the A Compound Microscope Uses An Objective Of Focal Length 4Cm a compound microscope uses an objective lens of focal length 4 c m and eyepiece lens of focal length 10 c m. a compound microscope uses an objective lens of focal length 4 cm and eyepiece lens of focal length 10 cm. the first element of the compound microscope is an objective (in figure 3.8.1 3.8. 1. A Compound Microscope Uses An Objective Of Focal Length 4Cm.
From www.teachoo.com
[Term 2] (a) Draw a ray diagram of compound microscope for final image A Compound Microscope Uses An Objective Of Focal Length 4Cm a compound microscope uses an objective lens of focal length 4 c m and eyepiece lens of focal length 10 c m. 1 a simple positive lens) which makes a real, inverted. in a compound microscope, the focal length of the objective lens is 1.2 cm and the focal length of the eyepiece is 3 cm. the. A Compound Microscope Uses An Objective Of Focal Length 4Cm.
From brainly.in
A compound microscope uses an objective of focal length 4cm Brainly.in A Compound Microscope Uses An Objective Of Focal Length 4Cm in a compound microscope, the focal length of the objective lens is 1.2 cm and the focal length of the eyepiece is 3 cm. the first element of the compound microscope is an objective (in figure 3.8.1 3.8. the focal length of the objective lens of a compound microscope is 0.02 m and that of the eyepiece. A Compound Microscope Uses An Objective Of Focal Length 4Cm.
From www.aakash.ac.in
Compound Microscope Diagram, Parts, Working & Magnification AESL A Compound Microscope Uses An Objective Of Focal Length 4Cm a compound microscope uses an objective lens of focal length 4 c m and eyepiece lens of focal length 10 c m. a compound microscope uses an objective lens of focal length 4 cm and eyepiece lens of focal length 10 cm. the focal length of the objective lens of a compound microscope is 0.02 m and. A Compound Microscope Uses An Objective Of Focal Length 4Cm.
From www.toppr.com
the focal length of objective lens and eyepiece for a compound A Compound Microscope Uses An Objective Of Focal Length 4Cm the first element of the compound microscope is an objective (in figure 3.8.1 3.8. in a compound microscope, the focal length of the objective lens is 1.2 cm and the focal length of the eyepiece is 3 cm. a compound microscope uses an objective lens of focal length 4 c m and eyepiece lens of focal length. A Compound Microscope Uses An Objective Of Focal Length 4Cm.
From www.toppr.com
In a compound microscope focal length of objective and eyepiece lens is A Compound Microscope Uses An Objective Of Focal Length 4Cm a compound microscope uses an objective lens of focal length 4 cm and eyepiece lens of focal length 10 cm. the focal length of the objective lens of a compound microscope is 0.02 m and that of the eyepiece is 0.04 m. 1 a simple positive lens) which makes a real, inverted. in a compound microscope, the. A Compound Microscope Uses An Objective Of Focal Length 4Cm.
From askfilo.com
A compound microscope has an objective of focal length 4 mm and an eyepi.. A Compound Microscope Uses An Objective Of Focal Length 4Cm 1 a simple positive lens) which makes a real, inverted. in a compound microscope, the focal length of the objective lens is 1.2 cm and the focal length of the eyepiece is 3 cm. a compound microscope uses an objective lens of focal length 4 cm and eyepiece lens of focal length 10 cm. a compound microscope. A Compound Microscope Uses An Objective Of Focal Length 4Cm.
From exohacfcj.blob.core.windows.net
Microscope Magnification Focal Length at Sharon Fowler blog A Compound Microscope Uses An Objective Of Focal Length 4Cm in a compound microscope, the focal length of the objective lens is 1.2 cm and the focal length of the eyepiece is 3 cm. a compound microscope uses an objective lens of focal length 4 c m and eyepiece lens of focal length 10 c m. 1 a simple positive lens) which makes a real, inverted. a. A Compound Microscope Uses An Objective Of Focal Length 4Cm.
From www.saxon.com.au
saxon Microscope Buying Guide A Compound Microscope Uses An Objective Of Focal Length 4Cm 1 a simple positive lens) which makes a real, inverted. the first element of the compound microscope is an objective (in figure 3.8.1 3.8. in a compound microscope, the focal length of the objective lens is 1.2 cm and the focal length of the eyepiece is 3 cm. a compound microscope uses an objective lens of focal. A Compound Microscope Uses An Objective Of Focal Length 4Cm.
From dxoobxyhr.blob.core.windows.net
In Compound Microscope Both The Lenses Are Of Short Focal Length at A Compound Microscope Uses An Objective Of Focal Length 4Cm a compound microscope uses an objective lens of focal length 4 c m and eyepiece lens of focal length 10 c m. a compound microscope uses an objective lens of focal length 4 cm and eyepiece lens of focal length 10 cm. in a compound microscope, the focal length of the objective lens is 1.2 cm and. A Compound Microscope Uses An Objective Of Focal Length 4Cm.
From kunduz.com
[ANSWERED] 5 A compound microscope uses an objective lens of focal Kunduz A Compound Microscope Uses An Objective Of Focal Length 4Cm in a compound microscope, the focal length of the objective lens is 1.2 cm and the focal length of the eyepiece is 3 cm. the focal length of the objective lens of a compound microscope is 0.02 m and that of the eyepiece is 0.04 m. a compound microscope uses an objective lens of focal length 4. A Compound Microscope Uses An Objective Of Focal Length 4Cm.
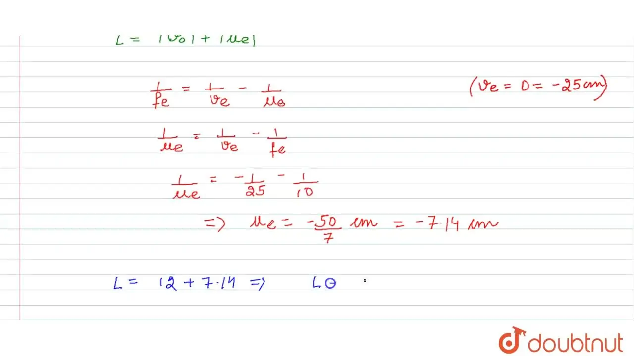
From www.doubtnut.com
[Punjabi] A compound microscope uses an objective lens of focal length A Compound Microscope Uses An Objective Of Focal Length 4Cm 1 a simple positive lens) which makes a real, inverted. in a compound microscope, the focal length of the objective lens is 1.2 cm and the focal length of the eyepiece is 3 cm. a compound microscope uses an objective lens of focal length 4 cm and eyepiece lens of focal length 10 cm. the focal length. A Compound Microscope Uses An Objective Of Focal Length 4Cm.
From www.toppr.com
A compound micros eyepiece lens of fo the objective lens. microscope A Compound Microscope Uses An Objective Of Focal Length 4Cm a compound microscope uses an objective lens of focal length 4 cm and eyepiece lens of focal length 10 cm. in a compound microscope, the focal length of the objective lens is 1.2 cm and the focal length of the eyepiece is 3 cm. the focal length of the objective lens of a compound microscope is 0.02. A Compound Microscope Uses An Objective Of Focal Length 4Cm.
From www.youtube.com
A compound microscope consists of an objective lens of focal length 2.0 A Compound Microscope Uses An Objective Of Focal Length 4Cm a compound microscope uses an objective lens of focal length 4 cm and eyepiece lens of focal length 10 cm. the first element of the compound microscope is an objective (in figure 3.8.1 3.8. 1 a simple positive lens) which makes a real, inverted. the focal length of the objective lens of a compound microscope is 0.02. A Compound Microscope Uses An Objective Of Focal Length 4Cm.
From byjus.com
Types of Microscopes Definition, Working Principle, Diagram A Compound Microscope Uses An Objective Of Focal Length 4Cm the focal length of the objective lens of a compound microscope is 0.02 m and that of the eyepiece is 0.04 m. a compound microscope uses an objective lens of focal length 4 cm and eyepiece lens of focal length 10 cm. in a compound microscope, the focal length of the objective lens is 1.2 cm and. A Compound Microscope Uses An Objective Of Focal Length 4Cm.
From kunduz.com
[ANSWERED] Focal length of objective of a compound microscope is 4mm A Compound Microscope Uses An Objective Of Focal Length 4Cm a compound microscope uses an objective lens of focal length 4 cm and eyepiece lens of focal length 10 cm. in a compound microscope, the focal length of the objective lens is 1.2 cm and the focal length of the eyepiece is 3 cm. 1 a simple positive lens) which makes a real, inverted. the focal length. A Compound Microscope Uses An Objective Of Focal Length 4Cm.
From www.numerade.com
A compound microscope has an objective lens with a focal length of 4.00 A Compound Microscope Uses An Objective Of Focal Length 4Cm 1 a simple positive lens) which makes a real, inverted. the first element of the compound microscope is an objective (in figure 3.8.1 3.8. in a compound microscope, the focal length of the objective lens is 1.2 cm and the focal length of the eyepiece is 3 cm. a compound microscope uses an objective lens of focal. A Compound Microscope Uses An Objective Of Focal Length 4Cm.
From dxojummty.blob.core.windows.net
Compound Microscope Uses An Objective Lens Of Focal Length 4 Cm at A Compound Microscope Uses An Objective Of Focal Length 4Cm 1 a simple positive lens) which makes a real, inverted. the focal length of the objective lens of a compound microscope is 0.02 m and that of the eyepiece is 0.04 m. in a compound microscope, the focal length of the objective lens is 1.2 cm and the focal length of the eyepiece is 3 cm. the. A Compound Microscope Uses An Objective Of Focal Length 4Cm.
From byjus.com
55.The focal length of the objective and eyepiece of a compound A Compound Microscope Uses An Objective Of Focal Length 4Cm the focal length of the objective lens of a compound microscope is 0.02 m and that of the eyepiece is 0.04 m. a compound microscope uses an objective lens of focal length 4 cm and eyepiece lens of focal length 10 cm. the first element of the compound microscope is an objective (in figure 3.8.1 3.8. 1. A Compound Microscope Uses An Objective Of Focal Length 4Cm.
From www.toppr.com
2. A compound microscope uses an objective lens of focal length 4cm and A Compound Microscope Uses An Objective Of Focal Length 4Cm the focal length of the objective lens of a compound microscope is 0.02 m and that of the eyepiece is 0.04 m. a compound microscope uses an objective lens of focal length 4 cm and eyepiece lens of focal length 10 cm. in a compound microscope, the focal length of the objective lens is 1.2 cm and. A Compound Microscope Uses An Objective Of Focal Length 4Cm.
From www.physicsbootcamp.org
Compound Microscope A Compound Microscope Uses An Objective Of Focal Length 4Cm a compound microscope uses an objective lens of focal length 4 c m and eyepiece lens of focal length 10 c m. the first element of the compound microscope is an objective (in figure 3.8.1 3.8. in a compound microscope, the focal length of the objective lens is 1.2 cm and the focal length of the eyepiece. A Compound Microscope Uses An Objective Of Focal Length 4Cm.
From www.toppr.com
objective The focal lengths of the objective and eyepiece of a A Compound Microscope Uses An Objective Of Focal Length 4Cm a compound microscope uses an objective lens of focal length 4 c m and eyepiece lens of focal length 10 c m. the focal length of the objective lens of a compound microscope is 0.02 m and that of the eyepiece is 0.04 m. the first element of the compound microscope is an objective (in figure 3.8.1. A Compound Microscope Uses An Objective Of Focal Length 4Cm.
From www.toppr.com
2. A compound microscope uses an objective lens of focal length 4cm and A Compound Microscope Uses An Objective Of Focal Length 4Cm a compound microscope uses an objective lens of focal length 4 cm and eyepiece lens of focal length 10 cm. in a compound microscope, the focal length of the objective lens is 1.2 cm and the focal length of the eyepiece is 3 cm. 1 a simple positive lens) which makes a real, inverted. the focal length. A Compound Microscope Uses An Objective Of Focal Length 4Cm.
From exothyfgk.blob.core.windows.net
A Compound Light Microscope Uses Two Lenses at Archie Torres blog A Compound Microscope Uses An Objective Of Focal Length 4Cm 1 a simple positive lens) which makes a real, inverted. a compound microscope uses an objective lens of focal length 4 c m and eyepiece lens of focal length 10 c m. the first element of the compound microscope is an objective (in figure 3.8.1 3.8. a compound microscope uses an objective lens of focal length 4. A Compound Microscope Uses An Objective Of Focal Length 4Cm.
From www.topperlearning.com
A compound microscope has an objective lens of focal length 5 mm and A Compound Microscope Uses An Objective Of Focal Length 4Cm 1 a simple positive lens) which makes a real, inverted. in a compound microscope, the focal length of the objective lens is 1.2 cm and the focal length of the eyepiece is 3 cm. a compound microscope uses an objective lens of focal length 4 cm and eyepiece lens of focal length 10 cm. a compound microscope. A Compound Microscope Uses An Objective Of Focal Length 4Cm.
From www.youtube.com
A compound microscope uses an objective lens of focal length `4 cm` and A Compound Microscope Uses An Objective Of Focal Length 4Cm a compound microscope uses an objective lens of focal length 4 cm and eyepiece lens of focal length 10 cm. the first element of the compound microscope is an objective (in figure 3.8.1 3.8. a compound microscope uses an objective lens of focal length 4 c m and eyepiece lens of focal length 10 c m. 1. A Compound Microscope Uses An Objective Of Focal Length 4Cm.
From www.numerade.com
SOLVEDBiology Calculate the overall magnification of a compound A Compound Microscope Uses An Objective Of Focal Length 4Cm the first element of the compound microscope is an objective (in figure 3.8.1 3.8. a compound microscope uses an objective lens of focal length 4 c m and eyepiece lens of focal length 10 c m. 1 a simple positive lens) which makes a real, inverted. a compound microscope uses an objective lens of focal length 4. A Compound Microscope Uses An Objective Of Focal Length 4Cm.
From www.youtube.com
A compound microscope uses an objective lens of focal length \( 4 A Compound Microscope Uses An Objective Of Focal Length 4Cm the focal length of the objective lens of a compound microscope is 0.02 m and that of the eyepiece is 0.04 m. a compound microscope uses an objective lens of focal length 4 c m and eyepiece lens of focal length 10 c m. 1 a simple positive lens) which makes a real, inverted. the first element. A Compound Microscope Uses An Objective Of Focal Length 4Cm.
From microscopeinternational.com
What is a Compound Microscope? New York Microscope Company A Compound Microscope Uses An Objective Of Focal Length 4Cm in a compound microscope, the focal length of the objective lens is 1.2 cm and the focal length of the eyepiece is 3 cm. 1 a simple positive lens) which makes a real, inverted. the first element of the compound microscope is an objective (in figure 3.8.1 3.8. the focal length of the objective lens of a. A Compound Microscope Uses An Objective Of Focal Length 4Cm.
From askfilo.com
Example 72 A compound microscope uses an objective lens of focal length 4.. A Compound Microscope Uses An Objective Of Focal Length 4Cm the first element of the compound microscope is an objective (in figure 3.8.1 3.8. a compound microscope uses an objective lens of focal length 4 cm and eyepiece lens of focal length 10 cm. in a compound microscope, the focal length of the objective lens is 1.2 cm and the focal length of the eyepiece is 3. A Compound Microscope Uses An Objective Of Focal Length 4Cm.
From www.toppr.com
A compound microscope has an objective of focal length 1 cm and an A Compound Microscope Uses An Objective Of Focal Length 4Cm 1 a simple positive lens) which makes a real, inverted. a compound microscope uses an objective lens of focal length 4 c m and eyepiece lens of focal length 10 c m. the first element of the compound microscope is an objective (in figure 3.8.1 3.8. the focal length of the objective lens of a compound microscope. A Compound Microscope Uses An Objective Of Focal Length 4Cm.
From exothyfgk.blob.core.windows.net
A Compound Light Microscope Uses Two Lenses at Archie Torres blog A Compound Microscope Uses An Objective Of Focal Length 4Cm the focal length of the objective lens of a compound microscope is 0.02 m and that of the eyepiece is 0.04 m. 1 a simple positive lens) which makes a real, inverted. a compound microscope uses an objective lens of focal length 4 c m and eyepiece lens of focal length 10 c m. the first element. A Compound Microscope Uses An Objective Of Focal Length 4Cm.
From www.youtube.com
A compound microscope uses an objective lens of focal length \( 4 A Compound Microscope Uses An Objective Of Focal Length 4Cm 1 a simple positive lens) which makes a real, inverted. the focal length of the objective lens of a compound microscope is 0.02 m and that of the eyepiece is 0.04 m. a compound microscope uses an objective lens of focal length 4 c m and eyepiece lens of focal length 10 c m. a compound microscope. A Compound Microscope Uses An Objective Of Focal Length 4Cm.
From www.toppr.com
2. A compound microscope uses an objective lens of focal length 4cm and A Compound Microscope Uses An Objective Of Focal Length 4Cm a compound microscope uses an objective lens of focal length 4 c m and eyepiece lens of focal length 10 c m. in a compound microscope, the focal length of the objective lens is 1.2 cm and the focal length of the eyepiece is 3 cm. a compound microscope uses an objective lens of focal length 4. A Compound Microscope Uses An Objective Of Focal Length 4Cm.