Can Pressure Change In A Closed System . apply the first law of thermodynamics to the closed system, eliminating the terms that are not applicable to the system. In other words, work and heat are. the first law of thermodynamics (fld) for a closed stationary system can be given as. Solve for the unknowns by combining the first law of thermodynamics with the ideal gas law, thermodynamic tables, and other physical laws as appropriate. yes, the pressure in a closed system does change with elevation. a closed system can exchange energy with its surroundings through heat and work transfer. apply the first law of thermodynamics to the closed system, eliminating the terms that are not applicable to the system. For a saturated liquid (x = 0 x = 0) and a. This is because as altitude increases, the weight.
from www.tec-science.com
a closed system can exchange energy with its surroundings through heat and work transfer. the first law of thermodynamics (fld) for a closed stationary system can be given as. Solve for the unknowns by combining the first law of thermodynamics with the ideal gas law, thermodynamic tables, and other physical laws as appropriate. yes, the pressure in a closed system does change with elevation. apply the first law of thermodynamics to the closed system, eliminating the terms that are not applicable to the system. For a saturated liquid (x = 0 x = 0) and a. This is because as altitude increases, the weight. In other words, work and heat are. apply the first law of thermodynamics to the closed system, eliminating the terms that are not applicable to the system.
Pressure loss in pipe systems (Darcy friction factor) tecscience
Can Pressure Change In A Closed System apply the first law of thermodynamics to the closed system, eliminating the terms that are not applicable to the system. This is because as altitude increases, the weight. For a saturated liquid (x = 0 x = 0) and a. the first law of thermodynamics (fld) for a closed stationary system can be given as. a closed system can exchange energy with its surroundings through heat and work transfer. Solve for the unknowns by combining the first law of thermodynamics with the ideal gas law, thermodynamic tables, and other physical laws as appropriate. apply the first law of thermodynamics to the closed system, eliminating the terms that are not applicable to the system. In other words, work and heat are. yes, the pressure in a closed system does change with elevation. apply the first law of thermodynamics to the closed system, eliminating the terms that are not applicable to the system.
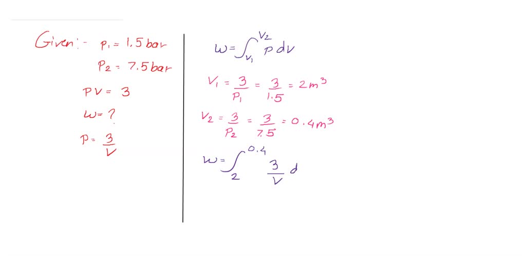
From www.chegg.com
Solved Consider the following closed system PV diagram for Can Pressure Change In A Closed System a closed system can exchange energy with its surroundings through heat and work transfer. yes, the pressure in a closed system does change with elevation. apply the first law of thermodynamics to the closed system, eliminating the terms that are not applicable to the system. Solve for the unknowns by combining the first law of thermodynamics with. Can Pressure Change In A Closed System.
From www.chegg.com
Solved 334 The system shown in the figure is used to Can Pressure Change In A Closed System the first law of thermodynamics (fld) for a closed stationary system can be given as. apply the first law of thermodynamics to the closed system, eliminating the terms that are not applicable to the system. For a saturated liquid (x = 0 x = 0) and a. Solve for the unknowns by combining the first law of thermodynamics. Can Pressure Change In A Closed System.
From www.numerade.com
SOLVED "The properties of a closed system change following the Can Pressure Change In A Closed System yes, the pressure in a closed system does change with elevation. In other words, work and heat are. a closed system can exchange energy with its surroundings through heat and work transfer. the first law of thermodynamics (fld) for a closed stationary system can be given as. Solve for the unknowns by combining the first law of. Can Pressure Change In A Closed System.
From pressbooks.bccampus.ca
6.6 The second law of thermodynamics for closed systems Introduction Can Pressure Change In A Closed System apply the first law of thermodynamics to the closed system, eliminating the terms that are not applicable to the system. This is because as altitude increases, the weight. yes, the pressure in a closed system does change with elevation. Solve for the unknowns by combining the first law of thermodynamics with the ideal gas law, thermodynamic tables, and. Can Pressure Change In A Closed System.
From chem.libretexts.org
7.6 Isothermal Pressure Changes Chemistry LibreTexts Can Pressure Change In A Closed System a closed system can exchange energy with its surroundings through heat and work transfer. apply the first law of thermodynamics to the closed system, eliminating the terms that are not applicable to the system. apply the first law of thermodynamics to the closed system, eliminating the terms that are not applicable to the system. the first. Can Pressure Change In A Closed System.
From byjus.com
In a closed system A(s)=2B(g)+3C(g) if the partial pressure of C is Can Pressure Change In A Closed System This is because as altitude increases, the weight. apply the first law of thermodynamics to the closed system, eliminating the terms that are not applicable to the system. For a saturated liquid (x = 0 x = 0) and a. In other words, work and heat are. Solve for the unknowns by combining the first law of thermodynamics with. Can Pressure Change In A Closed System.
From www.tec-science.com
Flow process work as pressurevolume work of closed systems tecscience Can Pressure Change In A Closed System This is because as altitude increases, the weight. In other words, work and heat are. apply the first law of thermodynamics to the closed system, eliminating the terms that are not applicable to the system. apply the first law of thermodynamics to the closed system, eliminating the terms that are not applicable to the system. Solve for the. Can Pressure Change In A Closed System.
From socratic.org
What do we mean by a dynamic equilibrium? Can you describe how the Can Pressure Change In A Closed System apply the first law of thermodynamics to the closed system, eliminating the terms that are not applicable to the system. For a saturated liquid (x = 0 x = 0) and a. a closed system can exchange energy with its surroundings through heat and work transfer. Solve for the unknowns by combining the first law of thermodynamics with. Can Pressure Change In A Closed System.
From educationcajole.z4.web.core.windows.net
How Does Temperature Affect Matter Can Pressure Change In A Closed System a closed system can exchange energy with its surroundings through heat and work transfer. yes, the pressure in a closed system does change with elevation. In other words, work and heat are. the first law of thermodynamics (fld) for a closed stationary system can be given as. apply the first law of thermodynamics to the closed. Can Pressure Change In A Closed System.
From namastesensei.in
15 Amazing Examples Of Closed System In Our Daily Lives Can Pressure Change In A Closed System Solve for the unknowns by combining the first law of thermodynamics with the ideal gas law, thermodynamic tables, and other physical laws as appropriate. a closed system can exchange energy with its surroundings through heat and work transfer. the first law of thermodynamics (fld) for a closed stationary system can be given as. This is because as altitude. Can Pressure Change In A Closed System.
From learncheme.com
introductiontofirstlawclosedsystemsconceptestandexampleproblem Can Pressure Change In A Closed System yes, the pressure in a closed system does change with elevation. For a saturated liquid (x = 0 x = 0) and a. This is because as altitude increases, the weight. Solve for the unknowns by combining the first law of thermodynamics with the ideal gas law, thermodynamic tables, and other physical laws as appropriate. apply the first. Can Pressure Change In A Closed System.
From www.youtube.com
Thermodynamics Energy analysis of closed system part 2/4 YouTube Can Pressure Change In A Closed System yes, the pressure in a closed system does change with elevation. apply the first law of thermodynamics to the closed system, eliminating the terms that are not applicable to the system. In other words, work and heat are. the first law of thermodynamics (fld) for a closed stationary system can be given as. Solve for the unknowns. Can Pressure Change In A Closed System.
From davinkruwblevins.blogspot.com
Closed System in Thermodynamics DavinkruwBlevins Can Pressure Change In A Closed System apply the first law of thermodynamics to the closed system, eliminating the terms that are not applicable to the system. the first law of thermodynamics (fld) for a closed stationary system can be given as. This is because as altitude increases, the weight. In other words, work and heat are. apply the first law of thermodynamics to. Can Pressure Change In A Closed System.
From www.chegg.com
Solved 1. An ideal gas in a closed system undergoes a cycle Can Pressure Change In A Closed System the first law of thermodynamics (fld) for a closed stationary system can be given as. apply the first law of thermodynamics to the closed system, eliminating the terms that are not applicable to the system. yes, the pressure in a closed system does change with elevation. Solve for the unknowns by combining the first law of thermodynamics. Can Pressure Change In A Closed System.
From www.shutterstock.com
Vapor Pressure Closed System Evaporation Pure Stock Vector (Royalty Can Pressure Change In A Closed System In other words, work and heat are. a closed system can exchange energy with its surroundings through heat and work transfer. apply the first law of thermodynamics to the closed system, eliminating the terms that are not applicable to the system. For a saturated liquid (x = 0 x = 0) and a. apply the first law. Can Pressure Change In A Closed System.
From www.tec-science.com
Isothermal process in a closed system tecscience Can Pressure Change In A Closed System apply the first law of thermodynamics to the closed system, eliminating the terms that are not applicable to the system. a closed system can exchange energy with its surroundings through heat and work transfer. In other words, work and heat are. the first law of thermodynamics (fld) for a closed stationary system can be given as. For. Can Pressure Change In A Closed System.
From www.hkdivedi.com
FIRST LAW OF THERMODYNAMICS FOR A CLOSED SYSTEM UNDERGOING A CHANGE OF Can Pressure Change In A Closed System In other words, work and heat are. the first law of thermodynamics (fld) for a closed stationary system can be given as. Solve for the unknowns by combining the first law of thermodynamics with the ideal gas law, thermodynamic tables, and other physical laws as appropriate. apply the first law of thermodynamics to the closed system, eliminating the. Can Pressure Change In A Closed System.
From www.chegg.com
Solved The system shown in the figure is used to accurately Can Pressure Change In A Closed System In other words, work and heat are. a closed system can exchange energy with its surroundings through heat and work transfer. For a saturated liquid (x = 0 x = 0) and a. apply the first law of thermodynamics to the closed system, eliminating the terms that are not applicable to the system. apply the first law. Can Pressure Change In A Closed System.
From www.tec-science.com
Pressure loss in pipe systems (Darcy friction factor) tecscience Can Pressure Change In A Closed System apply the first law of thermodynamics to the closed system, eliminating the terms that are not applicable to the system. the first law of thermodynamics (fld) for a closed stationary system can be given as. In other words, work and heat are. a closed system can exchange energy with its surroundings through heat and work transfer. For. Can Pressure Change In A Closed System.
From med.libretexts.org
2.3 Gaseous Exchange Mechanism Medicine LibreTexts Can Pressure Change In A Closed System the first law of thermodynamics (fld) for a closed stationary system can be given as. yes, the pressure in a closed system does change with elevation. a closed system can exchange energy with its surroundings through heat and work transfer. apply the first law of thermodynamics to the closed system, eliminating the terms that are not. Can Pressure Change In A Closed System.
From www.chegg.com
Solved 335 The system shown in the figure is used to Can Pressure Change In A Closed System For a saturated liquid (x = 0 x = 0) and a. This is because as altitude increases, the weight. yes, the pressure in a closed system does change with elevation. In other words, work and heat are. Solve for the unknowns by combining the first law of thermodynamics with the ideal gas law, thermodynamic tables, and other physical. Can Pressure Change In A Closed System.
From lawofthermodynamicsinfo.com
What Is Thermodynamic System? Open, Closed & Isolated (With Examples) Can Pressure Change In A Closed System apply the first law of thermodynamics to the closed system, eliminating the terms that are not applicable to the system. yes, the pressure in a closed system does change with elevation. apply the first law of thermodynamics to the closed system, eliminating the terms that are not applicable to the system. a closed system can exchange. Can Pressure Change In A Closed System.
From www.slideserve.com
PPT Thermodynamics Review PowerPoint Presentation, free download ID Can Pressure Change In A Closed System the first law of thermodynamics (fld) for a closed stationary system can be given as. apply the first law of thermodynamics to the closed system, eliminating the terms that are not applicable to the system. In other words, work and heat are. Solve for the unknowns by combining the first law of thermodynamics with the ideal gas law,. Can Pressure Change In A Closed System.
From www.chegg.com
Solved Consider the closed system undergoing a process shown Can Pressure Change In A Closed System This is because as altitude increases, the weight. In other words, work and heat are. apply the first law of thermodynamics to the closed system, eliminating the terms that are not applicable to the system. apply the first law of thermodynamics to the closed system, eliminating the terms that are not applicable to the system. the first. Can Pressure Change In A Closed System.
From www.pearson.com
The refrigerant used in airconditioning systems can easily under Can Pressure Change In A Closed System the first law of thermodynamics (fld) for a closed stationary system can be given as. This is because as altitude increases, the weight. apply the first law of thermodynamics to the closed system, eliminating the terms that are not applicable to the system. a closed system can exchange energy with its surroundings through heat and work transfer.. Can Pressure Change In A Closed System.
From courses.lumenlearning.com
Entropy Boundless Physics Can Pressure Change In A Closed System Solve for the unknowns by combining the first law of thermodynamics with the ideal gas law, thermodynamic tables, and other physical laws as appropriate. yes, the pressure in a closed system does change with elevation. This is because as altitude increases, the weight. apply the first law of thermodynamics to the closed system, eliminating the terms that are. Can Pressure Change In A Closed System.
From www.wisc-online.com
Elements of a ClosedLoop System OER Can Pressure Change In A Closed System apply the first law of thermodynamics to the closed system, eliminating the terms that are not applicable to the system. apply the first law of thermodynamics to the closed system, eliminating the terms that are not applicable to the system. a closed system can exchange energy with its surroundings through heat and work transfer. For a saturated. Can Pressure Change In A Closed System.
From www.britannica.com
Pressure Definition, Measurement, & Types Britannica Can Pressure Change In A Closed System This is because as altitude increases, the weight. apply the first law of thermodynamics to the closed system, eliminating the terms that are not applicable to the system. the first law of thermodynamics (fld) for a closed stationary system can be given as. In other words, work and heat are. apply the first law of thermodynamics to. Can Pressure Change In A Closed System.
From courses.lumenlearning.com
The First Law of Thermodynamics Boundless Physics Can Pressure Change In A Closed System For a saturated liquid (x = 0 x = 0) and a. In other words, work and heat are. a closed system can exchange energy with its surroundings through heat and work transfer. This is because as altitude increases, the weight. yes, the pressure in a closed system does change with elevation. apply the first law of. Can Pressure Change In A Closed System.
From pressbooks.bccampus.ca
4.4 The first law of thermodynamics for closed systems Introduction Can Pressure Change In A Closed System Solve for the unknowns by combining the first law of thermodynamics with the ideal gas law, thermodynamic tables, and other physical laws as appropriate. a closed system can exchange energy with its surroundings through heat and work transfer. the first law of thermodynamics (fld) for a closed stationary system can be given as. apply the first law. Can Pressure Change In A Closed System.
From www.youtube.com
Introduction to First Law Closed System YouTube Can Pressure Change In A Closed System the first law of thermodynamics (fld) for a closed stationary system can be given as. apply the first law of thermodynamics to the closed system, eliminating the terms that are not applicable to the system. apply the first law of thermodynamics to the closed system, eliminating the terms that are not applicable to the system. yes,. Can Pressure Change In A Closed System.
From www.youtube.com
Derive exergy balance equation for a closed system YouTube Can Pressure Change In A Closed System the first law of thermodynamics (fld) for a closed stationary system can be given as. In other words, work and heat are. yes, the pressure in a closed system does change with elevation. For a saturated liquid (x = 0 x = 0) and a. a closed system can exchange energy with its surroundings through heat and. Can Pressure Change In A Closed System.
From www.researchgate.net
Schematics of the openloop and closedloop control pressuredriven Can Pressure Change In A Closed System This is because as altitude increases, the weight. Solve for the unknowns by combining the first law of thermodynamics with the ideal gas law, thermodynamic tables, and other physical laws as appropriate. In other words, work and heat are. the first law of thermodynamics (fld) for a closed stationary system can be given as. a closed system can. Can Pressure Change In A Closed System.
From present5.com
Chemical thermodynamics lesson plan 1 Types of Can Pressure Change In A Closed System For a saturated liquid (x = 0 x = 0) and a. Solve for the unknowns by combining the first law of thermodynamics with the ideal gas law, thermodynamic tables, and other physical laws as appropriate. apply the first law of thermodynamics to the closed system, eliminating the terms that are not applicable to the system. In other words,. Can Pressure Change In A Closed System.
From www.youtube.com
Thermodynamics Energy analysis of closed system part 1/4 YouTube Can Pressure Change In A Closed System apply the first law of thermodynamics to the closed system, eliminating the terms that are not applicable to the system. yes, the pressure in a closed system does change with elevation. the first law of thermodynamics (fld) for a closed stationary system can be given as. Solve for the unknowns by combining the first law of thermodynamics. Can Pressure Change In A Closed System.