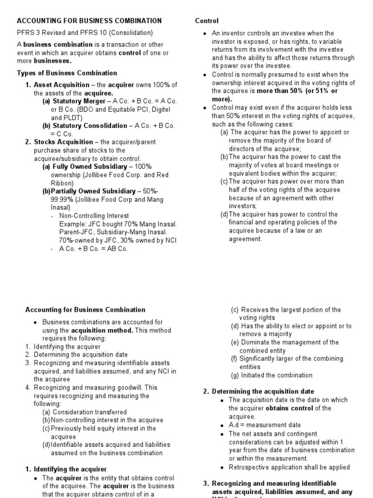
Combinations Notes Pdf . The combination formula the number of combinations of n things taken r at a time:! \) assume k divides neither mnor n(but note that k could still divide the product mn). For instance, in a drawing for 3 identical prizes, you would use combinations, because the order of the winners would. The approach here is to note that there are p(6;6) ways to permute all of the letters and then count and subtract the total number of ways in which. Each of the different selections made by choosing some or all of a number of objects, without considering their. Examples (a)how many ways are there to choose 9 players from a team. We write m= s1k+ r1, n= s2k+ r2 for appropriate s1;s2;r1;r2 2nand 0. Combinations combinationsare like permutations, but order doesn’t matter. The number of ways one can select 2 items from a set of 6, with order mattering, is called. We need to show that no tiling is possible. A combination is a selection of objects in which order is not important.
from www.ndjtuition.com
Combinations combinationsare like permutations, but order doesn’t matter. Each of the different selections made by choosing some or all of a number of objects, without considering their. We write m= s1k+ r1, n= s2k+ r2 for appropriate s1;s2;r1;r2 2nand 0. The number of ways one can select 2 items from a set of 6, with order mattering, is called. A combination is a selection of objects in which order is not important. \) assume k divides neither mnor n(but note that k could still divide the product mn). The approach here is to note that there are p(6;6) ways to permute all of the letters and then count and subtract the total number of ways in which. For instance, in a drawing for 3 identical prizes, you would use combinations, because the order of the winners would. Examples (a)how many ways are there to choose 9 players from a team. The combination formula the number of combinations of n things taken r at a time:!
Permutations and Combinations Class 11 Maths HANDWRITTEN Notes
Combinations Notes Pdf The combination formula the number of combinations of n things taken r at a time:! Combinations combinationsare like permutations, but order doesn’t matter. The combination formula the number of combinations of n things taken r at a time:! We need to show that no tiling is possible. A combination is a selection of objects in which order is not important. Examples (a)how many ways are there to choose 9 players from a team. We write m= s1k+ r1, n= s2k+ r2 for appropriate s1;s2;r1;r2 2nand 0. The number of ways one can select 2 items from a set of 6, with order mattering, is called. The approach here is to note that there are p(6;6) ways to permute all of the letters and then count and subtract the total number of ways in which. Each of the different selections made by choosing some or all of a number of objects, without considering their. For instance, in a drawing for 3 identical prizes, you would use combinations, because the order of the winners would. \) assume k divides neither mnor n(but note that k could still divide the product mn).
From www.talkingbass.net
16th note combination TalkingBass Combinations Notes Pdf Combinations combinationsare like permutations, but order doesn’t matter. The combination formula the number of combinations of n things taken r at a time:! For instance, in a drawing for 3 identical prizes, you would use combinations, because the order of the winners would. \) assume k divides neither mnor n(but note that k could still divide the product mn). Examples. Combinations Notes Pdf.
From www.scribd.com
8918 Business Combination NOTES Live Chat PDF PDF Mergers And Combinations Notes Pdf The number of ways one can select 2 items from a set of 6, with order mattering, is called. For instance, in a drawing for 3 identical prizes, you would use combinations, because the order of the winners would. Examples (a)how many ways are there to choose 9 players from a team. Each of the different selections made by choosing. Combinations Notes Pdf.
From www.ndjtuition.com
Permutations and Combinations Class 11 Maths HANDWRITTEN Notes Combinations Notes Pdf The approach here is to note that there are p(6;6) ways to permute all of the letters and then count and subtract the total number of ways in which. The number of ways one can select 2 items from a set of 6, with order mattering, is called. Each of the different selections made by choosing some or all of. Combinations Notes Pdf.
From klamlqjum.blob.core.windows.net
Combinations Notes at Harold Lynch blog Combinations Notes Pdf Combinations combinationsare like permutations, but order doesn’t matter. Each of the different selections made by choosing some or all of a number of objects, without considering their. For instance, in a drawing for 3 identical prizes, you would use combinations, because the order of the winners would. A combination is a selection of objects in which order is not important.. Combinations Notes Pdf.
From www.pdfprof.com
permutation l? gì Combinations Notes Pdf For instance, in a drawing for 3 identical prizes, you would use combinations, because the order of the winners would. A combination is a selection of objects in which order is not important. The number of ways one can select 2 items from a set of 6, with order mattering, is called. We write m= s1k+ r1, n= s2k+ r2. Combinations Notes Pdf.
From www.researchgate.net
(PDF) Permutations & Combinations Notes Combinations Notes Pdf Examples (a)how many ways are there to choose 9 players from a team. For instance, in a drawing for 3 identical prizes, you would use combinations, because the order of the winners would. Each of the different selections made by choosing some or all of a number of objects, without considering their. We need to show that no tiling is. Combinations Notes Pdf.
From www.thinkswap.com
Accounting for Business Combination Notes 22320 Accounting for Combinations Notes Pdf We write m= s1k+ r1, n= s2k+ r2 for appropriate s1;s2;r1;r2 2nand 0. The number of ways one can select 2 items from a set of 6, with order mattering, is called. Combinations combinationsare like permutations, but order doesn’t matter. Each of the different selections made by choosing some or all of a number of objects, without considering their. A. Combinations Notes Pdf.
From www.youtube.com
5 Permutation and Combination Note Page 4 + Quick Practice 10.7 YouTube Combinations Notes Pdf The number of ways one can select 2 items from a set of 6, with order mattering, is called. \) assume k divides neither mnor n(but note that k could still divide the product mn). We write m= s1k+ r1, n= s2k+ r2 for appropriate s1;s2;r1;r2 2nand 0. The combination formula the number of combinations of n things taken r. Combinations Notes Pdf.
From www.scribd.com
Handwritten short notes of Permutations & Combinations PDF Combinations Notes Pdf Combinations combinationsare like permutations, but order doesn’t matter. For instance, in a drawing for 3 identical prizes, you would use combinations, because the order of the winners would. The approach here is to note that there are p(6;6) ways to permute all of the letters and then count and subtract the total number of ways in which. Examples (a)how many. Combinations Notes Pdf.
From schools.aglasem.com
Class 11 Maths Notes for Permutations and Combinations (PDF) Study Combinations Notes Pdf The number of ways one can select 2 items from a set of 6, with order mattering, is called. Combinations combinationsare like permutations, but order doesn’t matter. The approach here is to note that there are p(6;6) ways to permute all of the letters and then count and subtract the total number of ways in which. A combination is a. Combinations Notes Pdf.
From allimportantnotes.com
Class 11 Maths Permutations and Combinations Notes All Important Notes Combinations Notes Pdf Combinations combinationsare like permutations, but order doesn’t matter. We need to show that no tiling is possible. \) assume k divides neither mnor n(but note that k could still divide the product mn). For instance, in a drawing for 3 identical prizes, you would use combinations, because the order of the winners would. A combination is a selection of objects. Combinations Notes Pdf.
From docs.aglasem.com
Class 11 Maths Notes for Permutations and Combinations Combinations Notes Pdf Examples (a)how many ways are there to choose 9 players from a team. We write m= s1k+ r1, n= s2k+ r2 for appropriate s1;s2;r1;r2 2nand 0. The combination formula the number of combinations of n things taken r at a time:! Each of the different selections made by choosing some or all of a number of objects, without considering their.. Combinations Notes Pdf.
From www.ndjtuition.com
Permutations and Combinations Class 11 Maths HANDWRITTEN Notes Combinations Notes Pdf Examples (a)how many ways are there to choose 9 players from a team. The approach here is to note that there are p(6;6) ways to permute all of the letters and then count and subtract the total number of ways in which. The combination formula the number of combinations of n things taken r at a time:! A combination is. Combinations Notes Pdf.
From www.scribd.com
Business Combinations Notes Topic Outline PDF Consolidation Combinations Notes Pdf We write m= s1k+ r1, n= s2k+ r2 for appropriate s1;s2;r1;r2 2nand 0. Combinations combinationsare like permutations, but order doesn’t matter. For instance, in a drawing for 3 identical prizes, you would use combinations, because the order of the winners would. A combination is a selection of objects in which order is not important. The combination formula the number of. Combinations Notes Pdf.
From teachsimple.com
Permutations & Combinations Guided Notes + Homework Set by Teach Simple Combinations Notes Pdf We need to show that no tiling is possible. \) assume k divides neither mnor n(but note that k could still divide the product mn). Combinations combinationsare like permutations, but order doesn’t matter. The approach here is to note that there are p(6;6) ways to permute all of the letters and then count and subtract the total number of ways. Combinations Notes Pdf.
From www.studocu.com
11b Combinations Day 1 of 2 filled note 1 Combinations When Combinations Notes Pdf Examples (a)how many ways are there to choose 9 players from a team. The combination formula the number of combinations of n things taken r at a time:! Combinations combinationsare like permutations, but order doesn’t matter. The number of ways one can select 2 items from a set of 6, with order mattering, is called. The approach here is to. Combinations Notes Pdf.
From studylib.net
12.2 Notes Combinations Combinations Notes Pdf We need to show that no tiling is possible. Combinations combinationsare like permutations, but order doesn’t matter. For instance, in a drawing for 3 identical prizes, you would use combinations, because the order of the winners would. The combination formula the number of combinations of n things taken r at a time:! The number of ways one can select 2. Combinations Notes Pdf.
From schools.aglasem.com
Class 11 Maths Notes for Permutations and Combinations (PDF) Study Combinations Notes Pdf The approach here is to note that there are p(6;6) ways to permute all of the letters and then count and subtract the total number of ways in which. Examples (a)how many ways are there to choose 9 players from a team. Combinations combinationsare like permutations, but order doesn’t matter. We write m= s1k+ r1, n= s2k+ r2 for appropriate. Combinations Notes Pdf.
From lindsaybowden.com
Permutations and Combinations Notes and Worksheets Lindsay Bowden Combinations Notes Pdf A combination is a selection of objects in which order is not important. \) assume k divides neither mnor n(but note that k could still divide the product mn). The combination formula the number of combinations of n things taken r at a time:! The approach here is to note that there are p(6;6) ways to permute all of the. Combinations Notes Pdf.
From www.thinkswap.com
Accounting for Business Combinations Complete Notes 22320 Combinations Notes Pdf \) assume k divides neither mnor n(but note that k could still divide the product mn). Each of the different selections made by choosing some or all of a number of objects, without considering their. Combinations combinationsare like permutations, but order doesn’t matter. A combination is a selection of objects in which order is not important. The combination formula the. Combinations Notes Pdf.
From www.snapdeal.com
Permutations & Combinations Notes and MCQs / Assignments PDF Buy Combinations Notes Pdf \) assume k divides neither mnor n(but note that k could still divide the product mn). We write m= s1k+ r1, n= s2k+ r2 for appropriate s1;s2;r1;r2 2nand 0. The number of ways one can select 2 items from a set of 6, with order mattering, is called. Examples (a)how many ways are there to choose 9 players from a. Combinations Notes Pdf.
From clopez17traf.wordpress.com
Permutation and combination notes Cecelia sec III math blog Combinations Notes Pdf We write m= s1k+ r1, n= s2k+ r2 for appropriate s1;s2;r1;r2 2nand 0. Combinations combinationsare like permutations, but order doesn’t matter. We need to show that no tiling is possible. A combination is a selection of objects in which order is not important. The combination formula the number of combinations of n things taken r at a time:! Examples (a)how. Combinations Notes Pdf.
From www.studocu.com
Combinations notes Combinations Blends are a crucial idea in Combinations Notes Pdf The combination formula the number of combinations of n things taken r at a time:! The number of ways one can select 2 items from a set of 6, with order mattering, is called. We need to show that no tiling is possible. \) assume k divides neither mnor n(but note that k could still divide the product mn). Examples. Combinations Notes Pdf.
From klamlqjum.blob.core.windows.net
Combinations Notes at Harold Lynch blog Combinations Notes Pdf For instance, in a drawing for 3 identical prizes, you would use combinations, because the order of the winners would. The combination formula the number of combinations of n things taken r at a time:! We write m= s1k+ r1, n= s2k+ r2 for appropriate s1;s2;r1;r2 2nand 0. Combinations combinationsare like permutations, but order doesn’t matter. We need to show. Combinations Notes Pdf.
From www.scribd.com
Accounting For Business Combination Notes PDF Goodwill (Accounting Combinations Notes Pdf We need to show that no tiling is possible. Combinations combinationsare like permutations, but order doesn’t matter. Each of the different selections made by choosing some or all of a number of objects, without considering their. We write m= s1k+ r1, n= s2k+ r2 for appropriate s1;s2;r1;r2 2nand 0. For instance, in a drawing for 3 identical prizes, you would. Combinations Notes Pdf.
From www.myxxgirl.com
Permutations And Combinations Notes Pdf For Class Jee Mains Jee My Combinations Notes Pdf We write m= s1k+ r1, n= s2k+ r2 for appropriate s1;s2;r1;r2 2nand 0. We need to show that no tiling is possible. For instance, in a drawing for 3 identical prizes, you would use combinations, because the order of the winners would. The approach here is to note that there are p(6;6) ways to permute all of the letters and. Combinations Notes Pdf.
From exyipiabq.blob.core.windows.net
Permutations And Combinations Examples With Answers Pdf at Ronald Combinations Notes Pdf We write m= s1k+ r1, n= s2k+ r2 for appropriate s1;s2;r1;r2 2nand 0. For instance, in a drawing for 3 identical prizes, you would use combinations, because the order of the winners would. Combinations combinationsare like permutations, but order doesn’t matter. Each of the different selections made by choosing some or all of a number of objects, without considering their.. Combinations Notes Pdf.
From www.studocu.com
Combination Notes Combination Basic Meaning Find the value of n Combinations Notes Pdf The combination formula the number of combinations of n things taken r at a time:! Combinations combinationsare like permutations, but order doesn’t matter. Each of the different selections made by choosing some or all of a number of objects, without considering their. We need to show that no tiling is possible. A combination is a selection of objects in which. Combinations Notes Pdf.
From www.scribd.com
Permutation + Combination Notes (IB Diploma) PDF Combinations Notes Pdf Each of the different selections made by choosing some or all of a number of objects, without considering their. We need to show that no tiling is possible. \) assume k divides neither mnor n(but note that k could still divide the product mn). The combination formula the number of combinations of n things taken r at a time:! We. Combinations Notes Pdf.
From www.youtube.com
Permutations and combinations handwritten notes pdf class 11 Maths Combinations Notes Pdf We need to show that no tiling is possible. Combinations combinationsare like permutations, but order doesn’t matter. The combination formula the number of combinations of n things taken r at a time:! \) assume k divides neither mnor n(but note that k could still divide the product mn). The number of ways one can select 2 items from a set. Combinations Notes Pdf.
From www.studypool.com
SOLUTION Permutations and combinations iit jee handwritten notes Combinations Notes Pdf \) assume k divides neither mnor n(but note that k could still divide the product mn). The combination formula the number of combinations of n things taken r at a time:! A combination is a selection of objects in which order is not important. Combinations combinationsare like permutations, but order doesn’t matter. We need to show that no tiling is. Combinations Notes Pdf.
From www.youtube.com
Permutation and combination Handwritten Notes pdf chapter 7Class 11 Combinations Notes Pdf Each of the different selections made by choosing some or all of a number of objects, without considering their. The approach here is to note that there are p(6;6) ways to permute all of the letters and then count and subtract the total number of ways in which. \) assume k divides neither mnor n(but note that k could still. Combinations Notes Pdf.
From www.thinkswap.com
Accounting Business Combination Final Notes 22320 Accounting for Combinations Notes Pdf We need to show that no tiling is possible. The approach here is to note that there are p(6;6) ways to permute all of the letters and then count and subtract the total number of ways in which. A combination is a selection of objects in which order is not important. For instance, in a drawing for 3 identical prizes,. Combinations Notes Pdf.
From studylibfreytag.z21.web.core.windows.net
Combinations Worksheet With Answers Pdf Combinations Notes Pdf \) assume k divides neither mnor n(but note that k could still divide the product mn). We need to show that no tiling is possible. For instance, in a drawing for 3 identical prizes, you would use combinations, because the order of the winners would. Combinations combinationsare like permutations, but order doesn’t matter. We write m= s1k+ r1, n= s2k+. Combinations Notes Pdf.
From lindsaybowden.com
Permutations and Combinations Notes and Worksheets Lindsay Bowden Combinations Notes Pdf The combination formula the number of combinations of n things taken r at a time:! We need to show that no tiling is possible. The number of ways one can select 2 items from a set of 6, with order mattering, is called. Examples (a)how many ways are there to choose 9 players from a team. \) assume k divides. Combinations Notes Pdf.