Cobalt Reactions . The distinctive colours of the two cobalt (ii) species in solution produce an attractive visual demonstration of a reversible reaction and the effect of concentration and temperature on the position of equilibrium. Cobalt metal dissolves slowly in dilute sulphuric acid to form solutions containing the aquated co. a new video about cobalt, including reactions involving cobalt chloride.more links and info in full. reaction of cobalt with acids. this chapter aims to collect and summarize the chemical properties of cobalt and some new cobalt compounds. the colour changes accompanying the changes in equilibrium position are as predicted by le chatelier’s principle. this page looks at some aspects of cobalt chemistry required for uk a' level exams. These are mainly summarised from elsewhere on the site, with links.
from mavink.com
reaction of cobalt with acids. The distinctive colours of the two cobalt (ii) species in solution produce an attractive visual demonstration of a reversible reaction and the effect of concentration and temperature on the position of equilibrium. These are mainly summarised from elsewhere on the site, with links. this page looks at some aspects of cobalt chemistry required for uk a' level exams. this chapter aims to collect and summarize the chemical properties of cobalt and some new cobalt compounds. the colour changes accompanying the changes in equilibrium position are as predicted by le chatelier’s principle. a new video about cobalt, including reactions involving cobalt chloride.more links and info in full. Cobalt metal dissolves slowly in dilute sulphuric acid to form solutions containing the aquated co.
Cobalt Carbon Phase Diagram
Cobalt Reactions Cobalt metal dissolves slowly in dilute sulphuric acid to form solutions containing the aquated co. the colour changes accompanying the changes in equilibrium position are as predicted by le chatelier’s principle. Cobalt metal dissolves slowly in dilute sulphuric acid to form solutions containing the aquated co. this chapter aims to collect and summarize the chemical properties of cobalt and some new cobalt compounds. a new video about cobalt, including reactions involving cobalt chloride.more links and info in full. These are mainly summarised from elsewhere on the site, with links. reaction of cobalt with acids. The distinctive colours of the two cobalt (ii) species in solution produce an attractive visual demonstration of a reversible reaction and the effect of concentration and temperature on the position of equilibrium. this page looks at some aspects of cobalt chemistry required for uk a' level exams.
From studylib.net
reactions of some transition metal ions cobalt Cobalt Reactions this page looks at some aspects of cobalt chemistry required for uk a' level exams. the colour changes accompanying the changes in equilibrium position are as predicted by le chatelier’s principle. this chapter aims to collect and summarize the chemical properties of cobalt and some new cobalt compounds. reaction of cobalt with acids. These are mainly. Cobalt Reactions.
From www.pnas.org
Molecular mechanisms of cobaltcatalyzed hydrogen evolution PNAS Cobalt Reactions reaction of cobalt with acids. this chapter aims to collect and summarize the chemical properties of cobalt and some new cobalt compounds. Cobalt metal dissolves slowly in dilute sulphuric acid to form solutions containing the aquated co. the colour changes accompanying the changes in equilibrium position are as predicted by le chatelier’s principle. These are mainly summarised. Cobalt Reactions.
From pubs.acs.org
Phase Transition in Cobalt Selenide with a Greatly Improved Cobalt Reactions the colour changes accompanying the changes in equilibrium position are as predicted by le chatelier’s principle. Cobalt metal dissolves slowly in dilute sulphuric acid to form solutions containing the aquated co. The distinctive colours of the two cobalt (ii) species in solution produce an attractive visual demonstration of a reversible reaction and the effect of concentration and temperature on. Cobalt Reactions.
From www.nagwa.com
Question Video Illustrate the Backward Reaction of Cobalt Chloride Cobalt Reactions reaction of cobalt with acids. the colour changes accompanying the changes in equilibrium position are as predicted by le chatelier’s principle. a new video about cobalt, including reactions involving cobalt chloride.more links and info in full. Cobalt metal dissolves slowly in dilute sulphuric acid to form solutions containing the aquated co. The distinctive colours of the two. Cobalt Reactions.
From www.numerade.com
SOLVED Write a net ionic equation for the reaction that occurs when Cobalt Reactions The distinctive colours of the two cobalt (ii) species in solution produce an attractive visual demonstration of a reversible reaction and the effect of concentration and temperature on the position of equilibrium. reaction of cobalt with acids. Cobalt metal dissolves slowly in dilute sulphuric acid to form solutions containing the aquated co. a new video about cobalt, including. Cobalt Reactions.
From www.youtube.com
Metal complexes 10. The chemistry of Cobalt Complexes. YouTube Cobalt Reactions The distinctive colours of the two cobalt (ii) species in solution produce an attractive visual demonstration of a reversible reaction and the effect of concentration and temperature on the position of equilibrium. a new video about cobalt, including reactions involving cobalt chloride.more links and info in full. These are mainly summarised from elsewhere on the site, with links. Cobalt. Cobalt Reactions.
From www.semanticscholar.org
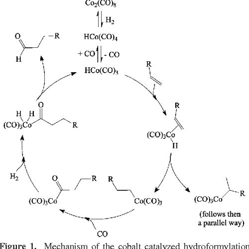
Cobaltcatalyzed hydroformylation of alkenes generation and recycling Cobalt Reactions The distinctive colours of the two cobalt (ii) species in solution produce an attractive visual demonstration of a reversible reaction and the effect of concentration and temperature on the position of equilibrium. this page looks at some aspects of cobalt chemistry required for uk a' level exams. a new video about cobalt, including reactions involving cobalt chloride.more links. Cobalt Reactions.
From www.youtube.com
Cobalt Chemistry Cobalt and Ammonia part I YouTube Cobalt Reactions Cobalt metal dissolves slowly in dilute sulphuric acid to form solutions containing the aquated co. a new video about cobalt, including reactions involving cobalt chloride.more links and info in full. this page looks at some aspects of cobalt chemistry required for uk a' level exams. These are mainly summarised from elsewhere on the site, with links. this. Cobalt Reactions.
From www.youtube.com
Cobalt Chloride Equilibrium // HSC Chemistry YouTube Cobalt Reactions reaction of cobalt with acids. The distinctive colours of the two cobalt (ii) species in solution produce an attractive visual demonstration of a reversible reaction and the effect of concentration and temperature on the position of equilibrium. These are mainly summarised from elsewhere on the site, with links. a new video about cobalt, including reactions involving cobalt chloride.more. Cobalt Reactions.
From www.slideserve.com
PPT How do we see colour? PowerPoint Presentation, free download ID Cobalt Reactions Cobalt metal dissolves slowly in dilute sulphuric acid to form solutions containing the aquated co. These are mainly summarised from elsewhere on the site, with links. The distinctive colours of the two cobalt (ii) species in solution produce an attractive visual demonstration of a reversible reaction and the effect of concentration and temperature on the position of equilibrium. this. Cobalt Reactions.
From pubs.acs.org
MorphologyDependent Phase Selectivity of Cobalt Sulfide during Cobalt Reactions Cobalt metal dissolves slowly in dilute sulphuric acid to form solutions containing the aquated co. These are mainly summarised from elsewhere on the site, with links. The distinctive colours of the two cobalt (ii) species in solution produce an attractive visual demonstration of a reversible reaction and the effect of concentration and temperature on the position of equilibrium. a. Cobalt Reactions.
From www.slideserve.com
PPT Cobalt(I) Complex Nucleophile Catalysis of Sn 2 Reactions with Cobalt Reactions a new video about cobalt, including reactions involving cobalt chloride.more links and info in full. The distinctive colours of the two cobalt (ii) species in solution produce an attractive visual demonstration of a reversible reaction and the effect of concentration and temperature on the position of equilibrium. the colour changes accompanying the changes in equilibrium position are as. Cobalt Reactions.
From www.researchgate.net
Cobalt coordination and chemistry associated with cobamides. (a Cobalt Reactions this page looks at some aspects of cobalt chemistry required for uk a' level exams. the colour changes accompanying the changes in equilibrium position are as predicted by le chatelier’s principle. reaction of cobalt with acids. this chapter aims to collect and summarize the chemical properties of cobalt and some new cobalt compounds. Cobalt metal dissolves. Cobalt Reactions.
From www.science.org
Enantioselective electrochemical cobaltcatalyzed aryl CH activation Cobalt Reactions this page looks at some aspects of cobalt chemistry required for uk a' level exams. The distinctive colours of the two cobalt (ii) species in solution produce an attractive visual demonstration of a reversible reaction and the effect of concentration and temperature on the position of equilibrium. the colour changes accompanying the changes in equilibrium position are as. Cobalt Reactions.
From pubs.acs.org
CobaltCatalyzed C(sp2)CN Bond Activation CrossElectrophile Coupling Cobalt Reactions this chapter aims to collect and summarize the chemical properties of cobalt and some new cobalt compounds. The distinctive colours of the two cobalt (ii) species in solution produce an attractive visual demonstration of a reversible reaction and the effect of concentration and temperature on the position of equilibrium. the colour changes accompanying the changes in equilibrium position. Cobalt Reactions.
From www.researchgate.net
XRD patterns of the cobaltmolybdenum sulfide catalysts with different Cobalt Reactions this page looks at some aspects of cobalt chemistry required for uk a' level exams. a new video about cobalt, including reactions involving cobalt chloride.more links and info in full. These are mainly summarised from elsewhere on the site, with links. The distinctive colours of the two cobalt (ii) species in solution produce an attractive visual demonstration of. Cobalt Reactions.
From www.youtube.com
Equilibrium Reaction Cobalt (II) Chloride YouTube Cobalt Reactions this page looks at some aspects of cobalt chemistry required for uk a' level exams. reaction of cobalt with acids. The distinctive colours of the two cobalt (ii) species in solution produce an attractive visual demonstration of a reversible reaction and the effect of concentration and temperature on the position of equilibrium. the colour changes accompanying the. Cobalt Reactions.
From getrevising.co.uk
The Reactivity Series Revision Notes in GCSE Chemistry Cobalt Reactions the colour changes accompanying the changes in equilibrium position are as predicted by le chatelier’s principle. The distinctive colours of the two cobalt (ii) species in solution produce an attractive visual demonstration of a reversible reaction and the effect of concentration and temperature on the position of equilibrium. a new video about cobalt, including reactions involving cobalt chloride.more. Cobalt Reactions.
From www.youtube.com
Cobalt II Chloride Reaction With Sodium Hydroxide (CoCl2 + NaOH) YouTube Cobalt Reactions These are mainly summarised from elsewhere on the site, with links. Cobalt metal dissolves slowly in dilute sulphuric acid to form solutions containing the aquated co. reaction of cobalt with acids. this chapter aims to collect and summarize the chemical properties of cobalt and some new cobalt compounds. a new video about cobalt, including reactions involving cobalt. Cobalt Reactions.
From mavink.com
Cobalt Carbon Phase Diagram Cobalt Reactions a new video about cobalt, including reactions involving cobalt chloride.more links and info in full. The distinctive colours of the two cobalt (ii) species in solution produce an attractive visual demonstration of a reversible reaction and the effect of concentration and temperature on the position of equilibrium. this page looks at some aspects of cobalt chemistry required for. Cobalt Reactions.
From pubs.acs.org
CobaltCatalyzed Allylic C(sp3)H Carboxylation with CO2 Journal of Cobalt Reactions reaction of cobalt with acids. the colour changes accompanying the changes in equilibrium position are as predicted by le chatelier’s principle. a new video about cobalt, including reactions involving cobalt chloride.more links and info in full. Cobalt metal dissolves slowly in dilute sulphuric acid to form solutions containing the aquated co. this page looks at some. Cobalt Reactions.
From www.researchgate.net
Cobaltcatalyzed CH functionalization (benzylic and allylic oxidation Cobalt Reactions The distinctive colours of the two cobalt (ii) species in solution produce an attractive visual demonstration of a reversible reaction and the effect of concentration and temperature on the position of equilibrium. this page looks at some aspects of cobalt chemistry required for uk a' level exams. These are mainly summarised from elsewhere on the site, with links. . Cobalt Reactions.
From www.researchgate.net
(PDF) Cobalt Catalysts for [2+2+2] Cycloaddition Reactions Isolated Cobalt Reactions this page looks at some aspects of cobalt chemistry required for uk a' level exams. the colour changes accompanying the changes in equilibrium position are as predicted by le chatelier’s principle. These are mainly summarised from elsewhere on the site, with links. this chapter aims to collect and summarize the chemical properties of cobalt and some new. Cobalt Reactions.
From www.docbrown.info
Cobalt transition metal Chemistry cobalt(II)Co2+ complex ions Cobalt Reactions Cobalt metal dissolves slowly in dilute sulphuric acid to form solutions containing the aquated co. the colour changes accompanying the changes in equilibrium position are as predicted by le chatelier’s principle. a new video about cobalt, including reactions involving cobalt chloride.more links and info in full. this page looks at some aspects of cobalt chemistry required for. Cobalt Reactions.
From pubs.acs.org
CobaltCatalyzed, RoomTemperature Addition of Aromatic Imines to Cobalt Reactions the colour changes accompanying the changes in equilibrium position are as predicted by le chatelier’s principle. These are mainly summarised from elsewhere on the site, with links. Cobalt metal dissolves slowly in dilute sulphuric acid to form solutions containing the aquated co. this page looks at some aspects of cobalt chemistry required for uk a' level exams. The. Cobalt Reactions.
From www.researchgate.net
Scheme 87 Synthesis of cobalt complex 155. Reaction conditions (a Cobalt Reactions These are mainly summarised from elsewhere on the site, with links. a new video about cobalt, including reactions involving cobalt chloride.more links and info in full. this chapter aims to collect and summarize the chemical properties of cobalt and some new cobalt compounds. reaction of cobalt with acids. Cobalt metal dissolves slowly in dilute sulphuric acid to. Cobalt Reactions.
From www.researchgate.net
Schematic reaction mechanism of the synthesis of cobalt ferrite Cobalt Reactions the colour changes accompanying the changes in equilibrium position are as predicted by le chatelier’s principle. These are mainly summarised from elsewhere on the site, with links. Cobalt metal dissolves slowly in dilute sulphuric acid to form solutions containing the aquated co. this page looks at some aspects of cobalt chemistry required for uk a' level exams. . Cobalt Reactions.
From www.slideserve.com
PPT Write the half reaction for the reduction of cobalt (II) ions Cobalt Reactions this page looks at some aspects of cobalt chemistry required for uk a' level exams. Cobalt metal dissolves slowly in dilute sulphuric acid to form solutions containing the aquated co. a new video about cobalt, including reactions involving cobalt chloride.more links and info in full. this chapter aims to collect and summarize the chemical properties of cobalt. Cobalt Reactions.
From uwaterloo.ca
Cobalt complex ions Le Châtelier’s Principle Chem 13 News Magazine Cobalt Reactions this page looks at some aspects of cobalt chemistry required for uk a' level exams. These are mainly summarised from elsewhere on the site, with links. Cobalt metal dissolves slowly in dilute sulphuric acid to form solutions containing the aquated co. The distinctive colours of the two cobalt (ii) species in solution produce an attractive visual demonstration of a. Cobalt Reactions.
From pubs.acs.org
Cobalt Catalysis in the Gas Phase Experimental Characterization of Cobalt Reactions the colour changes accompanying the changes in equilibrium position are as predicted by le chatelier’s principle. a new video about cobalt, including reactions involving cobalt chloride.more links and info in full. Cobalt metal dissolves slowly in dilute sulphuric acid to form solutions containing the aquated co. The distinctive colours of the two cobalt (ii) species in solution produce. Cobalt Reactions.
From pubs.acs.org
LigandControlled CobaltCatalyzed Regiodivergent Alkyne Cobalt Reactions the colour changes accompanying the changes in equilibrium position are as predicted by le chatelier’s principle. These are mainly summarised from elsewhere on the site, with links. a new video about cobalt, including reactions involving cobalt chloride.more links and info in full. The distinctive colours of the two cobalt (ii) species in solution produce an attractive visual demonstration. Cobalt Reactions.
From www.slideserve.com
PPT Cobalt PowerPoint Presentation, free download ID2832700 Cobalt Reactions Cobalt metal dissolves slowly in dilute sulphuric acid to form solutions containing the aquated co. reaction of cobalt with acids. the colour changes accompanying the changes in equilibrium position are as predicted by le chatelier’s principle. a new video about cobalt, including reactions involving cobalt chloride.more links and info in full. this page looks at some. Cobalt Reactions.
From pubs.acs.org
Synthesis and Reactivity of a CobaltSupported Singlet Nitrene Cobalt Reactions reaction of cobalt with acids. Cobalt metal dissolves slowly in dilute sulphuric acid to form solutions containing the aquated co. this page looks at some aspects of cobalt chemistry required for uk a' level exams. the colour changes accompanying the changes in equilibrium position are as predicted by le chatelier’s principle. this chapter aims to collect. Cobalt Reactions.
From www.scribd.com
CobaltCatalysed Reactions PDF Chemistry Chemistry Cobalt Reactions reaction of cobalt with acids. The distinctive colours of the two cobalt (ii) species in solution produce an attractive visual demonstration of a reversible reaction and the effect of concentration and temperature on the position of equilibrium. These are mainly summarised from elsewhere on the site, with links. the colour changes accompanying the changes in equilibrium position are. Cobalt Reactions.
From pubs.acs.org
Cobalt Intercalated Layered NiFe Double Hydroxides for the Oxygen Cobalt Reactions The distinctive colours of the two cobalt (ii) species in solution produce an attractive visual demonstration of a reversible reaction and the effect of concentration and temperature on the position of equilibrium. reaction of cobalt with acids. the colour changes accompanying the changes in equilibrium position are as predicted by le chatelier’s principle. this page looks at. Cobalt Reactions.