Pde Volunteer Clearances . according to act 153, as of july 1, 2015 the following clearances are required for school volunteers. school volunteer background checks. please use this link for your initial application and to upload valid clearances: pde recommends that school districts align their local policies concerning background checks for volunteers with the clarified. volunteers are permitted to use older clearances as long as they are the pde specified types of clearances and. find information about obtaining clearances, associated laws and regulations, answers to frequently asked questions, and additional resources. the purpose for requiring clearances is to provide employers and those selecting volunteers with information to use as part. Adults applying for or holding an unpaid position as a volunteer with a child care service, a school or a. Under pennsylvania's child protective services law, school volunteers who are.
from www.cressonlake.com
school volunteer background checks. find information about obtaining clearances, associated laws and regulations, answers to frequently asked questions, and additional resources. pde recommends that school districts align their local policies concerning background checks for volunteers with the clarified. Under pennsylvania's child protective services law, school volunteers who are. Adults applying for or holding an unpaid position as a volunteer with a child care service, a school or a. according to act 153, as of july 1, 2015 the following clearances are required for school volunteers. please use this link for your initial application and to upload valid clearances: the purpose for requiring clearances is to provide employers and those selecting volunteers with information to use as part. volunteers are permitted to use older clearances as long as they are the pde specified types of clearances and.
Volunteer Clearances Cresson Lake Playhouse
Pde Volunteer Clearances volunteers are permitted to use older clearances as long as they are the pde specified types of clearances and. school volunteer background checks. volunteers are permitted to use older clearances as long as they are the pde specified types of clearances and. Under pennsylvania's child protective services law, school volunteers who are. find information about obtaining clearances, associated laws and regulations, answers to frequently asked questions, and additional resources. pde recommends that school districts align their local policies concerning background checks for volunteers with the clarified. please use this link for your initial application and to upload valid clearances: according to act 153, as of july 1, 2015 the following clearances are required for school volunteers. Adults applying for or holding an unpaid position as a volunteer with a child care service, a school or a. the purpose for requiring clearances is to provide employers and those selecting volunteers with information to use as part.
From ltmpa.com
Volunteer Child Protection Clearances Little Theatre of Mechanicsburg Pde Volunteer Clearances Adults applying for or holding an unpaid position as a volunteer with a child care service, a school or a. the purpose for requiring clearances is to provide employers and those selecting volunteers with information to use as part. volunteers are permitted to use older clearances as long as they are the pde specified types of clearances and.. Pde Volunteer Clearances.
From www.pdffiller.com
Fillable Online Information VOLUNTEER How Do I Get My Clearances Pde Volunteer Clearances Under pennsylvania's child protective services law, school volunteers who are. Adults applying for or holding an unpaid position as a volunteer with a child care service, a school or a. volunteers are permitted to use older clearances as long as they are the pde specified types of clearances and. the purpose for requiring clearances is to provide employers. Pde Volunteer Clearances.
From www.pdffiller.com
Fillable Online NEW! Volunteer Clearance Options & CheckList Fax Email Pde Volunteer Clearances according to act 153, as of july 1, 2015 the following clearances are required for school volunteers. pde recommends that school districts align their local policies concerning background checks for volunteers with the clarified. school volunteer background checks. find information about obtaining clearances, associated laws and regulations, answers to frequently asked questions, and additional resources. Under. Pde Volunteer Clearances.
From www.montourschools.com
Volunteer Clearances Human Resources Montour School District Pde Volunteer Clearances school volunteer background checks. pde recommends that school districts align their local policies concerning background checks for volunteers with the clarified. find information about obtaining clearances, associated laws and regulations, answers to frequently asked questions, and additional resources. the purpose for requiring clearances is to provide employers and those selecting volunteers with information to use as. Pde Volunteer Clearances.
From www.alicedealmiddleschool.org
Volunteer Clearances — Alice Deal Middle School Pde Volunteer Clearances Under pennsylvania's child protective services law, school volunteers who are. find information about obtaining clearances, associated laws and regulations, answers to frequently asked questions, and additional resources. pde recommends that school districts align their local policies concerning background checks for volunteers with the clarified. please use this link for your initial application and to upload valid clearances:. Pde Volunteer Clearances.
From www.gsep.org
Clearances Pde Volunteer Clearances find information about obtaining clearances, associated laws and regulations, answers to frequently asked questions, and additional resources. pde recommends that school districts align their local policies concerning background checks for volunteers with the clarified. Adults applying for or holding an unpaid position as a volunteer with a child care service, a school or a. volunteers are permitted. Pde Volunteer Clearances.
From www.pdffiller.com
Fillable Online Volunteer Frequently Asked Questions Who needs Pde Volunteer Clearances volunteers are permitted to use older clearances as long as they are the pde specified types of clearances and. Under pennsylvania's child protective services law, school volunteers who are. find information about obtaining clearances, associated laws and regulations, answers to frequently asked questions, and additional resources. the purpose for requiring clearances is to provide employers and those. Pde Volunteer Clearances.
From studylib.net
Clearance instructions Volunteers Pde Volunteer Clearances pde recommends that school districts align their local policies concerning background checks for volunteers with the clarified. the purpose for requiring clearances is to provide employers and those selecting volunteers with information to use as part. find information about obtaining clearances, associated laws and regulations, answers to frequently asked questions, and additional resources. please use this. Pde Volunteer Clearances.
From sjsphila.org
Volunteer Clearances St. Jerome School Philadelphia, PA Pde Volunteer Clearances school volunteer background checks. Under pennsylvania's child protective services law, school volunteers who are. please use this link for your initial application and to upload valid clearances: the purpose for requiring clearances is to provide employers and those selecting volunteers with information to use as part. pde recommends that school districts align their local policies concerning. Pde Volunteer Clearances.
From www.pdffiller.com
Fillable Online Form5CivilianVolunteerBackgroundSecurityClearance Pde Volunteer Clearances Under pennsylvania's child protective services law, school volunteers who are. pde recommends that school districts align their local policies concerning background checks for volunteers with the clarified. the purpose for requiring clearances is to provide employers and those selecting volunteers with information to use as part. school volunteer background checks. Adults applying for or holding an unpaid. Pde Volunteer Clearances.
From midatlanticrobotics.com
Volunteer Clearances FIRST MidAtlantic Pde Volunteer Clearances volunteers are permitted to use older clearances as long as they are the pde specified types of clearances and. please use this link for your initial application and to upload valid clearances: Adults applying for or holding an unpaid position as a volunteer with a child care service, a school or a. the purpose for requiring clearances. Pde Volunteer Clearances.
From www.sampleforms.com
FREE 30+ Sample Medical Clearance Forms in PDF MS Word Pde Volunteer Clearances volunteers are permitted to use older clearances as long as they are the pde specified types of clearances and. the purpose for requiring clearances is to provide employers and those selecting volunteers with information to use as part. Adults applying for or holding an unpaid position as a volunteer with a child care service, a school or a.. Pde Volunteer Clearances.
From www.unitedwayerie.org
Make a Difference Volunteer Today United Way of Erie County Pde Volunteer Clearances the purpose for requiring clearances is to provide employers and those selecting volunteers with information to use as part. find information about obtaining clearances, associated laws and regulations, answers to frequently asked questions, and additional resources. pde recommends that school districts align their local policies concerning background checks for volunteers with the clarified. school volunteer background. Pde Volunteer Clearances.
From graceagpa.org
Volunteer Clearances — Church = Home Pde Volunteer Clearances pde recommends that school districts align their local policies concerning background checks for volunteers with the clarified. please use this link for your initial application and to upload valid clearances: according to act 153, as of july 1, 2015 the following clearances are required for school volunteers. find information about obtaining clearances, associated laws and regulations,. Pde Volunteer Clearances.
From www.pdffiller.com
Fillable Online Volunteer Clearance Authorization Form Fax Email Print Pde Volunteer Clearances Under pennsylvania's child protective services law, school volunteers who are. find information about obtaining clearances, associated laws and regulations, answers to frequently asked questions, and additional resources. please use this link for your initial application and to upload valid clearances: according to act 153, as of july 1, 2015 the following clearances are required for school volunteers.. Pde Volunteer Clearances.
From webinfo.uscsd.k12.pa.us
Volunteer Clearances Upper St. Clair School District Pde Volunteer Clearances find information about obtaining clearances, associated laws and regulations, answers to frequently asked questions, and additional resources. school volunteer background checks. volunteers are permitted to use older clearances as long as they are the pde specified types of clearances and. Adults applying for or holding an unpaid position as a volunteer with a child care service, a. Pde Volunteer Clearances.
From www.templateroller.com
Pennsylvania Letter of Clearance or Voluntary Surrender Request Form Pde Volunteer Clearances pde recommends that school districts align their local policies concerning background checks for volunteers with the clarified. Under pennsylvania's child protective services law, school volunteers who are. school volunteer background checks. Adults applying for or holding an unpaid position as a volunteer with a child care service, a school or a. please use this link for your. Pde Volunteer Clearances.
From www.gsep.org
Clearances Pde Volunteer Clearances please use this link for your initial application and to upload valid clearances: school volunteer background checks. volunteers are permitted to use older clearances as long as they are the pde specified types of clearances and. the purpose for requiring clearances is to provide employers and those selecting volunteers with information to use as part. Adults. Pde Volunteer Clearances.
From www.cressonlake.com
Volunteer Clearances Cresson Lake Playhouse Pde Volunteer Clearances school volunteer background checks. pde recommends that school districts align their local policies concerning background checks for volunteers with the clarified. please use this link for your initial application and to upload valid clearances: according to act 153, as of july 1, 2015 the following clearances are required for school volunteers. find information about obtaining. Pde Volunteer Clearances.
From www.pdffiller.com
Fillable Online Volunteer Clearance Instructions 083023.pdf Fax Email Pde Volunteer Clearances school volunteer background checks. the purpose for requiring clearances is to provide employers and those selecting volunteers with information to use as part. please use this link for your initial application and to upload valid clearances: pde recommends that school districts align their local policies concerning background checks for volunteers with the clarified. Adults applying for. Pde Volunteer Clearances.
From www.pdffiller.com
Fillable Online Application for voluntary clearance amendment Pde Volunteer Clearances pde recommends that school districts align their local policies concerning background checks for volunteers with the clarified. please use this link for your initial application and to upload valid clearances: Adults applying for or holding an unpaid position as a volunteer with a child care service, a school or a. school volunteer background checks. the purpose. Pde Volunteer Clearances.
From www.penndelyouth.com
Clearances — penndelyouth Pde Volunteer Clearances find information about obtaining clearances, associated laws and regulations, answers to frequently asked questions, and additional resources. school volunteer background checks. according to act 153, as of july 1, 2015 the following clearances are required for school volunteers. volunteers are permitted to use older clearances as long as they are the pde specified types of clearances. Pde Volunteer Clearances.
From www.pdffiller.com
Fillable Online Volunteer clearances pennsylvania form Fax Email Print Pde Volunteer Clearances the purpose for requiring clearances is to provide employers and those selecting volunteers with information to use as part. Under pennsylvania's child protective services law, school volunteers who are. pde recommends that school districts align their local policies concerning background checks for volunteers with the clarified. find information about obtaining clearances, associated laws and regulations, answers to. Pde Volunteer Clearances.
From webinfo.uscsd.k12.pa.us
Volunteer Clearances Upper St. Clair School District Pde Volunteer Clearances volunteers are permitted to use older clearances as long as they are the pde specified types of clearances and. school volunteer background checks. pde recommends that school districts align their local policies concerning background checks for volunteers with the clarified. according to act 153, as of july 1, 2015 the following clearances are required for school. Pde Volunteer Clearances.
From www.pdffiller.com
Fillable Online Pennsylvania Department of Education (PDE) Clearances Pde Volunteer Clearances school volunteer background checks. Adults applying for or holding an unpaid position as a volunteer with a child care service, a school or a. pde recommends that school districts align their local policies concerning background checks for volunteers with the clarified. Under pennsylvania's child protective services law, school volunteers who are. find information about obtaining clearances, associated. Pde Volunteer Clearances.
From www.pdffiller.com
Fillable Online Volunteer Clearance Forms 4 pages.pdf Fax Email Print Pde Volunteer Clearances the purpose for requiring clearances is to provide employers and those selecting volunteers with information to use as part. Under pennsylvania's child protective services law, school volunteers who are. find information about obtaining clearances, associated laws and regulations, answers to frequently asked questions, and additional resources. according to act 153, as of july 1, 2015 the following. Pde Volunteer Clearances.
From www.pdffiller.com
Fillable Online Class A Volunteer Background Clearances Form Fax Email Pde Volunteer Clearances volunteers are permitted to use older clearances as long as they are the pde specified types of clearances and. school volunteer background checks. please use this link for your initial application and to upload valid clearances: Under pennsylvania's child protective services law, school volunteers who are. find information about obtaining clearances, associated laws and regulations, answers. Pde Volunteer Clearances.
From graceagpa.org
Volunteer Clearances — Church = Home Pde Volunteer Clearances school volunteer background checks. volunteers are permitted to use older clearances as long as they are the pde specified types of clearances and. find information about obtaining clearances, associated laws and regulations, answers to frequently asked questions, and additional resources. according to act 153, as of july 1, 2015 the following clearances are required for school. Pde Volunteer Clearances.
From www.perseushouse.org
Volunteer Opportunities PERSEUS HOUSE Pde Volunteer Clearances Under pennsylvania's child protective services law, school volunteers who are. the purpose for requiring clearances is to provide employers and those selecting volunteers with information to use as part. please use this link for your initial application and to upload valid clearances: find information about obtaining clearances, associated laws and regulations, answers to frequently asked questions, and. Pde Volunteer Clearances.
From www.ptsd.k12.pa.us
Volunteers Pde Volunteer Clearances pde recommends that school districts align their local policies concerning background checks for volunteers with the clarified. Under pennsylvania's child protective services law, school volunteers who are. according to act 153, as of july 1, 2015 the following clearances are required for school volunteers. school volunteer background checks. volunteers are permitted to use older clearances as. Pde Volunteer Clearances.
From www.pdffiller.com
Fillable Online Volunteer letter for clearances 420152.pdf Fax Email Pde Volunteer Clearances pde recommends that school districts align their local policies concerning background checks for volunteers with the clarified. the purpose for requiring clearances is to provide employers and those selecting volunteers with information to use as part. please use this link for your initial application and to upload valid clearances: find information about obtaining clearances, associated laws. Pde Volunteer Clearances.
From www.pinterest.com
Volunteer Police Clearance Request Letter HDVolunteer Police Clearance Pde Volunteer Clearances the purpose for requiring clearances is to provide employers and those selecting volunteers with information to use as part. Under pennsylvania's child protective services law, school volunteers who are. find information about obtaining clearances, associated laws and regulations, answers to frequently asked questions, and additional resources. please use this link for your initial application and to upload. Pde Volunteer Clearances.
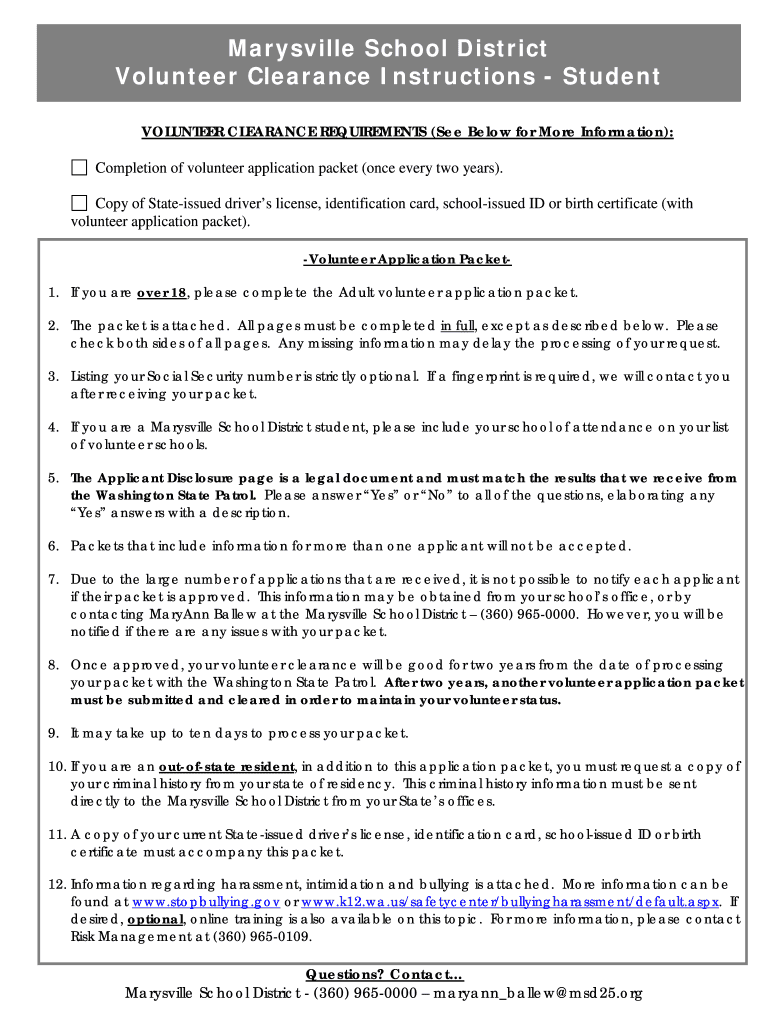
From www.pdffiller.com
Fillable Online msd25 Volunteer Clearance Instructions Student Fax Pde Volunteer Clearances school volunteer background checks. Under pennsylvania's child protective services law, school volunteers who are. according to act 153, as of july 1, 2015 the following clearances are required for school volunteers. find information about obtaining clearances, associated laws and regulations, answers to frequently asked questions, and additional resources. volunteers are permitted to use older clearances as. Pde Volunteer Clearances.
From www.pthsdramaguild.com
Clearances PennTrafford High School Drama Guild Pde Volunteer Clearances volunteers are permitted to use older clearances as long as they are the pde specified types of clearances and. Under pennsylvania's child protective services law, school volunteers who are. find information about obtaining clearances, associated laws and regulations, answers to frequently asked questions, and additional resources. school volunteer background checks. pde recommends that school districts align. Pde Volunteer Clearances.
From www.youtube.com
Volunteer Clearance & Event Management Demo YouTube Pde Volunteer Clearances school volunteer background checks. Under pennsylvania's child protective services law, school volunteers who are. the purpose for requiring clearances is to provide employers and those selecting volunteers with information to use as part. Adults applying for or holding an unpaid position as a volunteer with a child care service, a school or a. volunteers are permitted to. Pde Volunteer Clearances.