Copper Ii Nitrate Reacts With Sodium Carbonate . here, sodium iodide (nai) is added to copper (ii) nitrate (cu (no 3) 2). You can always work out the. a light blue precipitate forms when sodium carbonate reacts with copper (ii) chloride. copper (ii) nitrate with sodium carbonate. The second part comes from the acid. How many grams of zinc (ii) nitrate and. Here, sodium carbonate (na 2 co 3) is added to copper (ii) nitrate (cu (no 3) 2). diluting the concentrated acid with water changes the liquid color to blue as the water displaces the nitrate ions, leaving only aqueous copper (ii) nitrate. write a balanced chemical equation that shows what happens when aqueous solutions of sodium carbonate and. The name of a salt has two parts. No precipitate forms when sodium sulphate. The first part comes from the metal, metal oxide or metal carbonate. adding 10.0 ml of a dilute solution of zinc nitrate to 246 ml of 2.00 m sodium sulfide produced 0.279 g of a precipitate. reaction of copper (ii) nitrate and sodium carbonate chemprf 124 subscribers.
from www.numerade.com
The name of a salt has two parts. You can always work out the. The second part comes from the acid. here, sodium iodide (nai) is added to copper (ii) nitrate (cu (no 3) 2). No precipitate forms when sodium sulphate. reaction of copper (ii) nitrate and sodium carbonate chemprf 124 subscribers. a light blue precipitate forms when sodium carbonate reacts with copper (ii) chloride. The first part comes from the metal, metal oxide or metal carbonate. How many grams of zinc (ii) nitrate and. Here, sodium carbonate (na 2 co 3) is added to copper (ii) nitrate (cu (no 3) 2).
SOLVED 1. When copper (II) chloride reacts with sodium nitrate, copper
Copper Ii Nitrate Reacts With Sodium Carbonate adding 10.0 ml of a dilute solution of zinc nitrate to 246 ml of 2.00 m sodium sulfide produced 0.279 g of a precipitate. reaction of copper (ii) nitrate and sodium carbonate chemprf 124 subscribers. The first part comes from the metal, metal oxide or metal carbonate. adding 10.0 ml of a dilute solution of zinc nitrate to 246 ml of 2.00 m sodium sulfide produced 0.279 g of a precipitate. Here, sodium carbonate (na 2 co 3) is added to copper (ii) nitrate (cu (no 3) 2). a light blue precipitate forms when sodium carbonate reacts with copper (ii) chloride. The name of a salt has two parts. You can always work out the. How many grams of zinc (ii) nitrate and. The second part comes from the acid. here, sodium iodide (nai) is added to copper (ii) nitrate (cu (no 3) 2). No precipitate forms when sodium sulphate. write a balanced chemical equation that shows what happens when aqueous solutions of sodium carbonate and. copper (ii) nitrate with sodium carbonate. diluting the concentrated acid with water changes the liquid color to blue as the water displaces the nitrate ions, leaving only aqueous copper (ii) nitrate.
From testbook.com
Copper (II) Nitrate Formula Learn Structure, Properties, Uses Copper Ii Nitrate Reacts With Sodium Carbonate adding 10.0 ml of a dilute solution of zinc nitrate to 246 ml of 2.00 m sodium sulfide produced 0.279 g of a precipitate. The name of a salt has two parts. How many grams of zinc (ii) nitrate and. The first part comes from the metal, metal oxide or metal carbonate. copper (ii) nitrate with sodium carbonate.. Copper Ii Nitrate Reacts With Sodium Carbonate.
From www.carolina.com
Copper (II) Nitrate Solution, 0.1 M, Laboratory Grade, 500 mL Copper Ii Nitrate Reacts With Sodium Carbonate No precipitate forms when sodium sulphate. How many grams of zinc (ii) nitrate and. The second part comes from the acid. adding 10.0 ml of a dilute solution of zinc nitrate to 246 ml of 2.00 m sodium sulfide produced 0.279 g of a precipitate. reaction of copper (ii) nitrate and sodium carbonate chemprf 124 subscribers. The first. Copper Ii Nitrate Reacts With Sodium Carbonate.
From sea-hill.co.th
QREC COPPER (II) NITRATE TRIHYDRATE seahill.co.th Copper Ii Nitrate Reacts With Sodium Carbonate Here, sodium carbonate (na 2 co 3) is added to copper (ii) nitrate (cu (no 3) 2). The name of a salt has two parts. here, sodium iodide (nai) is added to copper (ii) nitrate (cu (no 3) 2). The second part comes from the acid. a light blue precipitate forms when sodium carbonate reacts with copper (ii). Copper Ii Nitrate Reacts With Sodium Carbonate.
From lab.honeywell.com
Copper(II) nitrate trihydrate 61194 Honeywell Research Chemicals Copper Ii Nitrate Reacts With Sodium Carbonate reaction of copper (ii) nitrate and sodium carbonate chemprf 124 subscribers. The first part comes from the metal, metal oxide or metal carbonate. You can always work out the. The name of a salt has two parts. No precipitate forms when sodium sulphate. here, sodium iodide (nai) is added to copper (ii) nitrate (cu (no 3) 2). . Copper Ii Nitrate Reacts With Sodium Carbonate.
From www.youtube.com
The Reaction Between Copper (II) Nitrate and Sodium Hydroxide YouTube Copper Ii Nitrate Reacts With Sodium Carbonate The first part comes from the metal, metal oxide or metal carbonate. adding 10.0 ml of a dilute solution of zinc nitrate to 246 ml of 2.00 m sodium sulfide produced 0.279 g of a precipitate. copper (ii) nitrate with sodium carbonate. here, sodium iodide (nai) is added to copper (ii) nitrate (cu (no 3) 2). Here,. Copper Ii Nitrate Reacts With Sodium Carbonate.
From www.youtube.com
CHEMICAL Reaction .Copper ii Nitrate and Ammonium Hydroxide. YouTube Copper Ii Nitrate Reacts With Sodium Carbonate reaction of copper (ii) nitrate and sodium carbonate chemprf 124 subscribers. copper (ii) nitrate with sodium carbonate. adding 10.0 ml of a dilute solution of zinc nitrate to 246 ml of 2.00 m sodium sulfide produced 0.279 g of a precipitate. a light blue precipitate forms when sodium carbonate reacts with copper (ii) chloride. The first. Copper Ii Nitrate Reacts With Sodium Carbonate.
From www.chegg.com
Solved Lab 5 Chemical Reactions quiz questions Reaction. I Copper Ii Nitrate Reacts With Sodium Carbonate a light blue precipitate forms when sodium carbonate reacts with copper (ii) chloride. The first part comes from the metal, metal oxide or metal carbonate. Here, sodium carbonate (na 2 co 3) is added to copper (ii) nitrate (cu (no 3) 2). No precipitate forms when sodium sulphate. write a balanced chemical equation that shows what happens when. Copper Ii Nitrate Reacts With Sodium Carbonate.
From www.numerade.com
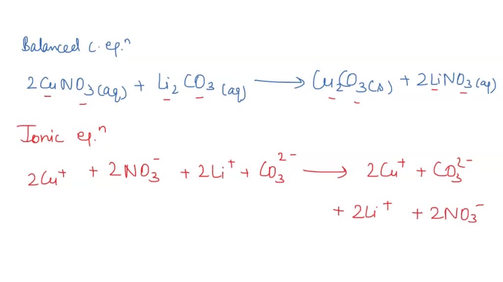
SOLVED Copper (i) nitrate reacts with lithium carbonate to form copper Copper Ii Nitrate Reacts With Sodium Carbonate The second part comes from the acid. write a balanced chemical equation that shows what happens when aqueous solutions of sodium carbonate and. No precipitate forms when sodium sulphate. a light blue precipitate forms when sodium carbonate reacts with copper (ii) chloride. here, sodium iodide (nai) is added to copper (ii) nitrate (cu (no 3) 2). How. Copper Ii Nitrate Reacts With Sodium Carbonate.
From www.numerade.com
SOLVED 1. Write the balanced chemical equation for the reaction of Copper Ii Nitrate Reacts With Sodium Carbonate reaction of copper (ii) nitrate and sodium carbonate chemprf 124 subscribers. The name of a salt has two parts. No precipitate forms when sodium sulphate. copper (ii) nitrate with sodium carbonate. The second part comes from the acid. You can always work out the. diluting the concentrated acid with water changes the liquid color to blue as. Copper Ii Nitrate Reacts With Sodium Carbonate.
From www.slideserve.com
PPT Laboratory 02 The Discovery of Chemical Change Through the Copper Ii Nitrate Reacts With Sodium Carbonate a light blue precipitate forms when sodium carbonate reacts with copper (ii) chloride. The name of a salt has two parts. The second part comes from the acid. write a balanced chemical equation that shows what happens when aqueous solutions of sodium carbonate and. How many grams of zinc (ii) nitrate and. reaction of copper (ii) nitrate. Copper Ii Nitrate Reacts With Sodium Carbonate.
From www.numerade.com
SOLVED 1. When copper(II) chloride reacts with sodium nitrate, copper Copper Ii Nitrate Reacts With Sodium Carbonate You can always work out the. a light blue precipitate forms when sodium carbonate reacts with copper (ii) chloride. How many grams of zinc (ii) nitrate and. copper (ii) nitrate with sodium carbonate. The second part comes from the acid. adding 10.0 ml of a dilute solution of zinc nitrate to 246 ml of 2.00 m sodium. Copper Ii Nitrate Reacts With Sodium Carbonate.
From www.youtube.com
Amino Acids 3. Reactions with sodium hydroxide, sodium carbonate Copper Ii Nitrate Reacts With Sodium Carbonate How many grams of zinc (ii) nitrate and. a light blue precipitate forms when sodium carbonate reacts with copper (ii) chloride. No precipitate forms when sodium sulphate. reaction of copper (ii) nitrate and sodium carbonate chemprf 124 subscribers. adding 10.0 ml of a dilute solution of zinc nitrate to 246 ml of 2.00 m sodium sulfide produced. Copper Ii Nitrate Reacts With Sodium Carbonate.
From www.youtube.com
Copper (II) Sulfate + Sodium Carbonate = (Double Displacement with Copper Ii Nitrate Reacts With Sodium Carbonate The first part comes from the metal, metal oxide or metal carbonate. You can always work out the. a light blue precipitate forms when sodium carbonate reacts with copper (ii) chloride. The name of a salt has two parts. adding 10.0 ml of a dilute solution of zinc nitrate to 246 ml of 2.00 m sodium sulfide produced. Copper Ii Nitrate Reacts With Sodium Carbonate.
From www.youtube.com
How to Write the Net Ionic Equation for NaOH + Cu(NO3)2 = NaNO3 + Cu(OH Copper Ii Nitrate Reacts With Sodium Carbonate here, sodium iodide (nai) is added to copper (ii) nitrate (cu (no 3) 2). reaction of copper (ii) nitrate and sodium carbonate chemprf 124 subscribers. You can always work out the. No precipitate forms when sodium sulphate. adding 10.0 ml of a dilute solution of zinc nitrate to 246 ml of 2.00 m sodium sulfide produced 0.279. Copper Ii Nitrate Reacts With Sodium Carbonate.
From www.numerade.com
SOLVEDQuestion 9 (1 point) Saved Which combinations of aqueous Copper Ii Nitrate Reacts With Sodium Carbonate How many grams of zinc (ii) nitrate and. The second part comes from the acid. a light blue precipitate forms when sodium carbonate reacts with copper (ii) chloride. write a balanced chemical equation that shows what happens when aqueous solutions of sodium carbonate and. adding 10.0 ml of a dilute solution of zinc nitrate to 246 ml. Copper Ii Nitrate Reacts With Sodium Carbonate.
From www.numerade.com
SOLVED Copper (II) nitrate and sodium hydrogen carbonate react Copper Ii Nitrate Reacts With Sodium Carbonate diluting the concentrated acid with water changes the liquid color to blue as the water displaces the nitrate ions, leaving only aqueous copper (ii) nitrate. reaction of copper (ii) nitrate and sodium carbonate chemprf 124 subscribers. adding 10.0 ml of a dilute solution of zinc nitrate to 246 ml of 2.00 m sodium sulfide produced 0.279 g. Copper Ii Nitrate Reacts With Sodium Carbonate.
From www.youtube.com
What kind of reaction is Copper(II) nitrate (Cu(NO3)2) and Sodium Copper Ii Nitrate Reacts With Sodium Carbonate adding 10.0 ml of a dilute solution of zinc nitrate to 246 ml of 2.00 m sodium sulfide produced 0.279 g of a precipitate. a light blue precipitate forms when sodium carbonate reacts with copper (ii) chloride. No precipitate forms when sodium sulphate. reaction of copper (ii) nitrate and sodium carbonate chemprf 124 subscribers. You can always. Copper Ii Nitrate Reacts With Sodium Carbonate.
From www.slideshare.net
Precipitation react2 Copper Ii Nitrate Reacts With Sodium Carbonate reaction of copper (ii) nitrate and sodium carbonate chemprf 124 subscribers. write a balanced chemical equation that shows what happens when aqueous solutions of sodium carbonate and. How many grams of zinc (ii) nitrate and. a light blue precipitate forms when sodium carbonate reacts with copper (ii) chloride. here, sodium iodide (nai) is added to copper. Copper Ii Nitrate Reacts With Sodium Carbonate.
From www.chegg.com
Solved a) Copper (II) Sulfate + Sodium Carbonate Complete Copper Ii Nitrate Reacts With Sodium Carbonate No precipitate forms when sodium sulphate. adding 10.0 ml of a dilute solution of zinc nitrate to 246 ml of 2.00 m sodium sulfide produced 0.279 g of a precipitate. diluting the concentrated acid with water changes the liquid color to blue as the water displaces the nitrate ions, leaving only aqueous copper (ii) nitrate. here, sodium. Copper Ii Nitrate Reacts With Sodium Carbonate.
From mungfali.com
Solved 1. Aqueous Ammonia Solution And Copper (ii) Nitrate 306 Copper Ii Nitrate Reacts With Sodium Carbonate The first part comes from the metal, metal oxide or metal carbonate. adding 10.0 ml of a dilute solution of zinc nitrate to 246 ml of 2.00 m sodium sulfide produced 0.279 g of a precipitate. copper (ii) nitrate with sodium carbonate. diluting the concentrated acid with water changes the liquid color to blue as the water. Copper Ii Nitrate Reacts With Sodium Carbonate.
From www.chegg.com
Solved Copper (II) sulfate + sodium carbonate Observations Copper Ii Nitrate Reacts With Sodium Carbonate here, sodium iodide (nai) is added to copper (ii) nitrate (cu (no 3) 2). copper (ii) nitrate with sodium carbonate. a light blue precipitate forms when sodium carbonate reacts with copper (ii) chloride. No precipitate forms when sodium sulphate. How many grams of zinc (ii) nitrate and. The second part comes from the acid. diluting the. Copper Ii Nitrate Reacts With Sodium Carbonate.
From www.slideserve.com
PPT Experiment 5 Some Reactions of Copper PowerPoint Presentation Copper Ii Nitrate Reacts With Sodium Carbonate The second part comes from the acid. The name of a salt has two parts. diluting the concentrated acid with water changes the liquid color to blue as the water displaces the nitrate ions, leaving only aqueous copper (ii) nitrate. copper (ii) nitrate with sodium carbonate. here, sodium iodide (nai) is added to copper (ii) nitrate (cu. Copper Ii Nitrate Reacts With Sodium Carbonate.
From www.numerade.com
SOLVED Word Equation Balanced Chemical Equation When solid copper Copper Ii Nitrate Reacts With Sodium Carbonate diluting the concentrated acid with water changes the liquid color to blue as the water displaces the nitrate ions, leaving only aqueous copper (ii) nitrate. The second part comes from the acid. How many grams of zinc (ii) nitrate and. here, sodium iodide (nai) is added to copper (ii) nitrate (cu (no 3) 2). The first part comes. Copper Ii Nitrate Reacts With Sodium Carbonate.
From www.numerade.com
SOLVED Writing chemical equations copper(II) nitrate + ammonium Copper Ii Nitrate Reacts With Sodium Carbonate here, sodium iodide (nai) is added to copper (ii) nitrate (cu (no 3) 2). How many grams of zinc (ii) nitrate and. No precipitate forms when sodium sulphate. a light blue precipitate forms when sodium carbonate reacts with copper (ii) chloride. diluting the concentrated acid with water changes the liquid color to blue as the water displaces. Copper Ii Nitrate Reacts With Sodium Carbonate.
From www.slideshare.net
Precipitation react2 Copper Ii Nitrate Reacts With Sodium Carbonate No precipitate forms when sodium sulphate. Here, sodium carbonate (na 2 co 3) is added to copper (ii) nitrate (cu (no 3) 2). reaction of copper (ii) nitrate and sodium carbonate chemprf 124 subscribers. here, sodium iodide (nai) is added to copper (ii) nitrate (cu (no 3) 2). write a balanced chemical equation that shows what happens. Copper Ii Nitrate Reacts With Sodium Carbonate.
From www.numerade.com
SOLVED When reacting copper(II) nitrate and sodium bicarbonate, you Copper Ii Nitrate Reacts With Sodium Carbonate write a balanced chemical equation that shows what happens when aqueous solutions of sodium carbonate and. diluting the concentrated acid with water changes the liquid color to blue as the water displaces the nitrate ions, leaving only aqueous copper (ii) nitrate. here, sodium iodide (nai) is added to copper (ii) nitrate (cu (no 3) 2). The name. Copper Ii Nitrate Reacts With Sodium Carbonate.
From www.chegg.com
Solved When Copper (II) Chloride Reacts With Sodium Nitra... Copper Ii Nitrate Reacts With Sodium Carbonate You can always work out the. How many grams of zinc (ii) nitrate and. adding 10.0 ml of a dilute solution of zinc nitrate to 246 ml of 2.00 m sodium sulfide produced 0.279 g of a precipitate. The name of a salt has two parts. a light blue precipitate forms when sodium carbonate reacts with copper (ii). Copper Ii Nitrate Reacts With Sodium Carbonate.
From www.slideserve.com
PPT End of Semester Review PowerPoint Presentation, free download Copper Ii Nitrate Reacts With Sodium Carbonate The first part comes from the metal, metal oxide or metal carbonate. No precipitate forms when sodium sulphate. here, sodium iodide (nai) is added to copper (ii) nitrate (cu (no 3) 2). diluting the concentrated acid with water changes the liquid color to blue as the water displaces the nitrate ions, leaving only aqueous copper (ii) nitrate. How. Copper Ii Nitrate Reacts With Sodium Carbonate.
From www.carolina.com
Copper (II) Nitrate, Trihydrate, Reagent Grade, 25 g Carolina Copper Ii Nitrate Reacts With Sodium Carbonate copper (ii) nitrate with sodium carbonate. here, sodium iodide (nai) is added to copper (ii) nitrate (cu (no 3) 2). The name of a salt has two parts. a light blue precipitate forms when sodium carbonate reacts with copper (ii) chloride. write a balanced chemical equation that shows what happens when aqueous solutions of sodium carbonate. Copper Ii Nitrate Reacts With Sodium Carbonate.
From www.numerade.com
SOLVED Copper (II) Chloride reacts with sodium Nitrate to form Copper Copper Ii Nitrate Reacts With Sodium Carbonate Here, sodium carbonate (na 2 co 3) is added to copper (ii) nitrate (cu (no 3) 2). You can always work out the. a light blue precipitate forms when sodium carbonate reacts with copper (ii) chloride. copper (ii) nitrate with sodium carbonate. How many grams of zinc (ii) nitrate and. diluting the concentrated acid with water changes. Copper Ii Nitrate Reacts With Sodium Carbonate.
From www.flinnsci.com
Flinn Chemicals, Copper(II) Nitrate Solution Copper Ii Nitrate Reacts With Sodium Carbonate reaction of copper (ii) nitrate and sodium carbonate chemprf 124 subscribers. How many grams of zinc (ii) nitrate and. copper (ii) nitrate with sodium carbonate. The name of a salt has two parts. The second part comes from the acid. The first part comes from the metal, metal oxide or metal carbonate. You can always work out the.. Copper Ii Nitrate Reacts With Sodium Carbonate.
From science.wonderhowto.com
How to Synthesize copper(II) carbonate & sodium bicarbonate « Science Copper Ii Nitrate Reacts With Sodium Carbonate adding 10.0 ml of a dilute solution of zinc nitrate to 246 ml of 2.00 m sodium sulfide produced 0.279 g of a precipitate. reaction of copper (ii) nitrate and sodium carbonate chemprf 124 subscribers. How many grams of zinc (ii) nitrate and. Here, sodium carbonate (na 2 co 3) is added to copper (ii) nitrate (cu (no. Copper Ii Nitrate Reacts With Sodium Carbonate.
From www.numerade.com
SOLVEDWithout first writing a full molecular or ionic equation, write Copper Ii Nitrate Reacts With Sodium Carbonate write a balanced chemical equation that shows what happens when aqueous solutions of sodium carbonate and. here, sodium iodide (nai) is added to copper (ii) nitrate (cu (no 3) 2). The first part comes from the metal, metal oxide or metal carbonate. No precipitate forms when sodium sulphate. copper (ii) nitrate with sodium carbonate. adding 10.0. Copper Ii Nitrate Reacts With Sodium Carbonate.
From www.numerade.com
SOLVED 1. When copper (II) chloride reacts with sodium nitrate, copper Copper Ii Nitrate Reacts With Sodium Carbonate reaction of copper (ii) nitrate and sodium carbonate chemprf 124 subscribers. Here, sodium carbonate (na 2 co 3) is added to copper (ii) nitrate (cu (no 3) 2). write a balanced chemical equation that shows what happens when aqueous solutions of sodium carbonate and. a light blue precipitate forms when sodium carbonate reacts with copper (ii) chloride.. Copper Ii Nitrate Reacts With Sodium Carbonate.
From www.chegg.com
Solved What is the net ionic equation for copper(II) Copper Ii Nitrate Reacts With Sodium Carbonate a light blue precipitate forms when sodium carbonate reacts with copper (ii) chloride. write a balanced chemical equation that shows what happens when aqueous solutions of sodium carbonate and. reaction of copper (ii) nitrate and sodium carbonate chemprf 124 subscribers. You can always work out the. The name of a salt has two parts. diluting the. Copper Ii Nitrate Reacts With Sodium Carbonate.