Equalization Charging Voltage . ieee defines equalization voltage as the voltage, higher than float, applied to a battery to correct inequalities among battery cells (voltage or. the difference of effective voltage causes the current unbalance and it is used for the charge equalization. learn what equalizing charge is, why it is needed, and how to perform it safely for lead acid batteries. battery equalization voltage refers specifically to the specific voltage that must be applied to many batteries in order not to overcharge or undercharge them, while equalizing charge ensures batteries of all types receive an even amount of charge.
from www.researchgate.net
ieee defines equalization voltage as the voltage, higher than float, applied to a battery to correct inequalities among battery cells (voltage or. battery equalization voltage refers specifically to the specific voltage that must be applied to many batteries in order not to overcharge or undercharge them, while equalizing charge ensures batteries of all types receive an even amount of charge. learn what equalizing charge is, why it is needed, and how to perform it safely for lead acid batteries. the difference of effective voltage causes the current unbalance and it is used for the charge equalization.
(PDF) Voltage Equalization Control Method for ships and warships
Equalization Charging Voltage learn what equalizing charge is, why it is needed, and how to perform it safely for lead acid batteries. the difference of effective voltage causes the current unbalance and it is used for the charge equalization. ieee defines equalization voltage as the voltage, higher than float, applied to a battery to correct inequalities among battery cells (voltage or. battery equalization voltage refers specifically to the specific voltage that must be applied to many batteries in order not to overcharge or undercharge them, while equalizing charge ensures batteries of all types receive an even amount of charge. learn what equalizing charge is, why it is needed, and how to perform it safely for lead acid batteries.
From www.semanticscholar.org
Figure 1 from Active Vehicle Battery Equalization Scheme in the Equalization Charging Voltage learn what equalizing charge is, why it is needed, and how to perform it safely for lead acid batteries. the difference of effective voltage causes the current unbalance and it is used for the charge equalization. battery equalization voltage refers specifically to the specific voltage that must be applied to many batteries in order not to overcharge. Equalization Charging Voltage.
From circuitgymreicafx6.z13.web.core.windows.net
What Is Equalization Charging In Batteries Equalization Charging Voltage battery equalization voltage refers specifically to the specific voltage that must be applied to many batteries in order not to overcharge or undercharge them, while equalizing charge ensures batteries of all types receive an even amount of charge. the difference of effective voltage causes the current unbalance and it is used for the charge equalization. ieee defines. Equalization Charging Voltage.
From www.youtube.com
Battery Charge Voltages Explained // Equalization // Bulk // Absorption Equalization Charging Voltage ieee defines equalization voltage as the voltage, higher than float, applied to a battery to correct inequalities among battery cells (voltage or. learn what equalizing charge is, why it is needed, and how to perform it safely for lead acid batteries. the difference of effective voltage causes the current unbalance and it is used for the charge. Equalization Charging Voltage.
From www.youtube.com
Parallel Charging Equalization Current YouTube Equalization Charging Voltage ieee defines equalization voltage as the voltage, higher than float, applied to a battery to correct inequalities among battery cells (voltage or. battery equalization voltage refers specifically to the specific voltage that must be applied to many batteries in order not to overcharge or undercharge them, while equalizing charge ensures batteries of all types receive an even amount. Equalization Charging Voltage.
From community.victronenergy.com
Help Determining Absorption, Float, and Equalization Voltage for 18V 5S Equalization Charging Voltage ieee defines equalization voltage as the voltage, higher than float, applied to a battery to correct inequalities among battery cells (voltage or. learn what equalizing charge is, why it is needed, and how to perform it safely for lead acid batteries. the difference of effective voltage causes the current unbalance and it is used for the charge. Equalization Charging Voltage.
From www.researchgate.net
Circuit model of a charge equalization controller. Download Equalization Charging Voltage battery equalization voltage refers specifically to the specific voltage that must be applied to many batteries in order not to overcharge or undercharge them, while equalizing charge ensures batteries of all types receive an even amount of charge. ieee defines equalization voltage as the voltage, higher than float, applied to a battery to correct inequalities among battery cells. Equalization Charging Voltage.
From www.researchgate.net
Proposed circuit for charging with constant current and voltage Equalization Charging Voltage learn what equalizing charge is, why it is needed, and how to perform it safely for lead acid batteries. battery equalization voltage refers specifically to the specific voltage that must be applied to many batteries in order not to overcharge or undercharge them, while equalizing charge ensures batteries of all types receive an even amount of charge. . Equalization Charging Voltage.
From www.researchgate.net
Chargetype cell equalization converter. Download Scientific Diagram Equalization Charging Voltage ieee defines equalization voltage as the voltage, higher than float, applied to a battery to correct inequalities among battery cells (voltage or. battery equalization voltage refers specifically to the specific voltage that must be applied to many batteries in order not to overcharge or undercharge them, while equalizing charge ensures batteries of all types receive an even amount. Equalization Charging Voltage.
From www.semanticscholar.org
Figure 11 from Active Vehicle Battery Equalization Scheme in the Equalization Charging Voltage battery equalization voltage refers specifically to the specific voltage that must be applied to many batteries in order not to overcharge or undercharge them, while equalizing charge ensures batteries of all types receive an even amount of charge. ieee defines equalization voltage as the voltage, higher than float, applied to a battery to correct inequalities among battery cells. Equalization Charging Voltage.
From circuitdataeugene.z21.web.core.windows.net
What Is Battery Equalization Voltage Equalization Charging Voltage battery equalization voltage refers specifically to the specific voltage that must be applied to many batteries in order not to overcharge or undercharge them, while equalizing charge ensures batteries of all types receive an even amount of charge. ieee defines equalization voltage as the voltage, higher than float, applied to a battery to correct inequalities among battery cells. Equalization Charging Voltage.
From solarshouse.com
LiFePo4 Voltage Chart [12V, 24V, 48V & 1 Cell (3.2V)] Pro Tips Equalization Charging Voltage the difference of effective voltage causes the current unbalance and it is used for the charge equalization. ieee defines equalization voltage as the voltage, higher than float, applied to a battery to correct inequalities among battery cells (voltage or. battery equalization voltage refers specifically to the specific voltage that must be applied to many batteries in order. Equalization Charging Voltage.
From www.alllithiumbattery.com
Qnbbm 5s 15V Lithium Battery Equalizer Supplier Battery Voltage Equalization Charging Voltage learn what equalizing charge is, why it is needed, and how to perform it safely for lead acid batteries. ieee defines equalization voltage as the voltage, higher than float, applied to a battery to correct inequalities among battery cells (voltage or. the difference of effective voltage causes the current unbalance and it is used for the charge. Equalization Charging Voltage.
From www.researchgate.net
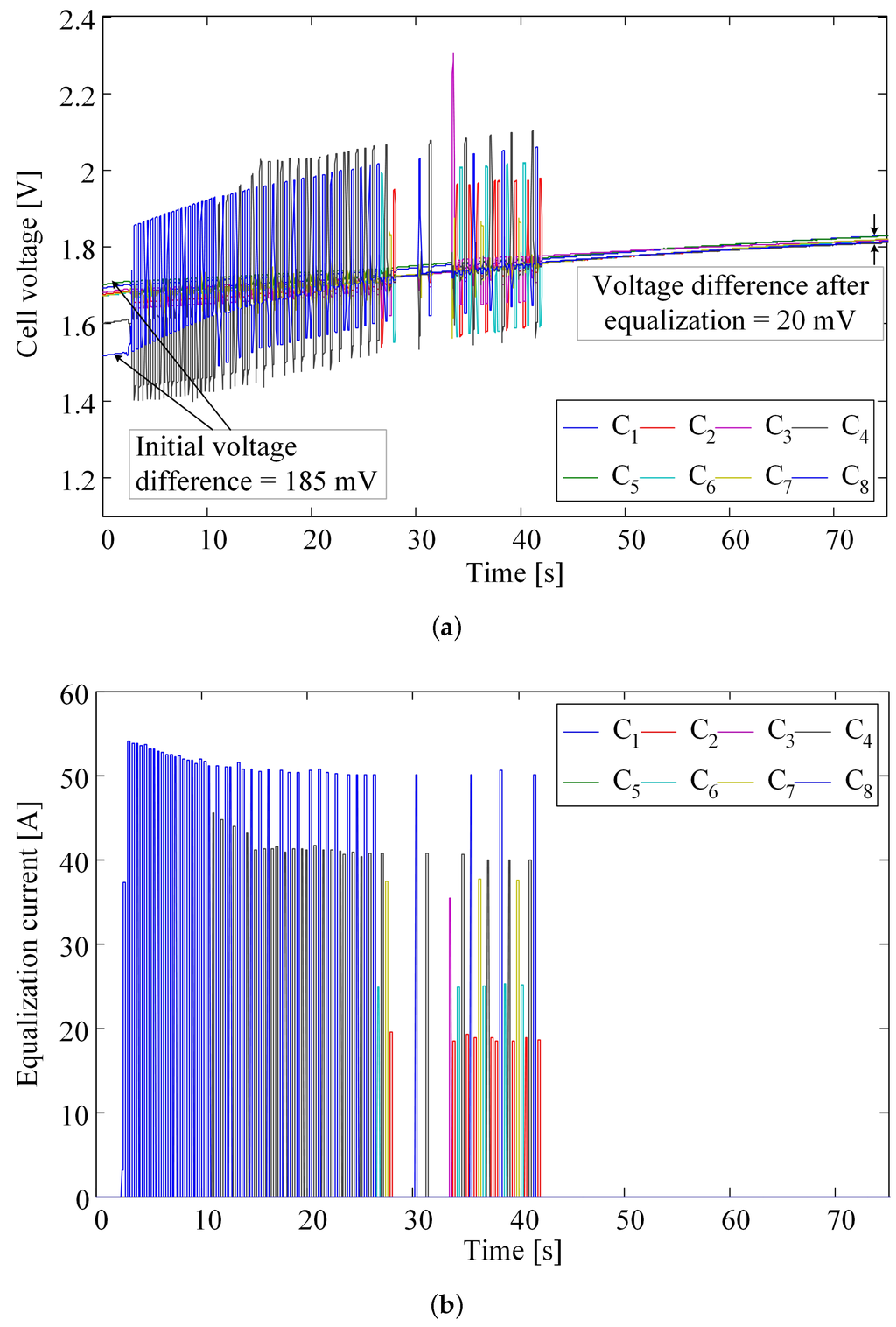
The voltage charging process. (a) The cell voltage profiles; (b) the Equalization Charging Voltage battery equalization voltage refers specifically to the specific voltage that must be applied to many batteries in order not to overcharge or undercharge them, while equalizing charge ensures batteries of all types receive an even amount of charge. the difference of effective voltage causes the current unbalance and it is used for the charge equalization. learn what. Equalization Charging Voltage.
From www.semanticscholar.org
Figure 2 from Active Vehicle Battery Equalization Scheme in the Equalization Charging Voltage learn what equalizing charge is, why it is needed, and how to perform it safely for lead acid batteries. ieee defines equalization voltage as the voltage, higher than float, applied to a battery to correct inequalities among battery cells (voltage or. the difference of effective voltage causes the current unbalance and it is used for the charge. Equalization Charging Voltage.
From exonqnsou.blob.core.windows.net
Equalization Battery Charger at Jesse Huggins blog Equalization Charging Voltage learn what equalizing charge is, why it is needed, and how to perform it safely for lead acid batteries. battery equalization voltage refers specifically to the specific voltage that must be applied to many batteries in order not to overcharge or undercharge them, while equalizing charge ensures batteries of all types receive an even amount of charge. . Equalization Charging Voltage.
From www.researchgate.net
Voltage waves of the different equalization methods. (a)... Download Equalization Charging Voltage battery equalization voltage refers specifically to the specific voltage that must be applied to many batteries in order not to overcharge or undercharge them, while equalizing charge ensures batteries of all types receive an even amount of charge. ieee defines equalization voltage as the voltage, higher than float, applied to a battery to correct inequalities among battery cells. Equalization Charging Voltage.
From www.semanticscholar.org
Figure 1 from Active Vehicle Battery Equalization Scheme in the Equalization Charging Voltage the difference of effective voltage causes the current unbalance and it is used for the charge equalization. learn what equalizing charge is, why it is needed, and how to perform it safely for lead acid batteries. battery equalization voltage refers specifically to the specific voltage that must be applied to many batteries in order not to overcharge. Equalization Charging Voltage.
From www.semanticscholar.org
Figure 1 from Active Vehicle Battery Equalization Scheme in the Equalization Charging Voltage ieee defines equalization voltage as the voltage, higher than float, applied to a battery to correct inequalities among battery cells (voltage or. the difference of effective voltage causes the current unbalance and it is used for the charge equalization. battery equalization voltage refers specifically to the specific voltage that must be applied to many batteries in order. Equalization Charging Voltage.
From circuitgymreicafx6.z13.web.core.windows.net
What Is Equalization Charging In Batteries Equalization Charging Voltage ieee defines equalization voltage as the voltage, higher than float, applied to a battery to correct inequalities among battery cells (voltage or. battery equalization voltage refers specifically to the specific voltage that must be applied to many batteries in order not to overcharge or undercharge them, while equalizing charge ensures batteries of all types receive an even amount. Equalization Charging Voltage.
From www.mdpi.com
Sustainability Free FullText A HighEfficiency Voltage Equalization Charging Voltage the difference of effective voltage causes the current unbalance and it is used for the charge equalization. ieee defines equalization voltage as the voltage, higher than float, applied to a battery to correct inequalities among battery cells (voltage or. learn what equalizing charge is, why it is needed, and how to perform it safely for lead acid. Equalization Charging Voltage.
From www.researchgate.net
Diagram of the charge equalization technique used in CESs. Download Equalization Charging Voltage learn what equalizing charge is, why it is needed, and how to perform it safely for lead acid batteries. the difference of effective voltage causes the current unbalance and it is used for the charge equalization. battery equalization voltage refers specifically to the specific voltage that must be applied to many batteries in order not to overcharge. Equalization Charging Voltage.
From powerclues.com
What is Equalizing Charging Voltage? (What is the Average Time to Equalization Charging Voltage battery equalization voltage refers specifically to the specific voltage that must be applied to many batteries in order not to overcharge or undercharge them, while equalizing charge ensures batteries of all types receive an even amount of charge. the difference of effective voltage causes the current unbalance and it is used for the charge equalization. ieee defines. Equalization Charging Voltage.
From www.slideserve.com
PPT Charge Controllers PowerPoint Presentation, free download ID Equalization Charging Voltage battery equalization voltage refers specifically to the specific voltage that must be applied to many batteries in order not to overcharge or undercharge them, while equalizing charge ensures batteries of all types receive an even amount of charge. learn what equalizing charge is, why it is needed, and how to perform it safely for lead acid batteries. . Equalization Charging Voltage.
From www.slideshare.net
Boost and equalize charge with limited voltage window an Eltek Whi… Equalization Charging Voltage learn what equalizing charge is, why it is needed, and how to perform it safely for lead acid batteries. ieee defines equalization voltage as the voltage, higher than float, applied to a battery to correct inequalities among battery cells (voltage or. battery equalization voltage refers specifically to the specific voltage that must be applied to many batteries. Equalization Charging Voltage.
From www.semanticscholar.org
Figure 4 from Equalization Chargedischarge Control Strategy for Series Equalization Charging Voltage learn what equalizing charge is, why it is needed, and how to perform it safely for lead acid batteries. the difference of effective voltage causes the current unbalance and it is used for the charge equalization. battery equalization voltage refers specifically to the specific voltage that must be applied to many batteries in order not to overcharge. Equalization Charging Voltage.
From www.researchgate.net
The proposed voltage equalization circuit schematic. Download Equalization Charging Voltage the difference of effective voltage causes the current unbalance and it is used for the charge equalization. ieee defines equalization voltage as the voltage, higher than float, applied to a battery to correct inequalities among battery cells (voltage or. learn what equalizing charge is, why it is needed, and how to perform it safely for lead acid. Equalization Charging Voltage.
From www.mdpi.com
Energies Free FullText Energy Storage System with Voltage Equalization Charging Voltage learn what equalizing charge is, why it is needed, and how to perform it safely for lead acid batteries. battery equalization voltage refers specifically to the specific voltage that must be applied to many batteries in order not to overcharge or undercharge them, while equalizing charge ensures batteries of all types receive an even amount of charge. . Equalization Charging Voltage.
From techbatterysolutions.answerbase.com
What are the charging voltage specs (Absorption, Float, Equalization Equalization Charging Voltage the difference of effective voltage causes the current unbalance and it is used for the charge equalization. learn what equalizing charge is, why it is needed, and how to perform it safely for lead acid batteries. ieee defines equalization voltage as the voltage, higher than float, applied to a battery to correct inequalities among battery cells (voltage. Equalization Charging Voltage.
From www.scribd.com
Simulation About Battery Equalization Charging Based On The Fuzzy Equalization Charging Voltage the difference of effective voltage causes the current unbalance and it is used for the charge equalization. ieee defines equalization voltage as the voltage, higher than float, applied to a battery to correct inequalities among battery cells (voltage or. battery equalization voltage refers specifically to the specific voltage that must be applied to many batteries in order. Equalization Charging Voltage.
From www.semanticscholar.org
Figure 1 from Active Vehicle Battery Equalization Scheme in the Equalization Charging Voltage learn what equalizing charge is, why it is needed, and how to perform it safely for lead acid batteries. the difference of effective voltage causes the current unbalance and it is used for the charge equalization. battery equalization voltage refers specifically to the specific voltage that must be applied to many batteries in order not to overcharge. Equalization Charging Voltage.
From www.slideshare.net
Boost and equalize charge with limited voltage window an Eltek Whi… Equalization Charging Voltage ieee defines equalization voltage as the voltage, higher than float, applied to a battery to correct inequalities among battery cells (voltage or. battery equalization voltage refers specifically to the specific voltage that must be applied to many batteries in order not to overcharge or undercharge them, while equalizing charge ensures batteries of all types receive an even amount. Equalization Charging Voltage.
From diagramlibundirtaki8cw.z21.web.core.windows.net
What Is Equalization Charging In Batteries Equalization Charging Voltage battery equalization voltage refers specifically to the specific voltage that must be applied to many batteries in order not to overcharge or undercharge them, while equalizing charge ensures batteries of all types receive an even amount of charge. learn what equalizing charge is, why it is needed, and how to perform it safely for lead acid batteries. . Equalization Charging Voltage.
From www.researchgate.net
(PDF) Voltage Equalization Control Method for ships and warships Equalization Charging Voltage ieee defines equalization voltage as the voltage, higher than float, applied to a battery to correct inequalities among battery cells (voltage or. battery equalization voltage refers specifically to the specific voltage that must be applied to many batteries in order not to overcharge or undercharge them, while equalizing charge ensures batteries of all types receive an even amount. Equalization Charging Voltage.
From www.semanticscholar.org
Figure 6 from Automatic charge equalization circuit based on regulated Equalization Charging Voltage ieee defines equalization voltage as the voltage, higher than float, applied to a battery to correct inequalities among battery cells (voltage or. the difference of effective voltage causes the current unbalance and it is used for the charge equalization. learn what equalizing charge is, why it is needed, and how to perform it safely for lead acid. Equalization Charging Voltage.
From npplithium.com
How to equalization charge Lithium ion battery pack(Cell Balancing Equalization Charging Voltage learn what equalizing charge is, why it is needed, and how to perform it safely for lead acid batteries. battery equalization voltage refers specifically to the specific voltage that must be applied to many batteries in order not to overcharge or undercharge them, while equalizing charge ensures batteries of all types receive an even amount of charge. . Equalization Charging Voltage.