Kings Msw Application . Dedicated to growth visit our website:. Msw application instructions overview applications to the king’s university college msw program are submitted online to the school of. Deadline to apply is january 15. Students who are currently pursuing or have completed a bachelor of social work (bsw) at king may apply for guaranteed. The msw degree is awarded by western with courses offered at the school of social work at king’s.
from exodspzmq.blob.core.windows.net
Dedicated to growth visit our website:. Deadline to apply is january 15. Students who are currently pursuing or have completed a bachelor of social work (bsw) at king may apply for guaranteed. Msw application instructions overview applications to the king’s university college msw program are submitted online to the school of. The msw degree is awarded by western with courses offered at the school of social work at king’s.
Msw Programs Requirements at Joseph Crandall blog
Kings Msw Application Students who are currently pursuing or have completed a bachelor of social work (bsw) at king may apply for guaranteed. The msw degree is awarded by western with courses offered at the school of social work at king’s. Msw application instructions overview applications to the king’s university college msw program are submitted online to the school of. Deadline to apply is january 15. Dedicated to growth visit our website:. Students who are currently pursuing or have completed a bachelor of social work (bsw) at king may apply for guaranteed.
From www.pdffiller.com
Fillable Online BCM COLLEGE MSW Application form Fax Email Print Kings Msw Application Msw application instructions overview applications to the king’s university college msw program are submitted online to the school of. Students who are currently pursuing or have completed a bachelor of social work (bsw) at king may apply for guaranteed. The msw degree is awarded by western with courses offered at the school of social work at king’s. Dedicated to growth. Kings Msw Application.
From www.pdffiller.com
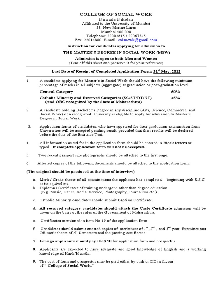
MSW Application Materials and InationSouthern Connecticut State Doc Kings Msw Application Deadline to apply is january 15. Msw application instructions overview applications to the king’s university college msw program are submitted online to the school of. Students who are currently pursuing or have completed a bachelor of social work (bsw) at king may apply for guaranteed. Dedicated to growth visit our website:. The msw degree is awarded by western with courses. Kings Msw Application.
From editable-form.com
Our Editable Form For King Alarm Recruitment Form Is Your Good Luck Kings Msw Application Students who are currently pursuing or have completed a bachelor of social work (bsw) at king may apply for guaranteed. Dedicated to growth visit our website:. Msw application instructions overview applications to the king’s university college msw program are submitted online to the school of. The msw degree is awarded by western with courses offered at the school of social. Kings Msw Application.
From slideplayer.com
Internship Application Instructions ppt download Kings Msw Application Dedicated to growth visit our website:. Deadline to apply is january 15. Msw application instructions overview applications to the king’s university college msw program are submitted online to the school of. Students who are currently pursuing or have completed a bachelor of social work (bsw) at king may apply for guaranteed. The msw degree is awarded by western with courses. Kings Msw Application.
From studylib.net
Student Application for MSW Field Practicum (Word Doc) Kings Msw Application Dedicated to growth visit our website:. Msw application instructions overview applications to the king’s university college msw program are submitted online to the school of. Deadline to apply is january 15. The msw degree is awarded by western with courses offered at the school of social work at king’s. Students who are currently pursuing or have completed a bachelor of. Kings Msw Application.
From www.pdffiller.com
Fillable Online MSW Application Check List Please complete both pages Kings Msw Application Students who are currently pursuing or have completed a bachelor of social work (bsw) at king may apply for guaranteed. Dedicated to growth visit our website:. The msw degree is awarded by western with courses offered at the school of social work at king’s. Msw application instructions overview applications to the king’s university college msw program are submitted online to. Kings Msw Application.
From www.pdffiller.com
Fillable Online MSWAdvancedSampleLearningAgreement.pdf Fax Email Kings Msw Application Students who are currently pursuing or have completed a bachelor of social work (bsw) at king may apply for guaranteed. Dedicated to growth visit our website:. Deadline to apply is january 15. Msw application instructions overview applications to the king’s university college msw program are submitted online to the school of. The msw degree is awarded by western with courses. Kings Msw Application.
From studylib.net
MSW Application Instructions & Checklist Kings Msw Application Msw application instructions overview applications to the king’s university college msw program are submitted online to the school of. Deadline to apply is january 15. The msw degree is awarded by western with courses offered at the school of social work at king’s. Students who are currently pursuing or have completed a bachelor of social work (bsw) at king may. Kings Msw Application.
From www.pinterest.com
Burger King Application Form Printable PDF Job application form Kings Msw Application The msw degree is awarded by western with courses offered at the school of social work at king’s. Students who are currently pursuing or have completed a bachelor of social work (bsw) at king may apply for guaranteed. Dedicated to growth visit our website:. Deadline to apply is january 15. Msw application instructions overview applications to the king’s university college. Kings Msw Application.
From www.mswhelper.com
MSW requirements and application process (2024 Guide) — MSW Helper Kings Msw Application Dedicated to growth visit our website:. Msw application instructions overview applications to the king’s university college msw program are submitted online to the school of. Deadline to apply is january 15. Students who are currently pursuing or have completed a bachelor of social work (bsw) at king may apply for guaranteed. The msw degree is awarded by western with courses. Kings Msw Application.
From www.pdffiller.com
Fillable Online Master of social work (msw) admission application Kings Msw Application Dedicated to growth visit our website:. The msw degree is awarded by western with courses offered at the school of social work at king’s. Students who are currently pursuing or have completed a bachelor of social work (bsw) at king may apply for guaranteed. Msw application instructions overview applications to the king’s university college msw program are submitted online to. Kings Msw Application.
From issuu.com
Kings Pathways US Application Form 201819 by Kings Education Issuu Kings Msw Application Msw application instructions overview applications to the king’s university college msw program are submitted online to the school of. Deadline to apply is january 15. Students who are currently pursuing or have completed a bachelor of social work (bsw) at king may apply for guaranteed. The msw degree is awarded by western with courses offered at the school of social. Kings Msw Application.
From socialwork.kings.uwo.ca
King's School of Social Work How to Apply Kings Msw Application Students who are currently pursuing or have completed a bachelor of social work (bsw) at king may apply for guaranteed. Msw application instructions overview applications to the king’s university college msw program are submitted online to the school of. Deadline to apply is january 15. Dedicated to growth visit our website:. The msw degree is awarded by western with courses. Kings Msw Application.
From shopee.sg
[August's Premium Collection] The King MSW Premium Durian Snowskin Kings Msw Application The msw degree is awarded by western with courses offered at the school of social work at king’s. Deadline to apply is january 15. Dedicated to growth visit our website:. Msw application instructions overview applications to the king’s university college msw program are submitted online to the school of. Students who are currently pursuing or have completed a bachelor of. Kings Msw Application.
From studylib.net
MSW application requirement checklist Kings Msw Application Dedicated to growth visit our website:. Students who are currently pursuing or have completed a bachelor of social work (bsw) at king may apply for guaranteed. Msw application instructions overview applications to the king’s university college msw program are submitted online to the school of. Deadline to apply is january 15. The msw degree is awarded by western with courses. Kings Msw Application.
From www.mswhelper.com
Applying to Master of Social Work programs with a low GPA — MSW Helper Kings Msw Application Deadline to apply is january 15. Msw application instructions overview applications to the king’s university college msw program are submitted online to the school of. The msw degree is awarded by western with courses offered at the school of social work at king’s. Students who are currently pursuing or have completed a bachelor of social work (bsw) at king may. Kings Msw Application.
From www.mswhelper.com
Social work personal statement (2023 Writing Guide) — MSW Helper Kings Msw Application Dedicated to growth visit our website:. The msw degree is awarded by western with courses offered at the school of social work at king’s. Msw application instructions overview applications to the king’s university college msw program are submitted online to the school of. Deadline to apply is january 15. Students who are currently pursuing or have completed a bachelor of. Kings Msw Application.
From www.scribd.com
Msw Application Form University And College Admission Academic Degree Kings Msw Application Deadline to apply is january 15. The msw degree is awarded by western with courses offered at the school of social work at king’s. Dedicated to growth visit our website:. Students who are currently pursuing or have completed a bachelor of social work (bsw) at king may apply for guaranteed. Msw application instructions overview applications to the king’s university college. Kings Msw Application.
From www.pdffiller.com
Fillable Online ssw umich Msw application form for bulletin School of Kings Msw Application Students who are currently pursuing or have completed a bachelor of social work (bsw) at king may apply for guaranteed. Msw application instructions overview applications to the king’s university college msw program are submitted online to the school of. The msw degree is awarded by western with courses offered at the school of social work at king’s. Deadline to apply. Kings Msw Application.
From studylib.net
Application form 2016 King Edward VI School Kings Msw Application Students who are currently pursuing or have completed a bachelor of social work (bsw) at king may apply for guaranteed. Deadline to apply is january 15. Msw application instructions overview applications to the king’s university college msw program are submitted online to the school of. Dedicated to growth visit our website:. The msw degree is awarded by western with courses. Kings Msw Application.
From studylib.net
MSW Application Materials Western Kentucky University Kings Msw Application The msw degree is awarded by western with courses offered at the school of social work at king’s. Students who are currently pursuing or have completed a bachelor of social work (bsw) at king may apply for guaranteed. Dedicated to growth visit our website:. Deadline to apply is january 15. Msw application instructions overview applications to the king’s university college. Kings Msw Application.
From www.pdffiller.com
Fillable Online PAMSWLicensureApplication.pdf Fax Email Print Kings Msw Application Students who are currently pursuing or have completed a bachelor of social work (bsw) at king may apply for guaranteed. The msw degree is awarded by western with courses offered at the school of social work at king’s. Dedicated to growth visit our website:. Deadline to apply is january 15. Msw application instructions overview applications to the king’s university college. Kings Msw Application.
From www.pdffiller.com
Fillable Online socialwork utah Use this link to access the application Kings Msw Application Msw application instructions overview applications to the king’s university college msw program are submitted online to the school of. Students who are currently pursuing or have completed a bachelor of social work (bsw) at king may apply for guaranteed. Deadline to apply is january 15. Dedicated to growth visit our website:. The msw degree is awarded by western with courses. Kings Msw Application.
From www.fiveonenineclothing.com
KINGS MSW TEE (WOMENS) 519 Clothing Co. Kings Msw Application Students who are currently pursuing or have completed a bachelor of social work (bsw) at king may apply for guaranteed. The msw degree is awarded by western with courses offered at the school of social work at king’s. Dedicated to growth visit our website:. Msw application instructions overview applications to the king’s university college msw program are submitted online to. Kings Msw Application.
From www.signnow.com
MSW Application Ssw Umich Edu University of Michigan Form Fill Out Kings Msw Application Students who are currently pursuing or have completed a bachelor of social work (bsw) at king may apply for guaranteed. Msw application instructions overview applications to the king’s university college msw program are submitted online to the school of. Dedicated to growth visit our website:. The msw degree is awarded by western with courses offered at the school of social. Kings Msw Application.
From studylib.net
BSW/MSW Field Application Kings Msw Application The msw degree is awarded by western with courses offered at the school of social work at king’s. Msw application instructions overview applications to the king’s university college msw program are submitted online to the school of. Deadline to apply is january 15. Students who are currently pursuing or have completed a bachelor of social work (bsw) at king may. Kings Msw Application.
From www.pdffiller.com
Fillable Online FULL MSW PROGRAM APPLICATION PART II PAGE 1 OF 6 Fax Kings Msw Application The msw degree is awarded by western with courses offered at the school of social work at king’s. Msw application instructions overview applications to the king’s university college msw program are submitted online to the school of. Dedicated to growth visit our website:. Students who are currently pursuing or have completed a bachelor of social work (bsw) at king may. Kings Msw Application.
From exodspzmq.blob.core.windows.net
Msw Programs Requirements at Joseph Crandall blog Kings Msw Application The msw degree is awarded by western with courses offered at the school of social work at king’s. Msw application instructions overview applications to the king’s university college msw program are submitted online to the school of. Deadline to apply is january 15. Dedicated to growth visit our website:. Students who are currently pursuing or have completed a bachelor of. Kings Msw Application.
From vimeo.com
MSW Application Proposal(s) on Vimeo Kings Msw Application Deadline to apply is january 15. The msw degree is awarded by western with courses offered at the school of social work at king’s. Dedicated to growth visit our website:. Msw application instructions overview applications to the king’s university college msw program are submitted online to the school of. Students who are currently pursuing or have completed a bachelor of. Kings Msw Application.
From www.mswhelper.com
How to Choose MSW Programs to Apply to — MSW Helper Kings Msw Application The msw degree is awarded by western with courses offered at the school of social work at king’s. Msw application instructions overview applications to the king’s university college msw program are submitted online to the school of. Deadline to apply is january 15. Dedicated to growth visit our website:. Students who are currently pursuing or have completed a bachelor of. Kings Msw Application.
From www.edroots.com
Master of Social Work (MSW) in UK Eligibility, Universities Kings Msw Application Msw application instructions overview applications to the king’s university college msw program are submitted online to the school of. Dedicated to growth visit our website:. The msw degree is awarded by western with courses offered at the school of social work at king’s. Deadline to apply is january 15. Students who are currently pursuing or have completed a bachelor of. Kings Msw Application.
From slideplayer.com
Internship Application Instructions ppt download Kings Msw Application Students who are currently pursuing or have completed a bachelor of social work (bsw) at king may apply for guaranteed. The msw degree is awarded by western with courses offered at the school of social work at king’s. Deadline to apply is january 15. Dedicated to growth visit our website:. Msw application instructions overview applications to the king’s university college. Kings Msw Application.
From www.youtube.com
Lexi King, MSW // Account Executive at AccentCare YouTube Kings Msw Application Deadline to apply is january 15. Msw application instructions overview applications to the king’s university college msw program are submitted online to the school of. The msw degree is awarded by western with courses offered at the school of social work at king’s. Students who are currently pursuing or have completed a bachelor of social work (bsw) at king may. Kings Msw Application.
From socialwork.kings.uwo.ca
King's School of Social Work MSW Admissions Guide Kings Msw Application Dedicated to growth visit our website:. Deadline to apply is january 15. The msw degree is awarded by western with courses offered at the school of social work at king’s. Msw application instructions overview applications to the king’s university college msw program are submitted online to the school of. Students who are currently pursuing or have completed a bachelor of. Kings Msw Application.
From www.printableapplication.com
Burger King Application Form Printable Printable Application Kings Msw Application The msw degree is awarded by western with courses offered at the school of social work at king’s. Dedicated to growth visit our website:. Students who are currently pursuing or have completed a bachelor of social work (bsw) at king may apply for guaranteed. Deadline to apply is january 15. Msw application instructions overview applications to the king’s university college. Kings Msw Application.