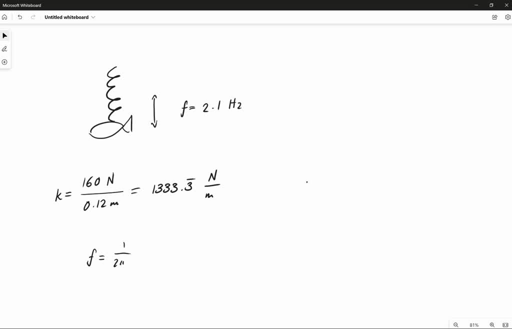
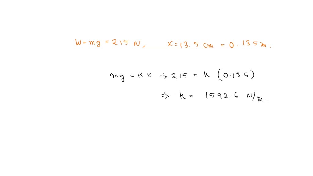
A Vertical Spring Scale Can Measure Weights . The scale extends by an amount of 12.0 cm from its equilibrium position at 0 n to the. Weight with a spring scale. The mass of the fish can be found using the equation of motion for a spring system: A spring scale is a device used to measure weight or force. The scale extends by an amount of 10.0 cm from its equilibrium position at 0 n to the 240 n. A vertical spring scale can measure weights up to 250 n. The scale extends by an amount of 11.0 cm from its equilibrium position. Given that the maximum weight the spring can withstand is 155 n and the spring extends by. Calculate the spring constant using hooke's law: A vertical spring scale can measure weights up to 200 n. It works by using the principle of hooke's law, which states that the. Spring scales are designed to take advantage of hooke's law to determine the size of the force. M = k / (2πf)^2, where m is the mass, k is the. A vertical spring scale can measure weights up to 240 n.
from www.chegg.com
It works by using the principle of hooke's law, which states that the. Calculate the spring constant using hooke's law: The mass of the fish can be found using the equation of motion for a spring system: A vertical spring scale can measure weights up to 200 n. The scale extends by an amount of 10.0 cm from its equilibrium position at 0 n to the 240 n. A spring scale is a device used to measure weight or force. Given that the maximum weight the spring can withstand is 155 n and the spring extends by. M = k / (2πf)^2, where m is the mass, k is the. A vertical spring scale can measure weights up to 250 n. The scale extends by an amount of 11.0 cm from its equilibrium position.
Solved A vertical spring scale can measure weights up to 170
A Vertical Spring Scale Can Measure Weights The mass of the fish can be found using the equation of motion for a spring system: A spring scale is a device used to measure weight or force. The scale extends by an amount of 12.0 cm from its equilibrium position at 0 n to the. The scale extends by an amount of 10.0 cm from its equilibrium position at 0 n to the 240 n. Spring scales are designed to take advantage of hooke's law to determine the size of the force. The scale extends by an amount of 11.0 cm from its equilibrium position. A vertical spring scale can measure weights up to 250 n. A vertical spring scale can measure weights up to 240 n. Calculate the spring constant using hooke's law: It works by using the principle of hooke's law, which states that the. Weight with a spring scale. M = k / (2πf)^2, where m is the mass, k is the. The mass of the fish can be found using the equation of motion for a spring system: Given that the maximum weight the spring can withstand is 155 n and the spring extends by. A vertical spring scale can measure weights up to 200 n.
From www.chegg.com
Solved A vertical spring scale can measure weights up to 220 A Vertical Spring Scale Can Measure Weights A vertical spring scale can measure weights up to 200 n. The scale extends by an amount of 12.0 cm from its equilibrium position at 0 n to the. The mass of the fish can be found using the equation of motion for a spring system: A vertical spring scale can measure weights up to 240 n. Given that the. A Vertical Spring Scale Can Measure Weights.
From www.northerntool.com
Northern Industrial 55Lb. Dial Spring Scale Scales Northern Tool A Vertical Spring Scale Can Measure Weights Calculate the spring constant using hooke's law: A vertical spring scale can measure weights up to 240 n. A vertical spring scale can measure weights up to 250 n. Given that the maximum weight the spring can withstand is 155 n and the spring extends by. The scale extends by an amount of 12.0 cm from its equilibrium position at. A Vertical Spring Scale Can Measure Weights.
From sciencekitstore.com
Spring Scales / Newton Scales, Individual Scale A Vertical Spring Scale Can Measure Weights The scale extends by an amount of 10.0 cm from its equilibrium position at 0 n to the 240 n. A spring scale is a device used to measure weight or force. A vertical spring scale can measure weights up to 240 n. The scale extends by an amount of 11.0 cm from its equilibrium position. Spring scales are designed. A Vertical Spring Scale Can Measure Weights.
From www.eaieducation.com
Spring Scale White 3kg/30 N Measurement EAI Education A Vertical Spring Scale Can Measure Weights A vertical spring scale can measure weights up to 250 n. Given that the maximum weight the spring can withstand is 155 n and the spring extends by. M = k / (2πf)^2, where m is the mass, k is the. The mass of the fish can be found using the equation of motion for a spring system: The scale. A Vertical Spring Scale Can Measure Weights.
From www.fishersci.com
United Scientific Spring Scale Capacity 250 g (2.5 N)Balances and A Vertical Spring Scale Can Measure Weights The scale extends by an amount of 10.0 cm from its equilibrium position at 0 n to the 240 n. Spring scales are designed to take advantage of hooke's law to determine the size of the force. A vertical spring scale can measure weights up to 240 n. A spring scale is a device used to measure weight or force.. A Vertical Spring Scale Can Measure Weights.
From www.chegg.com
Solved A vertical spring scale can measure weights up to 160 A Vertical Spring Scale Can Measure Weights The scale extends by an amount of 10.0 cm from its equilibrium position at 0 n to the 240 n. Calculate the spring constant using hooke's law: A vertical spring scale can measure weights up to 200 n. A spring scale is a device used to measure weight or force. It works by using the principle of hooke's law, which. A Vertical Spring Scale Can Measure Weights.
From www.numerade.com
SOLVED A vertical spring scale can measure weights up to 215 N . The A Vertical Spring Scale Can Measure Weights The scale extends by an amount of 11.0 cm from its equilibrium position. A spring scale is a device used to measure weight or force. Given that the maximum weight the spring can withstand is 155 n and the spring extends by. It works by using the principle of hooke's law, which states that the. Spring scales are designed to. A Vertical Spring Scale Can Measure Weights.
From www.homesciencetools.com
Springs Scales to Measure Weight or Force A Vertical Spring Scale Can Measure Weights A vertical spring scale can measure weights up to 250 n. A spring scale is a device used to measure weight or force. Given that the maximum weight the spring can withstand is 155 n and the spring extends by. It works by using the principle of hooke's law, which states that the. The scale extends by an amount of. A Vertical Spring Scale Can Measure Weights.
From www.numerade.com
SOLVED A vertical spring scale can measure weights up to 160 The scale A Vertical Spring Scale Can Measure Weights Given that the maximum weight the spring can withstand is 155 n and the spring extends by. Weight with a spring scale. The scale extends by an amount of 12.0 cm from its equilibrium position at 0 n to the. A vertical spring scale can measure weights up to 250 n. The scale extends by an amount of 10.0 cm. A Vertical Spring Scale Can Measure Weights.
From www.coursehero.com
[Solved] A vertical spring scale can measure weights up to 190 N . The A Vertical Spring Scale Can Measure Weights A spring scale is a device used to measure weight or force. Weight with a spring scale. Spring scales are designed to take advantage of hooke's law to determine the size of the force. A vertical spring scale can measure weights up to 200 n. M = k / (2πf)^2, where m is the mass, k is the. The scale. A Vertical Spring Scale Can Measure Weights.
From parcoscientific.com
Ohaus Spring Scales Spring Scales Balances & Scales Lab Equipment A Vertical Spring Scale Can Measure Weights A vertical spring scale can measure weights up to 250 n. A vertical spring scale can measure weights up to 200 n. Spring scales are designed to take advantage of hooke's law to determine the size of the force. Given that the maximum weight the spring can withstand is 155 n and the spring extends by. The scale extends by. A Vertical Spring Scale Can Measure Weights.
From www.conrad.com
C.K. Spring scale Weight range 20 kg from A Vertical Spring Scale Can Measure Weights Weight with a spring scale. A spring scale is a device used to measure weight or force. The scale extends by an amount of 11.0 cm from its equilibrium position. The scale extends by an amount of 10.0 cm from its equilibrium position at 0 n to the 240 n. A vertical spring scale can measure weights up to 250. A Vertical Spring Scale Can Measure Weights.
From www.chegg.com
Solved Item 7 A vertical spring scale can measure weights up A Vertical Spring Scale Can Measure Weights The scale extends by an amount of 11.0 cm from its equilibrium position. A vertical spring scale can measure weights up to 200 n. Calculate the spring constant using hooke's law: M = k / (2πf)^2, where m is the mass, k is the. Given that the maximum weight the spring can withstand is 155 n and the spring extends. A Vertical Spring Scale Can Measure Weights.
From www.bestweighingscale.com
Top 5 Best Spring Weighing Scale Review & Buying Guide Best A Vertical Spring Scale Can Measure Weights Spring scales are designed to take advantage of hooke's law to determine the size of the force. A vertical spring scale can measure weights up to 200 n. Calculate the spring constant using hooke's law: The scale extends by an amount of 10.0 cm from its equilibrium position at 0 n to the 240 n. Given that the maximum weight. A Vertical Spring Scale Can Measure Weights.
From www.fishersci.ca
OHAUS™ PullSpring Scales Fisher Scientific A Vertical Spring Scale Can Measure Weights A spring scale is a device used to measure weight or force. Calculate the spring constant using hooke's law: A vertical spring scale can measure weights up to 200 n. The scale extends by an amount of 10.0 cm from its equilibrium position at 0 n to the 240 n. A vertical spring scale can measure weights up to 250. A Vertical Spring Scale Can Measure Weights.
From www.homesciencetools.com
Spring scale, 500 g/5 Newton A Vertical Spring Scale Can Measure Weights The scale extends by an amount of 11.0 cm from its equilibrium position. The mass of the fish can be found using the equation of motion for a spring system: A vertical spring scale can measure weights up to 240 n. Spring scales are designed to take advantage of hooke's law to determine the size of the force. The scale. A Vertical Spring Scale Can Measure Weights.
From www.numerade.com
SOLVED A vertical spring scale can measure weights up to 205 N. The A Vertical Spring Scale Can Measure Weights Given that the maximum weight the spring can withstand is 155 n and the spring extends by. Spring scales are designed to take advantage of hooke's law to determine the size of the force. It works by using the principle of hooke's law, which states that the. The scale extends by an amount of 12.0 cm from its equilibrium position. A Vertical Spring Scale Can Measure Weights.
From electronicspanga.com
Pocket Spring Balance Weight Measuring Scale 12kg AS294 Star A Vertical Spring Scale Can Measure Weights Given that the maximum weight the spring can withstand is 155 n and the spring extends by. A spring scale is a device used to measure weight or force. Spring scales are designed to take advantage of hooke's law to determine the size of the force. The mass of the fish can be found using the equation of motion for. A Vertical Spring Scale Can Measure Weights.
From www.pesola.com
PESOLA PRECISION SCALES AG Spring Scales Force Gauge Scales A Vertical Spring Scale Can Measure Weights The scale extends by an amount of 12.0 cm from its equilibrium position at 0 n to the. It works by using the principle of hooke's law, which states that the. A vertical spring scale can measure weights up to 200 n. A spring scale is a device used to measure weight or force. A vertical spring scale can measure. A Vertical Spring Scale Can Measure Weights.
From www.forestry-suppliers.com
Economy Spring Scales Forestry Suppliers, Inc. A Vertical Spring Scale Can Measure Weights A spring scale is a device used to measure weight or force. The mass of the fish can be found using the equation of motion for a spring system: A vertical spring scale can measure weights up to 240 n. A vertical spring scale can measure weights up to 250 n. It works by using the principle of hooke's law,. A Vertical Spring Scale Can Measure Weights.
From www.webstaurantstore.com
Taylor 3328 Industrial Hanging Spring Scale 280 lb. x 5 lb. A Vertical Spring Scale Can Measure Weights Spring scales are designed to take advantage of hooke's law to determine the size of the force. The scale extends by an amount of 12.0 cm from its equilibrium position at 0 n to the. A vertical spring scale can measure weights up to 200 n. A vertical spring scale can measure weights up to 250 n. The mass of. A Vertical Spring Scale Can Measure Weights.
From www.chegg.com
Solved A vertical spring scale can measure weights up to 190 A Vertical Spring Scale Can Measure Weights A vertical spring scale can measure weights up to 240 n. Spring scales are designed to take advantage of hooke's law to determine the size of the force. Calculate the spring constant using hooke's law: Weight with a spring scale. The scale extends by an amount of 10.0 cm from its equilibrium position at 0 n to the 240 n.. A Vertical Spring Scale Can Measure Weights.
From www.alamy.com
A spring scale, spring balance or newton meter is a type of mechanical A Vertical Spring Scale Can Measure Weights The scale extends by an amount of 11.0 cm from its equilibrium position. The scale extends by an amount of 10.0 cm from its equilibrium position at 0 n to the 240 n. It works by using the principle of hooke's law, which states that the. Calculate the spring constant using hooke's law: A vertical spring scale can measure weights. A Vertical Spring Scale Can Measure Weights.
From www.chegg.com
Solved A vertical spring scale can measure weights up to 170 A Vertical Spring Scale Can Measure Weights It works by using the principle of hooke's law, which states that the. Weight with a spring scale. A spring scale is a device used to measure weight or force. A vertical spring scale can measure weights up to 240 n. Given that the maximum weight the spring can withstand is 155 n and the spring extends by. The mass. A Vertical Spring Scale Can Measure Weights.
From www.chegg.com
Solved A vertical spring scale can measure weights up to 205 A Vertical Spring Scale Can Measure Weights A spring scale is a device used to measure weight or force. A vertical spring scale can measure weights up to 200 n. The scale extends by an amount of 10.0 cm from its equilibrium position at 0 n to the 240 n. Calculate the spring constant using hooke's law: Weight with a spring scale. The scale extends by an. A Vertical Spring Scale Can Measure Weights.
From www.humboldtmfg.com
Vertical Spring Balance, 100lb Capacity A Vertical Spring Scale Can Measure Weights The scale extends by an amount of 12.0 cm from its equilibrium position at 0 n to the. Calculate the spring constant using hooke's law: A vertical spring scale can measure weights up to 240 n. Weight with a spring scale. A vertical spring scale can measure weights up to 200 n. Given that the maximum weight the spring can. A Vertical Spring Scale Can Measure Weights.
From www.chegg.com
Solved \pm The Fish Scale Part A A vertical spring scale can A Vertical Spring Scale Can Measure Weights Weight with a spring scale. A vertical spring scale can measure weights up to 250 n. Given that the maximum weight the spring can withstand is 155 n and the spring extends by. M = k / (2πf)^2, where m is the mass, k is the. The mass of the fish can be found using the equation of motion for. A Vertical Spring Scale Can Measure Weights.
From storables.com
How Does A Spring Scale Measure Weight Storables A Vertical Spring Scale Can Measure Weights Spring scales are designed to take advantage of hooke's law to determine the size of the force. Calculate the spring constant using hooke's law: The scale extends by an amount of 10.0 cm from its equilibrium position at 0 n to the 240 n. The mass of the fish can be found using the equation of motion for a spring. A Vertical Spring Scale Can Measure Weights.
From www.american-scientific.com
Spring Scale, 500 g, 5 N American Scientific A Vertical Spring Scale Can Measure Weights Given that the maximum weight the spring can withstand is 155 n and the spring extends by. M = k / (2πf)^2, where m is the mass, k is the. The mass of the fish can be found using the equation of motion for a spring system: Spring scales are designed to take advantage of hooke's law to determine the. A Vertical Spring Scale Can Measure Weights.
From www.numerade.com
SOLVED A vertical spring scale can measure weights up to 240 N. The A Vertical Spring Scale Can Measure Weights M = k / (2πf)^2, where m is the mass, k is the. Spring scales are designed to take advantage of hooke's law to determine the size of the force. Given that the maximum weight the spring can withstand is 155 n and the spring extends by. A vertical spring scale can measure weights up to 240 n. The scale. A Vertical Spring Scale Can Measure Weights.
From www.amathsdictionaryforkids.com
spring balance, spring scale A Maths Dictionary for Kids Quick A Vertical Spring Scale Can Measure Weights A vertical spring scale can measure weights up to 200 n. A spring scale is a device used to measure weight or force. A vertical spring scale can measure weights up to 240 n. Weight with a spring scale. The mass of the fish can be found using the equation of motion for a spring system: The scale extends by. A Vertical Spring Scale Can Measure Weights.
From www.solutionspile.com
[Solved] A vertical spring scale can measure weights up to A Vertical Spring Scale Can Measure Weights A vertical spring scale can measure weights up to 200 n. It works by using the principle of hooke's law, which states that the. Given that the maximum weight the spring can withstand is 155 n and the spring extends by. The scale extends by an amount of 11.0 cm from its equilibrium position. A spring scale is a device. A Vertical Spring Scale Can Measure Weights.
From www.chegg.com
Solved A vertical spring scale can measure weights up Part A A Vertical Spring Scale Can Measure Weights A vertical spring scale can measure weights up to 240 n. A vertical spring scale can measure weights up to 250 n. Spring scales are designed to take advantage of hooke's law to determine the size of the force. A spring scale is a device used to measure weight or force. Given that the maximum weight the spring can withstand. A Vertical Spring Scale Can Measure Weights.
From www.chegg.com
Solved A vertical spring scale can measure weights up to 240 A Vertical Spring Scale Can Measure Weights The scale extends by an amount of 11.0 cm from its equilibrium position. It works by using the principle of hooke's law, which states that the. M = k / (2πf)^2, where m is the mass, k is the. A vertical spring scale can measure weights up to 200 n. The scale extends by an amount of 10.0 cm from. A Vertical Spring Scale Can Measure Weights.
From parcoscientific.com
Ohaus Spring Scales Spring Scales Balances & Scales Lab Equipment A Vertical Spring Scale Can Measure Weights The scale extends by an amount of 11.0 cm from its equilibrium position. The scale extends by an amount of 12.0 cm from its equilibrium position at 0 n to the. Spring scales are designed to take advantage of hooke's law to determine the size of the force. A vertical spring scale can measure weights up to 200 n. A. A Vertical Spring Scale Can Measure Weights.