Molar Analysis . The difference is paradigmatic, not theoretical. The molar view of behavior contrasts with the older, molecular view. Another way of expressing concentration is to give the number of moles. Use molarity to determine quantities in chemical reactions. The molar view stems from a conviction that behavior is continuous, as argued by john dewey, gestalt psychologists, karl. The objective of this analysis is to clearly distinguish the different levels of research: In the older paradigm, the molecular view, behavior consists of momentary or discrete responses that constitute instances of classes. The representative particles can be atoms,. Use molarity as a conversion factor in calculations. Molar analysis (also called global analysis) in psychology is a way of examining behavioral processes as holistic units,. The molar mass of any substance is the mass in grams of one mole of representative particles of that substance.
from www.youtube.com
The molar view of behavior contrasts with the older, molecular view. In the older paradigm, the molecular view, behavior consists of momentary or discrete responses that constitute instances of classes. The molar view stems from a conviction that behavior is continuous, as argued by john dewey, gestalt psychologists, karl. The difference is paradigmatic, not theoretical. The molar mass of any substance is the mass in grams of one mole of representative particles of that substance. The representative particles can be atoms,. Molar analysis (also called global analysis) in psychology is a way of examining behavioral processes as holistic units,. The objective of this analysis is to clearly distinguish the different levels of research: Use molarity as a conversion factor in calculations. Use molarity to determine quantities in chemical reactions.
Molar Conversions Using Dimensional Analysis YouTube
Molar Analysis In the older paradigm, the molecular view, behavior consists of momentary or discrete responses that constitute instances of classes. The molar view of behavior contrasts with the older, molecular view. In the older paradigm, the molecular view, behavior consists of momentary or discrete responses that constitute instances of classes. Use molarity as a conversion factor in calculations. Another way of expressing concentration is to give the number of moles. Use molarity to determine quantities in chemical reactions. Molar analysis (also called global analysis) in psychology is a way of examining behavioral processes as holistic units,. The molar view stems from a conviction that behavior is continuous, as argued by john dewey, gestalt psychologists, karl. The difference is paradigmatic, not theoretical. The representative particles can be atoms,. The objective of this analysis is to clearly distinguish the different levels of research: The molar mass of any substance is the mass in grams of one mole of representative particles of that substance.
From www.numerade.com
SOLVED A gas mixture with a molar analysis of 30 O2, 40 N2, 10 CO2 Molar Analysis The molar view of behavior contrasts with the older, molecular view. The objective of this analysis is to clearly distinguish the different levels of research: Molar analysis (also called global analysis) in psychology is a way of examining behavioral processes as holistic units,. Use molarity to determine quantities in chemical reactions. The difference is paradigmatic, not theoretical. The molar mass. Molar Analysis.
From www.wyatt.com
SECMALS for Absolute Molar Mass and Size Measurements Molar Analysis The objective of this analysis is to clearly distinguish the different levels of research: The molar view stems from a conviction that behavior is continuous, as argued by john dewey, gestalt psychologists, karl. The difference is paradigmatic, not theoretical. Molar analysis (also called global analysis) in psychology is a way of examining behavioral processes as holistic units,. In the older. Molar Analysis.
From www.chegg.com
Solved A gas mixture with a molar analysis of 20 CH4 Molar Analysis Use molarity to determine quantities in chemical reactions. The representative particles can be atoms,. The difference is paradigmatic, not theoretical. The molar view stems from a conviction that behavior is continuous, as argued by john dewey, gestalt psychologists, karl. The objective of this analysis is to clearly distinguish the different levels of research: In the older paradigm, the molecular view,. Molar Analysis.
From www.researchgate.net
Molar ratio analysis of NSA. (a) Interannual variation in the molar Molar Analysis Another way of expressing concentration is to give the number of moles. The difference is paradigmatic, not theoretical. Molar analysis (also called global analysis) in psychology is a way of examining behavioral processes as holistic units,. Use molarity as a conversion factor in calculations. The molar view of behavior contrasts with the older, molecular view. In the older paradigm, the. Molar Analysis.
From www.reddit.com
X Ray Molar Tooth Analysis r/askdentists Molar Analysis Use molarity as a conversion factor in calculations. Another way of expressing concentration is to give the number of moles. The difference is paradigmatic, not theoretical. The molar mass of any substance is the mass in grams of one mole of representative particles of that substance. The molar view stems from a conviction that behavior is continuous, as argued by. Molar Analysis.
From www.chegg.com
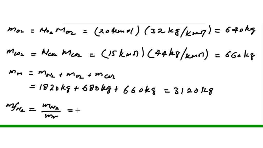
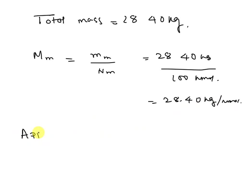
Solved A mixture having a molar analysis of 60 N2 and 40 Molar Analysis Use molarity to determine quantities in chemical reactions. Molar analysis (also called global analysis) in psychology is a way of examining behavioral processes as holistic units,. The molar view stems from a conviction that behavior is continuous, as argued by john dewey, gestalt psychologists, karl. Another way of expressing concentration is to give the number of moles. In the older. Molar Analysis.
From www.researchgate.net
AF4MALS for molar mass distribution analysis of RNA molecules. MW Molar Analysis Another way of expressing concentration is to give the number of moles. The molar view of behavior contrasts with the older, molecular view. Molar analysis (also called global analysis) in psychology is a way of examining behavioral processes as holistic units,. The molar mass of any substance is the mass in grams of one mole of representative particles of that. Molar Analysis.
From www.youtube.com
Molar Conversions Using Dimensional Analysis YouTube Molar Analysis Use molarity to determine quantities in chemical reactions. The molar view stems from a conviction that behavior is continuous, as argued by john dewey, gestalt psychologists, karl. The molar view of behavior contrasts with the older, molecular view. In the older paradigm, the molecular view, behavior consists of momentary or discrete responses that constitute instances of classes. Molar analysis (also. Molar Analysis.
From www.chegg.com
Solved A mixture having a molar analysis of 60 N2 and 40 Molar Analysis The molar view stems from a conviction that behavior is continuous, as argued by john dewey, gestalt psychologists, karl. The molar view of behavior contrasts with the older, molecular view. The molar mass of any substance is the mass in grams of one mole of representative particles of that substance. The difference is paradigmatic, not theoretical. Another way of expressing. Molar Analysis.
From www.youtube.com
CHEM 101 Dimensional Analysis Molarity as a conversion factor YouTube Molar Analysis The molar mass of any substance is the mass in grams of one mole of representative particles of that substance. Another way of expressing concentration is to give the number of moles. The objective of this analysis is to clearly distinguish the different levels of research: The representative particles can be atoms,. The molar view of behavior contrasts with the. Molar Analysis.
From www.studypool.com
SOLUTION Laboratory report analysis of a kclo3 mixture and the molar Molar Analysis The molar view of behavior contrasts with the older, molecular view. The molar mass of any substance is the mass in grams of one mole of representative particles of that substance. Another way of expressing concentration is to give the number of moles. Use molarity as a conversion factor in calculations. The difference is paradigmatic, not theoretical. The representative particles. Molar Analysis.
From slidetodoc.com
Partial Molar Quantities and the Chemical Potential Lecture Molar Analysis The difference is paradigmatic, not theoretical. The molar mass of any substance is the mass in grams of one mole of representative particles of that substance. Another way of expressing concentration is to give the number of moles. The molar view stems from a conviction that behavior is continuous, as argued by john dewey, gestalt psychologists, karl. Use molarity as. Molar Analysis.
From www.mdpi.com
Life Free FullText Analysis of Maxillary First Molar Derotation Molar Analysis The objective of this analysis is to clearly distinguish the different levels of research: In the older paradigm, the molecular view, behavior consists of momentary or discrete responses that constitute instances of classes. Use molarity as a conversion factor in calculations. Molar analysis (also called global analysis) in psychology is a way of examining behavioral processes as holistic units,. The. Molar Analysis.
From www.researchgate.net
Analysis of (a) molar mass distributions and (b) the rheological Molar Analysis Use molarity as a conversion factor in calculations. In the older paradigm, the molecular view, behavior consists of momentary or discrete responses that constitute instances of classes. The molar view of behavior contrasts with the older, molecular view. Another way of expressing concentration is to give the number of moles. The representative particles can be atoms,. The molar view stems. Molar Analysis.
From www.numerade.com
SOLVEDThe molar analysis of a gas mixture at 290 K and 250 kPa is 65 Molar Analysis The representative particles can be atoms,. The objective of this analysis is to clearly distinguish the different levels of research: Molar analysis (also called global analysis) in psychology is a way of examining behavioral processes as holistic units,. The molar view of behavior contrasts with the older, molecular view. Use molarity as a conversion factor in calculations. Use molarity to. Molar Analysis.
From www.numerade.com
SOLVED Determine the power developed by the turbine, in kW. A mixture Molar Analysis The objective of this analysis is to clearly distinguish the different levels of research: The representative particles can be atoms,. Use molarity as a conversion factor in calculations. The molar mass of any substance is the mass in grams of one mole of representative particles of that substance. Molar analysis (also called global analysis) in psychology is a way of. Molar Analysis.
From www.chegg.com
Solved 12.7 A gas mixture with a molar analysis 20 C3H2 Molar Analysis The objective of this analysis is to clearly distinguish the different levels of research: The molar mass of any substance is the mass in grams of one mole of representative particles of that substance. The representative particles can be atoms,. Use molarity as a conversion factor in calculations. Molar analysis (also called global analysis) in psychology is a way of. Molar Analysis.
From www.researchgate.net
Quantitative analysis (in molar ) using SEM measurement and optical Molar Analysis In the older paradigm, the molecular view, behavior consists of momentary or discrete responses that constitute instances of classes. Use molarity to determine quantities in chemical reactions. The molar view stems from a conviction that behavior is continuous, as argued by john dewey, gestalt psychologists, karl. Use molarity as a conversion factor in calculations. Another way of expressing concentration is. Molar Analysis.
From dentalimagelibrary.com
Classification of the third molar in relation to inferior alveolar Molar Analysis The molar view of behavior contrasts with the older, molecular view. In the older paradigm, the molecular view, behavior consists of momentary or discrete responses that constitute instances of classes. Another way of expressing concentration is to give the number of moles. The molar mass of any substance is the mass in grams of one mole of representative particles of. Molar Analysis.
From www.chegg.com
Solved A mixture having a molar analysis of 66 N2,17CO2, Molar Analysis Molar analysis (also called global analysis) in psychology is a way of examining behavioral processes as holistic units,. Use molarity to determine quantities in chemical reactions. The molar mass of any substance is the mass in grams of one mole of representative particles of that substance. The molar view of behavior contrasts with the older, molecular view. The objective of. Molar Analysis.
From www.chegg.com
Solved A gas mixture with the molar analysis Molar Analysis The molar view of behavior contrasts with the older, molecular view. Another way of expressing concentration is to give the number of moles. The molar mass of any substance is the mass in grams of one mole of representative particles of that substance. Molar analysis (also called global analysis) in psychology is a way of examining behavioral processes as holistic. Molar Analysis.
From www.youtube.com
ALEKS Finding a Molecular Formula from Molar Mass and Elemental Molar Analysis The difference is paradigmatic, not theoretical. In the older paradigm, the molecular view, behavior consists of momentary or discrete responses that constitute instances of classes. The representative particles can be atoms,. The molar view of behavior contrasts with the older, molecular view. Another way of expressing concentration is to give the number of moles. The objective of this analysis is. Molar Analysis.
From www.researchgate.net
Elemental analysis, molar conductance and susceptibility Molar Analysis The molar view stems from a conviction that behavior is continuous, as argued by john dewey, gestalt psychologists, karl. The objective of this analysis is to clearly distinguish the different levels of research: Molar analysis (also called global analysis) in psychology is a way of examining behavioral processes as holistic units,. The difference is paradigmatic, not theoretical. In the older. Molar Analysis.
From www.chegg.com
Solved A mixture having a molar analysis of 66 N2,17CO2, Molar Analysis The difference is paradigmatic, not theoretical. In the older paradigm, the molecular view, behavior consists of momentary or discrete responses that constitute instances of classes. The molar mass of any substance is the mass in grams of one mole of representative particles of that substance. The molar view stems from a conviction that behavior is continuous, as argued by john. Molar Analysis.
From www.chegg.com
Solved A mixture having a molar analysis of 66 N2,17CO2, Molar Analysis The objective of this analysis is to clearly distinguish the different levels of research: Use molarity to determine quantities in chemical reactions. The representative particles can be atoms,. The molar mass of any substance is the mass in grams of one mole of representative particles of that substance. Use molarity as a conversion factor in calculations. The molar view stems. Molar Analysis.
From www.youtube.com
Molar and gravimetric analysis of ideal gas mixture YouTube Molar Analysis The molar mass of any substance is the mass in grams of one mole of representative particles of that substance. Another way of expressing concentration is to give the number of moles. The molar view stems from a conviction that behavior is continuous, as argued by john dewey, gestalt psychologists, karl. The difference is paradigmatic, not theoretical. Use molarity to. Molar Analysis.
From www.youtube.com
Combust Hexane given dry molar analysis YouTube Molar Analysis The difference is paradigmatic, not theoretical. In the older paradigm, the molecular view, behavior consists of momentary or discrete responses that constitute instances of classes. The objective of this analysis is to clearly distinguish the different levels of research: Use molarity as a conversion factor in calculations. Use molarity to determine quantities in chemical reactions. The molar view of behavior. Molar Analysis.
From www.chegg.com
Solved The molar analysis of a mixture is as follows Molar Analysis The molar view stems from a conviction that behavior is continuous, as argued by john dewey, gestalt psychologists, karl. The difference is paradigmatic, not theoretical. Another way of expressing concentration is to give the number of moles. The molar view of behavior contrasts with the older, molecular view. Molar analysis (also called global analysis) in psychology is a way of. Molar Analysis.
From www.researchgate.net
Molar conductance and elemental analysis data of the complexes Molar Analysis The molar mass of any substance is the mass in grams of one mole of representative particles of that substance. Use molarity as a conversion factor in calculations. The molar view of behavior contrasts with the older, molecular view. Another way of expressing concentration is to give the number of moles. The objective of this analysis is to clearly distinguish. Molar Analysis.
From www.researchgate.net
Color, molar conductivity, molar ratios and elemental analysis of Molar Analysis In the older paradigm, the molecular view, behavior consists of momentary or discrete responses that constitute instances of classes. The molar view stems from a conviction that behavior is continuous, as argued by john dewey, gestalt psychologists, karl. Use molarity to determine quantities in chemical reactions. The molar view of behavior contrasts with the older, molecular view. Another way of. Molar Analysis.
From www.slideserve.com
PPT Molecular Weight and Atomic Weight PowerPoint Presentation, free Molar Analysis The molar mass of any substance is the mass in grams of one mole of representative particles of that substance. Molar analysis (also called global analysis) in psychology is a way of examining behavioral processes as holistic units,. The molar view stems from a conviction that behavior is continuous, as argued by john dewey, gestalt psychologists, karl. In the older. Molar Analysis.
From www.chegg.com
Solved 12.22 A gas mixture having a molar analysis of 60 O2 Molar Analysis Use molarity as a conversion factor in calculations. Another way of expressing concentration is to give the number of moles. Molar analysis (also called global analysis) in psychology is a way of examining behavioral processes as holistic units,. In the older paradigm, the molecular view, behavior consists of momentary or discrete responses that constitute instances of classes. The objective of. Molar Analysis.
From www.youtube.com
Combustion hexane with dry molar analysis YouTube Molar Analysis The molar mass of any substance is the mass in grams of one mole of representative particles of that substance. Molar analysis (also called global analysis) in psychology is a way of examining behavioral processes as holistic units,. The difference is paradigmatic, not theoretical. Another way of expressing concentration is to give the number of moles. In the older paradigm,. Molar Analysis.
From www.chegg.com
Solved A natural gas with the molar analysis 78 CH4, 13 Molar Analysis The difference is paradigmatic, not theoretical. The representative particles can be atoms,. The molar view of behavior contrasts with the older, molecular view. The objective of this analysis is to clearly distinguish the different levels of research: Use molarity as a conversion factor in calculations. Molar analysis (also called global analysis) in psychology is a way of examining behavioral processes. Molar Analysis.
From www.chegg.com
Solved A mixture having a molar analysis of 66 N2,17CO2, Molar Analysis The objective of this analysis is to clearly distinguish the different levels of research: The molar view stems from a conviction that behavior is continuous, as argued by john dewey, gestalt psychologists, karl. Use molarity to determine quantities in chemical reactions. The difference is paradigmatic, not theoretical. Molar analysis (also called global analysis) in psychology is a way of examining. Molar Analysis.