Parallel Structure Exercise 3 Answers Pdf . She learned the value of patience, being. Edit these sentences to create parallel structure. Rewrite the below sentences in parallel structure.  parallel structure describes sentence structure where the same pattern of words is used to show that two or more ideas have.  exercise 3 of grammar bytes! Mike likes to listen to. Get the answers by doing the interactive version of the exercise at this address: In the exercise that follows, you will read sentences that contain blanks.
        
        from www.studocu.com 
     
        
        Get the answers by doing the interactive version of the exercise at this address:  parallel structure describes sentence structure where the same pattern of words is used to show that two or more ideas have. Edit these sentences to create parallel structure.  exercise 3 of grammar bytes! She learned the value of patience, being. In the exercise that follows, you will read sentences that contain blanks. Rewrite the below sentences in parallel structure. Mike likes to listen to.
    
    	
            
	
		 
         
    204 Parallel Structure Exercise Class 4 ESL 204 Parallel Structures 
    Parallel Structure Exercise 3 Answers Pdf  She learned the value of patience, being. Edit these sentences to create parallel structure.  exercise 3 of grammar bytes! In the exercise that follows, you will read sentences that contain blanks. Rewrite the below sentences in parallel structure.  parallel structure describes sentence structure where the same pattern of words is used to show that two or more ideas have. Mike likes to listen to. Get the answers by doing the interactive version of the exercise at this address: She learned the value of patience, being.
            
	
		 
         
 
    
        From cu4i2txq2materialdb.z13.web.core.windows.net 
                    Parallelism Activity With Answers Parallel Structure Exercise 3 Answers Pdf  Edit these sentences to create parallel structure. Rewrite the below sentences in parallel structure. In the exercise that follows, you will read sentences that contain blanks. She learned the value of patience, being.  exercise 3 of grammar bytes! Mike likes to listen to. Get the answers by doing the interactive version of the exercise at this address:  parallel. Parallel Structure Exercise 3 Answers Pdf.
     
    
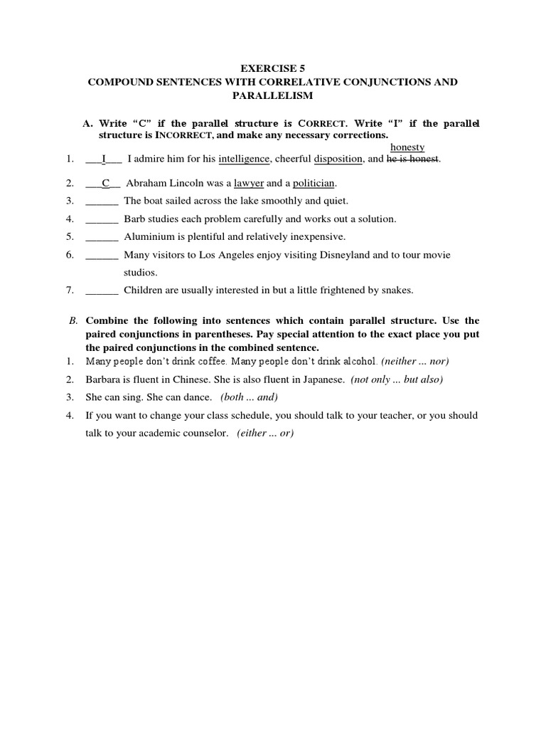
        From classlistherndon.z21.web.core.windows.net 
                    Parallel Structure Exercise 1 Parallel Structure Exercise 3 Answers Pdf  Rewrite the below sentences in parallel structure. Edit these sentences to create parallel structure.  parallel structure describes sentence structure where the same pattern of words is used to show that two or more ideas have. Mike likes to listen to. She learned the value of patience, being. In the exercise that follows, you will read sentences that contain blanks.. Parallel Structure Exercise 3 Answers Pdf.
     
    
        From www.eslprintables.com 
                    Parallel Structure ESL worksheet by anancy Parallel Structure Exercise 3 Answers Pdf  Edit these sentences to create parallel structure. Mike likes to listen to.  exercise 3 of grammar bytes!  parallel structure describes sentence structure where the same pattern of words is used to show that two or more ideas have. Rewrite the below sentences in parallel structure. She learned the value of patience, being. In the exercise that follows, you. Parallel Structure Exercise 3 Answers Pdf.
     
    
        From chessmuseum.org 
                    50 Parallel Structure Worksheet With Answers Parallel Structure Exercise 3 Answers Pdf   exercise 3 of grammar bytes! Rewrite the below sentences in parallel structure. Get the answers by doing the interactive version of the exercise at this address: Edit these sentences to create parallel structure. Mike likes to listen to. In the exercise that follows, you will read sentences that contain blanks.  parallel structure describes sentence structure where the same. Parallel Structure Exercise 3 Answers Pdf.
     
    
        From www.scribd.com 
                    Parallel Structure and Correlative Conjunctions An Exercise in Parallel Structure Exercise 3 Answers Pdf  Edit these sentences to create parallel structure. Get the answers by doing the interactive version of the exercise at this address: Mike likes to listen to.  parallel structure describes sentence structure where the same pattern of words is used to show that two or more ideas have. In the exercise that follows, you will read sentences that contain blanks.. Parallel Structure Exercise 3 Answers Pdf.
     
    
        From englishlinx.com 
                    Parallel Structure Worksheets Parallel Structure Exercise 3 Answers Pdf  Mike likes to listen to. Rewrite the below sentences in parallel structure. In the exercise that follows, you will read sentences that contain blanks.  exercise 3 of grammar bytes! Edit these sentences to create parallel structure. Get the answers by doing the interactive version of the exercise at this address: She learned the value of patience, being.  parallel. Parallel Structure Exercise 3 Answers Pdf.
     
    
        From www.examples.com 
                    Parallel Structure 9+ Examples, Format, Pdf Parallel Structure Exercise 3 Answers Pdf  Edit these sentences to create parallel structure. Rewrite the below sentences in parallel structure. Get the answers by doing the interactive version of the exercise at this address: In the exercise that follows, you will read sentences that contain blanks. She learned the value of patience, being. Mike likes to listen to.  parallel structure describes sentence structure where the. Parallel Structure Exercise 3 Answers Pdf.
     
    
        From www.studocu.com 
                    Task 2 Parallel Structure (Eng103) For Tuesday’s class. Parallel Parallel Structure Exercise 3 Answers Pdf   parallel structure describes sentence structure where the same pattern of words is used to show that two or more ideas have. Rewrite the below sentences in parallel structure. In the exercise that follows, you will read sentences that contain blanks. Edit these sentences to create parallel structure. Mike likes to listen to.  exercise 3 of grammar bytes! Get. Parallel Structure Exercise 3 Answers Pdf.
     
    
        From worksheets.clipart-library.com 
                    Parallel Sentence Structure Exercise PDF Worksheets Library Parallel Structure Exercise 3 Answers Pdf  Rewrite the below sentences in parallel structure. She learned the value of patience, being.  parallel structure describes sentence structure where the same pattern of words is used to show that two or more ideas have. Get the answers by doing the interactive version of the exercise at this address:  exercise 3 of grammar bytes! Mike likes to listen. Parallel Structure Exercise 3 Answers Pdf.
     
    
        From quizzhutchins.z21.web.core.windows.net 
                    Parallel Structure Exercise 3 Answer Key Parallel Structure Exercise 3 Answers Pdf  Rewrite the below sentences in parallel structure. Get the answers by doing the interactive version of the exercise at this address: She learned the value of patience, being. Mike likes to listen to.  exercise 3 of grammar bytes! In the exercise that follows, you will read sentences that contain blanks. Edit these sentences to create parallel structure.  parallel. Parallel Structure Exercise 3 Answers Pdf.
     
    
        From www.proworksheet.my.id 
                    Parallel Structure Worksheet With Answers Proworksheet.my.id Parallel Structure Exercise 3 Answers Pdf   exercise 3 of grammar bytes! In the exercise that follows, you will read sentences that contain blanks. Mike likes to listen to. She learned the value of patience, being. Rewrite the below sentences in parallel structure.  parallel structure describes sentence structure where the same pattern of words is used to show that two or more ideas have. Edit. Parallel Structure Exercise 3 Answers Pdf.
     
    
        From www.e-streetlight.com 
                    Parallel Structure Worksheet With Answers E Street Light Parallel Structure Exercise 3 Answers Pdf  Get the answers by doing the interactive version of the exercise at this address: In the exercise that follows, you will read sentences that contain blanks. Rewrite the below sentences in parallel structure.  exercise 3 of grammar bytes!  parallel structure describes sentence structure where the same pattern of words is used to show that two or more ideas. Parallel Structure Exercise 3 Answers Pdf.
     
    
        From www.onlinedegreeforcriminaljustice.com 
                    Parallel Structure Exercise 2 Worksheet Answers Online degrees Parallel Structure Exercise 3 Answers Pdf  Mike likes to listen to. Edit these sentences to create parallel structure. Rewrite the below sentences in parallel structure. Get the answers by doing the interactive version of the exercise at this address:  exercise 3 of grammar bytes!  parallel structure describes sentence structure where the same pattern of words is used to show that two or more ideas. Parallel Structure Exercise 3 Answers Pdf.
     
    
        From studylib.net 
                    Parallel Structure Worksheet (1) 4 Parallel Structure Exercise 3 Answers Pdf  In the exercise that follows, you will read sentences that contain blanks. She learned the value of patience, being.  parallel structure describes sentence structure where the same pattern of words is used to show that two or more ideas have.  exercise 3 of grammar bytes! Get the answers by doing the interactive version of the exercise at this. Parallel Structure Exercise 3 Answers Pdf.
     
    
        From www.scribd.com 
                    ExercisesParallelStructure PDF Parallel Structure Exercise 3 Answers Pdf  She learned the value of patience, being.  parallel structure describes sentence structure where the same pattern of words is used to show that two or more ideas have. Mike likes to listen to.  exercise 3 of grammar bytes! In the exercise that follows, you will read sentences that contain blanks. Edit these sentences to create parallel structure. Get. Parallel Structure Exercise 3 Answers Pdf.
     
    
        From smithfieldjustice.com 
                    30 Parallel Structure Worksheet With Answers Parallel Structure Exercise 3 Answers Pdf  Edit these sentences to create parallel structure. Mike likes to listen to. Get the answers by doing the interactive version of the exercise at this address:  exercise 3 of grammar bytes!  parallel structure describes sentence structure where the same pattern of words is used to show that two or more ideas have. She learned the value of patience,. Parallel Structure Exercise 3 Answers Pdf.
     
    
        From www.scribd.com 
                    Parallel Structure Exercise 4 PDF Parallel Structure Exercise 3 Answers Pdf  Mike likes to listen to. Edit these sentences to create parallel structure. She learned the value of patience, being. Get the answers by doing the interactive version of the exercise at this address: In the exercise that follows, you will read sentences that contain blanks. Rewrite the below sentences in parallel structure.  exercise 3 of grammar bytes!  parallel. Parallel Structure Exercise 3 Answers Pdf.
     
    
        From classschooltrommler.z19.web.core.windows.net 
                    Parallel Structure Practice Worksheet 1 Parallel Structure Exercise 3 Answers Pdf  Edit these sentences to create parallel structure. In the exercise that follows, you will read sentences that contain blanks. Rewrite the below sentences in parallel structure.  exercise 3 of grammar bytes! Get the answers by doing the interactive version of the exercise at this address: Mike likes to listen to. She learned the value of patience, being.  parallel. Parallel Structure Exercise 3 Answers Pdf.
     
    
        From www.studocu.com 
                    204 Parallel Structure Exercise Class 4 ESL 204 Parallel Structures Parallel Structure Exercise 3 Answers Pdf  Rewrite the below sentences in parallel structure. Get the answers by doing the interactive version of the exercise at this address: Mike likes to listen to. She learned the value of patience, being. In the exercise that follows, you will read sentences that contain blanks. Edit these sentences to create parallel structure.  parallel structure describes sentence structure where the. Parallel Structure Exercise 3 Answers Pdf.
     
    
        From learningschoolukucelabt.z22.web.core.windows.net 
                    Parallel Structure Quiz With Answers Pdf Parallel Structure Exercise 3 Answers Pdf  In the exercise that follows, you will read sentences that contain blanks. She learned the value of patience, being. Edit these sentences to create parallel structure.  parallel structure describes sentence structure where the same pattern of words is used to show that two or more ideas have. Get the answers by doing the interactive version of the exercise at. Parallel Structure Exercise 3 Answers Pdf.
     
    
        From worksheeta.blogspot.com 
                    Parallel Structure Worksheet Rewriting The Sentences Answer Key Pdf Parallel Structure Exercise 3 Answers Pdf  Mike likes to listen to. In the exercise that follows, you will read sentences that contain blanks. Rewrite the below sentences in parallel structure.  exercise 3 of grammar bytes! Get the answers by doing the interactive version of the exercise at this address:  parallel structure describes sentence structure where the same pattern of words is used to show. Parallel Structure Exercise 3 Answers Pdf.
     
    
        From www.studocu.com 
                    Contoh soal Parallel Construction Name Date Class PARALLEL Parallel Structure Exercise 3 Answers Pdf  In the exercise that follows, you will read sentences that contain blanks. Rewrite the below sentences in parallel structure. Get the answers by doing the interactive version of the exercise at this address: She learned the value of patience, being. Edit these sentences to create parallel structure.  exercise 3 of grammar bytes!  parallel structure describes sentence structure where. Parallel Structure Exercise 3 Answers Pdf.
     
    
        From www.studocu.com 
                    Parallel Structure Exercise Correct and rewrite the sentences that do Parallel Structure Exercise 3 Answers Pdf  Get the answers by doing the interactive version of the exercise at this address: In the exercise that follows, you will read sentences that contain blanks.  exercise 3 of grammar bytes! Mike likes to listen to. Rewrite the below sentences in parallel structure.  parallel structure describes sentence structure where the same pattern of words is used to show. Parallel Structure Exercise 3 Answers Pdf.
     
    
        From www.lessonplanet.com 
                    Parallel Structure, Exercise 3 Worksheet for 4th 12th Grade Lesson Parallel Structure Exercise 3 Answers Pdf   parallel structure describes sentence structure where the same pattern of words is used to show that two or more ideas have. Mike likes to listen to. Get the answers by doing the interactive version of the exercise at this address: She learned the value of patience, being.  exercise 3 of grammar bytes! Rewrite the below sentences in parallel. Parallel Structure Exercise 3 Answers Pdf.
     
    
        From www.vrogue.co 
                    32 Parallel Structure Worksheet With Answers Support vrogue.co Parallel Structure Exercise 3 Answers Pdf  Rewrite the below sentences in parallel structure. Get the answers by doing the interactive version of the exercise at this address: Edit these sentences to create parallel structure. She learned the value of patience, being.  parallel structure describes sentence structure where the same pattern of words is used to show that two or more ideas have. In the exercise. Parallel Structure Exercise 3 Answers Pdf.
     
    
        From quizzhutchins.z21.web.core.windows.net 
                    Parallel Structure Exercise 3 Answer Key Parallel Structure Exercise 3 Answers Pdf  Get the answers by doing the interactive version of the exercise at this address: In the exercise that follows, you will read sentences that contain blanks. Mike likes to listen to. Edit these sentences to create parallel structure. She learned the value of patience, being. Rewrite the below sentences in parallel structure.  parallel structure describes sentence structure where the. Parallel Structure Exercise 3 Answers Pdf.
     
    
        From www.sadlier.com 
                    Activities for Parallel Structure Practice, Grades 612 Parallel Structure Exercise 3 Answers Pdf  Get the answers by doing the interactive version of the exercise at this address: Edit these sentences to create parallel structure.  parallel structure describes sentence structure where the same pattern of words is used to show that two or more ideas have. She learned the value of patience, being. Mike likes to listen to. Rewrite the below sentences in. Parallel Structure Exercise 3 Answers Pdf.
     
    
        From www.scribd.com 
                    Parallel Structure (Exercise A and B) PDF Verb Phrase Parallel Structure Exercise 3 Answers Pdf  She learned the value of patience, being. Get the answers by doing the interactive version of the exercise at this address: Edit these sentences to create parallel structure.  exercise 3 of grammar bytes! Mike likes to listen to.  parallel structure describes sentence structure where the same pattern of words is used to show that two or more ideas. Parallel Structure Exercise 3 Answers Pdf.
     
    
        From studyschoolfurtado.z21.web.core.windows.net 
                    Using Parallel Structure Worksheet Parallel Structure Exercise 3 Answers Pdf   exercise 3 of grammar bytes!  parallel structure describes sentence structure where the same pattern of words is used to show that two or more ideas have. Rewrite the below sentences in parallel structure. Mike likes to listen to. Edit these sentences to create parallel structure. She learned the value of patience, being. Get the answers by doing the. Parallel Structure Exercise 3 Answers Pdf.
     
    
        From www.studypool.com 
                    SOLUTION Parallel structure examples Studypool Parallel Structure Exercise 3 Answers Pdf  Rewrite the below sentences in parallel structure. She learned the value of patience, being. Mike likes to listen to.  parallel structure describes sentence structure where the same pattern of words is used to show that two or more ideas have.  exercise 3 of grammar bytes! Edit these sentences to create parallel structure. Get the answers by doing the. Parallel Structure Exercise 3 Answers Pdf.
     
    
        From materialschoolatwater.z21.web.core.windows.net 
                    Parallel Structure Exercises With Answers Pdf Parallel Structure Exercise 3 Answers Pdf   exercise 3 of grammar bytes! She learned the value of patience, being. Mike likes to listen to. Get the answers by doing the interactive version of the exercise at this address: In the exercise that follows, you will read sentences that contain blanks. Edit these sentences to create parallel structure. Rewrite the below sentences in parallel structure.  parallel. Parallel Structure Exercise 3 Answers Pdf.
     
    
        From studylib.net 
                    Parallel Structure Worksheet Answers dhs Parallel Structure Exercise 3 Answers Pdf  Edit these sentences to create parallel structure.  exercise 3 of grammar bytes! Get the answers by doing the interactive version of the exercise at this address: In the exercise that follows, you will read sentences that contain blanks. Rewrite the below sentences in parallel structure. Mike likes to listen to.  parallel structure describes sentence structure where the same. Parallel Structure Exercise 3 Answers Pdf.
     
    
        From printablelibmonkish.z19.web.core.windows.net 
                    Parallel Structure Activity Pdf Parallel Structure Exercise 3 Answers Pdf  In the exercise that follows, you will read sentences that contain blanks. Get the answers by doing the interactive version of the exercise at this address: Edit these sentences to create parallel structure. Rewrite the below sentences in parallel structure.  parallel structure describes sentence structure where the same pattern of words is used to show that two or more. Parallel Structure Exercise 3 Answers Pdf.
     
    
        From www.e-streetlight.com 
                    Parallel Structure Worksheet With Answers Parallel Structure Exercise 3 Answers Pdf  Rewrite the below sentences in parallel structure. Mike likes to listen to. In the exercise that follows, you will read sentences that contain blanks.  parallel structure describes sentence structure where the same pattern of words is used to show that two or more ideas have. She learned the value of patience, being. Edit these sentences to create parallel structure.. Parallel Structure Exercise 3 Answers Pdf.
     
    
        From www.examples.com 
                    Parallel Structure 9+ Examples, Format, Pdf Parallel Structure Exercise 3 Answers Pdf  Edit these sentences to create parallel structure. Get the answers by doing the interactive version of the exercise at this address: In the exercise that follows, you will read sentences that contain blanks. Rewrite the below sentences in parallel structure.  parallel structure describes sentence structure where the same pattern of words is used to show that two or more. Parallel Structure Exercise 3 Answers Pdf.