Your Grandfather Clock's Pendulum Has A Length Of 0.9930 M . Your grandfather clock’s pendulum has a length of 0.9930 m. Your grandfather clock’s pendulum has a length of 0.9930 m. If the clock runs slow and loses 21 s per day, how should you adjust the length of the. If the clock runs slow and loses 21 s per day, how should you adjust the length of the pendulum? T = 2π√ (l/g) where t is the time period, l is the length of the pendulum, and g is the. Enter positive value in case of increasing length of the pendulum and negative value in case of decreasing length of the pendulum. To adjust the length of the pendulum and make the clock run faster, use the formula l' = (16² * g) / (4π²) and substitute the. Your grandfather clock's pendulum has a length of 0.9930 m. The time period of a pendulum can be calculated using the formula: If the clock runs slow and loses 21 s per day, how should you adjust the length of the. In order to increase the frequency of oscillations, for small amplitudes, of a pendulum of length l with a bob of mass m, you need to:
from www.chegg.com
If the clock runs slow and loses 21 s per day, how should you adjust the length of the. In order to increase the frequency of oscillations, for small amplitudes, of a pendulum of length l with a bob of mass m, you need to: If the clock runs slow and loses 21 s per day, how should you adjust the length of the pendulum? Your grandfather clock’s pendulum has a length of 0.9930 m. Enter positive value in case of increasing length of the pendulum and negative value in case of decreasing length of the pendulum. T = 2π√ (l/g) where t is the time period, l is the length of the pendulum, and g is the. Your grandfather clock's pendulum has a length of 0.9930 m. The time period of a pendulum can be calculated using the formula: To adjust the length of the pendulum and make the clock run faster, use the formula l' = (16² * g) / (4π²) and substitute the. Your grandfather clock’s pendulum has a length of 0.9930 m.
Solved Your grandfather clock's pendulum has a length of
Your Grandfather Clock's Pendulum Has A Length Of 0.9930 M The time period of a pendulum can be calculated using the formula: If the clock runs slow and loses 21 s per day, how should you adjust the length of the. Your grandfather clock’s pendulum has a length of 0.9930 m. If the clock runs slow and loses 21 s per day, how should you adjust the length of the pendulum? The time period of a pendulum can be calculated using the formula: Your grandfather clock's pendulum has a length of 0.9930 m. Your grandfather clock’s pendulum has a length of 0.9930 m. In order to increase the frequency of oscillations, for small amplitudes, of a pendulum of length l with a bob of mass m, you need to: Enter positive value in case of increasing length of the pendulum and negative value in case of decreasing length of the pendulum. T = 2π√ (l/g) where t is the time period, l is the length of the pendulum, and g is the. To adjust the length of the pendulum and make the clock run faster, use the formula l' = (16² * g) / (4π²) and substitute the. If the clock runs slow and loses 21 s per day, how should you adjust the length of the.
From www.numerade.com
SOLVED grandfather clock has a weight at the bottom of the pendulum Your Grandfather Clock's Pendulum Has A Length Of 0.9930 M If the clock runs slow and loses 21 s per day, how should you adjust the length of the pendulum? In order to increase the frequency of oscillations, for small amplitudes, of a pendulum of length l with a bob of mass m, you need to: Enter positive value in case of increasing length of the pendulum and negative value. Your Grandfather Clock's Pendulum Has A Length Of 0.9930 M.
From www.numerade.com
Your grandfather clock's pendulum has a length of 0.9930 m . If the Your Grandfather Clock's Pendulum Has A Length Of 0.9930 M In order to increase the frequency of oscillations, for small amplitudes, of a pendulum of length l with a bob of mass m, you need to: Your grandfather clock’s pendulum has a length of 0.9930 m. Your grandfather clock's pendulum has a length of 0.9930 m. If the clock runs slow and loses 21 s per day, how should you. Your Grandfather Clock's Pendulum Has A Length Of 0.9930 M.
From www.chegg.com
Solved 11.31 Part A Your grandfather clock's pendulum has a Your Grandfather Clock's Pendulum Has A Length Of 0.9930 M Your grandfather clock’s pendulum has a length of 0.9930 m. In order to increase the frequency of oscillations, for small amplitudes, of a pendulum of length l with a bob of mass m, you need to: If the clock runs slow and loses 21 s per day, how should you adjust the length of the pendulum? Your grandfather clock’s pendulum. Your Grandfather Clock's Pendulum Has A Length Of 0.9930 M.
From techdiagrammer.com
The Complete Guide to Understanding Pendulum Grandfather Clock Parts A Your Grandfather Clock's Pendulum Has A Length Of 0.9930 M T = 2π√ (l/g) where t is the time period, l is the length of the pendulum, and g is the. Enter positive value in case of increasing length of the pendulum and negative value in case of decreasing length of the pendulum. If the clock runs slow and loses 21 s per day, how should you adjust the length. Your Grandfather Clock's Pendulum Has A Length Of 0.9930 M.
From www.coursehero.com
[Solved] It takes 1.5 seconds for a grandfather clock's pendulum to Your Grandfather Clock's Pendulum Has A Length Of 0.9930 M If the clock runs slow and loses 21 s per day, how should you adjust the length of the. If the clock runs slow and loses 21 s per day, how should you adjust the length of the pendulum? Your grandfather clock’s pendulum has a length of 0.9930 m. Your grandfather clock's pendulum has a length of 0.9930 m. In. Your Grandfather Clock's Pendulum Has A Length Of 0.9930 M.
From www.chegg.com
Solved 7 of 8 Your grandfather clock's pendulum has a length Your Grandfather Clock's Pendulum Has A Length Of 0.9930 M Your grandfather clock’s pendulum has a length of 0.9930 m. The time period of a pendulum can be calculated using the formula: Your grandfather clock’s pendulum has a length of 0.9930 m. In order to increase the frequency of oscillations, for small amplitudes, of a pendulum of length l with a bob of mass m, you need to: If the. Your Grandfather Clock's Pendulum Has A Length Of 0.9930 M.
From www.chegg.com
Solved Your grandfather clock's pendulum has a length of Your Grandfather Clock's Pendulum Has A Length Of 0.9930 M To adjust the length of the pendulum and make the clock run faster, use the formula l' = (16² * g) / (4π²) and substitute the. The time period of a pendulum can be calculated using the formula: If the clock runs slow and loses 21 s per day, how should you adjust the length of the pendulum? Your grandfather. Your Grandfather Clock's Pendulum Has A Length Of 0.9930 M.
From hxeyyynrp.blob.core.windows.net
How To Get Grandfather Clock Pendulum at Florence Slawson blog Your Grandfather Clock's Pendulum Has A Length Of 0.9930 M Your grandfather clock's pendulum has a length of 0.9930 m. If the clock runs slow and loses 21 s per day, how should you adjust the length of the. Your grandfather clock’s pendulum has a length of 0.9930 m. The time period of a pendulum can be calculated using the formula: If the clock runs slow and loses 21 s. Your Grandfather Clock's Pendulum Has A Length Of 0.9930 M.
From www.numerade.com
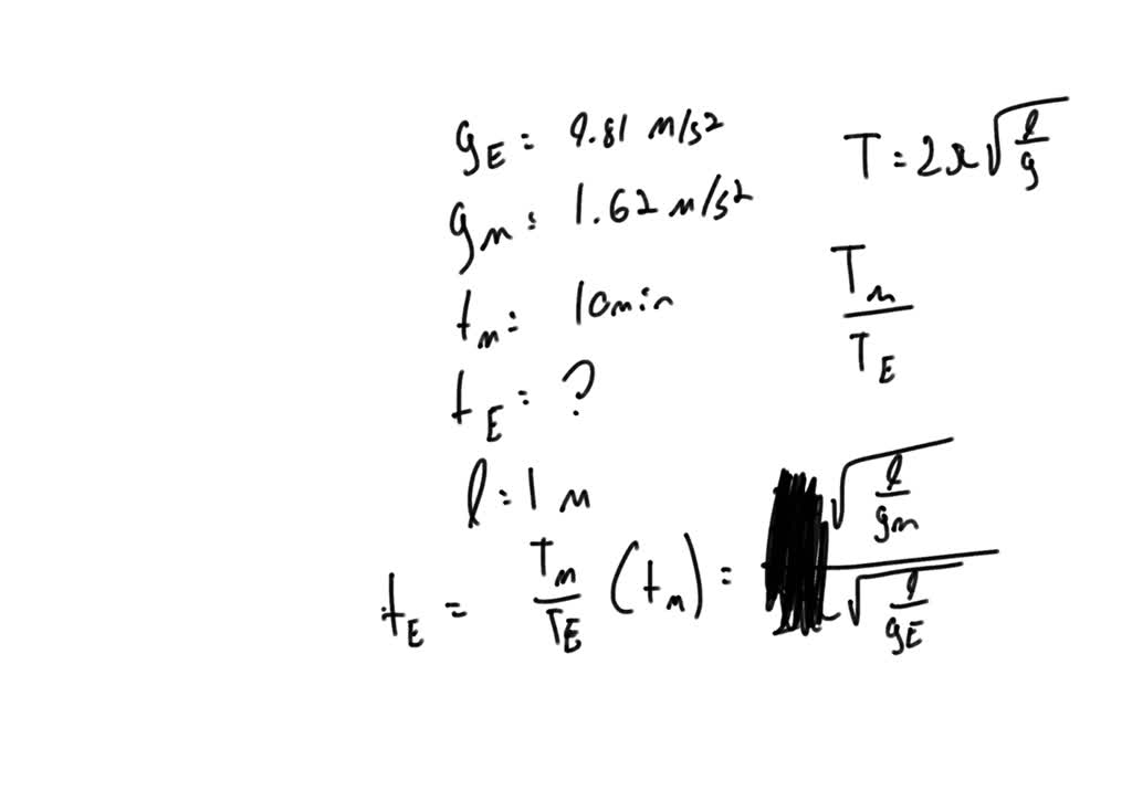
In the year 2121, when we have a colony on the moon, an engineer brings Your Grandfather Clock's Pendulum Has A Length Of 0.9930 M Your grandfather clock's pendulum has a length of 0.9930 m. To adjust the length of the pendulum and make the clock run faster, use the formula l' = (16² * g) / (4π²) and substitute the. Enter positive value in case of increasing length of the pendulum and negative value in case of decreasing length of the pendulum. Your grandfather. Your Grandfather Clock's Pendulum Has A Length Of 0.9930 M.
From www.chegg.com
Solved 7 of 8 Your grandfather clock's pendulum has a length Your Grandfather Clock's Pendulum Has A Length Of 0.9930 M If the clock runs slow and loses 21 s per day, how should you adjust the length of the pendulum? The time period of a pendulum can be calculated using the formula: Your grandfather clock's pendulum has a length of 0.9930 m. If the clock runs slow and loses 21 s per day, how should you adjust the length of. Your Grandfather Clock's Pendulum Has A Length Of 0.9930 M.
From www.youtube.com
Your grandfather clock's pendulum has a length of 0.9930m. If the clock Your Grandfather Clock's Pendulum Has A Length Of 0.9930 M Your grandfather clock’s pendulum has a length of 0.9930 m. If the clock runs slow and loses 21 s per day, how should you adjust the length of the. If the clock runs slow and loses 21 s per day, how should you adjust the length of the. If the clock runs slow and loses 21 s per day, how. Your Grandfather Clock's Pendulum Has A Length Of 0.9930 M.
From www.chegg.com
Solved 11 Your grandfather clock 's pendulum has a length Your Grandfather Clock's Pendulum Has A Length Of 0.9930 M T = 2π√ (l/g) where t is the time period, l is the length of the pendulum, and g is the. To adjust the length of the pendulum and make the clock run faster, use the formula l' = (16² * g) / (4π²) and substitute the. Your grandfather clock’s pendulum has a length of 0.9930 m. The time period. Your Grandfather Clock's Pendulum Has A Length Of 0.9930 M.
From www.chegg.com
Solved Your grandfather clock's pendulum has a length of Your Grandfather Clock's Pendulum Has A Length Of 0.9930 M If the clock runs slow and loses 21 s per day, how should you adjust the length of the. Your grandfather clock’s pendulum has a length of 0.9930 m. The time period of a pendulum can be calculated using the formula: If the clock runs slow and loses 21 s per day, how should you adjust the length of the. Your Grandfather Clock's Pendulum Has A Length Of 0.9930 M.
From www.chegg.com
Solved A grandfather clock pendulum consists of disk with a Your Grandfather Clock's Pendulum Has A Length Of 0.9930 M Your grandfather clock's pendulum has a length of 0.9930 m. If the clock runs slow and loses 21 s per day, how should you adjust the length of the. The time period of a pendulum can be calculated using the formula: Your grandfather clock’s pendulum has a length of 0.9930 m. T = 2π√ (l/g) where t is the time. Your Grandfather Clock's Pendulum Has A Length Of 0.9930 M.
From ar.inspiredpencil.com
Grandfather Clock Pendulum Diagram Your Grandfather Clock's Pendulum Has A Length Of 0.9930 M To adjust the length of the pendulum and make the clock run faster, use the formula l' = (16² * g) / (4π²) and substitute the. Enter positive value in case of increasing length of the pendulum and negative value in case of decreasing length of the pendulum. Your grandfather clock's pendulum has a length of 0.9930 m. If the. Your Grandfather Clock's Pendulum Has A Length Of 0.9930 M.
From phy.duke.edu
Grandfather's (physical pendulum) Clock Your Grandfather Clock's Pendulum Has A Length Of 0.9930 M To adjust the length of the pendulum and make the clock run faster, use the formula l' = (16² * g) / (4π²) and substitute the. Your grandfather clock's pendulum has a length of 0.9930 m. Your grandfather clock’s pendulum has a length of 0.9930 m. Enter positive value in case of increasing length of the pendulum and negative value. Your Grandfather Clock's Pendulum Has A Length Of 0.9930 M.
From www.chegg.com
Solved A Grandfather Clock Has A Pendulum That Consists O... Your Grandfather Clock's Pendulum Has A Length Of 0.9930 M Enter positive value in case of increasing length of the pendulum and negative value in case of decreasing length of the pendulum. If the clock runs slow and loses 21 s per day, how should you adjust the length of the. Your grandfather clock's pendulum has a length of 0.9930 m. T = 2π√ (l/g) where t is the time. Your Grandfather Clock's Pendulum Has A Length Of 0.9930 M.
From www.chegg.com
Solved Your grandfather clock's pendulum has a length of Your Grandfather Clock's Pendulum Has A Length Of 0.9930 M Your grandfather clock's pendulum has a length of 0.9930 m. If the clock runs slow and loses 21 s per day, how should you adjust the length of the. Enter positive value in case of increasing length of the pendulum and negative value in case of decreasing length of the pendulum. In order to increase the frequency of oscillations, for. Your Grandfather Clock's Pendulum Has A Length Of 0.9930 M.
From www.chegg.com
Solved Constan Your grandfather clock's pendulum has a Your Grandfather Clock's Pendulum Has A Length Of 0.9930 M To adjust the length of the pendulum and make the clock run faster, use the formula l' = (16² * g) / (4π²) and substitute the. The time period of a pendulum can be calculated using the formula: In order to increase the frequency of oscillations, for small amplitudes, of a pendulum of length l with a bob of mass. Your Grandfather Clock's Pendulum Has A Length Of 0.9930 M.
From www.chegg.com
Solved 11.31 Part A Your grandfather clock's pendulum has a Your Grandfather Clock's Pendulum Has A Length Of 0.9930 M The time period of a pendulum can be calculated using the formula: T = 2π√ (l/g) where t is the time period, l is the length of the pendulum, and g is the. To adjust the length of the pendulum and make the clock run faster, use the formula l' = (16² * g) / (4π²) and substitute the. If. Your Grandfather Clock's Pendulum Has A Length Of 0.9930 M.
From www.chegg.com
Solved A grandfather clock pendulum consists of disk with a Your Grandfather Clock's Pendulum Has A Length Of 0.9930 M Your grandfather clock’s pendulum has a length of 0.9930 m. To adjust the length of the pendulum and make the clock run faster, use the formula l' = (16² * g) / (4π²) and substitute the. If the clock runs slow and loses 21 s per day, how should you adjust the length of the. If the clock runs slow. Your Grandfather Clock's Pendulum Has A Length Of 0.9930 M.
From www.numerade.com
SOLVED How do I solve this problem? Constants Part A Your Your Grandfather Clock's Pendulum Has A Length Of 0.9930 M Your grandfather clock's pendulum has a length of 0.9930 m. In order to increase the frequency of oscillations, for small amplitudes, of a pendulum of length l with a bob of mass m, you need to: Your grandfather clock’s pendulum has a length of 0.9930 m. T = 2π√ (l/g) where t is the time period, l is the length. Your Grandfather Clock's Pendulum Has A Length Of 0.9930 M.
From www.chegg.com
Solved A grandfather clock has a pendulum that consists of a Your Grandfather Clock's Pendulum Has A Length Of 0.9930 M T = 2π√ (l/g) where t is the time period, l is the length of the pendulum, and g is the. In order to increase the frequency of oscillations, for small amplitudes, of a pendulum of length l with a bob of mass m, you need to: To adjust the length of the pendulum and make the clock run faster,. Your Grandfather Clock's Pendulum Has A Length Of 0.9930 M.
From www.numerade.com
SOLVED(II) Your grandfather clock's pendulum has a length of 0.9930 m Your Grandfather Clock's Pendulum Has A Length Of 0.9930 M If the clock runs slow and loses 21 s per day, how should you adjust the length of the. T = 2π√ (l/g) where t is the time period, l is the length of the pendulum, and g is the. The time period of a pendulum can be calculated using the formula: If the clock runs slow and loses 21. Your Grandfather Clock's Pendulum Has A Length Of 0.9930 M.
From www.chegg.com
Solved Your grandfather clock's pendulum has a length of Your Grandfather Clock's Pendulum Has A Length Of 0.9930 M Your grandfather clock’s pendulum has a length of 0.9930 m. Your grandfather clock’s pendulum has a length of 0.9930 m. Your grandfather clock's pendulum has a length of 0.9930 m. If the clock runs slow and loses 21 s per day, how should you adjust the length of the pendulum? The time period of a pendulum can be calculated using. Your Grandfather Clock's Pendulum Has A Length Of 0.9930 M.
From www.chegg.com
Solved Your grandfather clock's pendulum has a length of Your Grandfather Clock's Pendulum Has A Length Of 0.9930 M The time period of a pendulum can be calculated using the formula: Enter positive value in case of increasing length of the pendulum and negative value in case of decreasing length of the pendulum. Your grandfather clock’s pendulum has a length of 0.9930 m. If the clock runs slow and loses 21 s per day, how should you adjust the. Your Grandfather Clock's Pendulum Has A Length Of 0.9930 M.
From ar.inspiredpencil.com
Grandfather Clock Pendulum Diagram Your Grandfather Clock's Pendulum Has A Length Of 0.9930 M Enter positive value in case of increasing length of the pendulum and negative value in case of decreasing length of the pendulum. In order to increase the frequency of oscillations, for small amplitudes, of a pendulum of length l with a bob of mass m, you need to: Your grandfather clock's pendulum has a length of 0.9930 m. T =. Your Grandfather Clock's Pendulum Has A Length Of 0.9930 M.
From mungfali.com
Grandfather Clock Pendulum Diagram Your Grandfather Clock's Pendulum Has A Length Of 0.9930 M T = 2π√ (l/g) where t is the time period, l is the length of the pendulum, and g is the. If the clock runs slow and loses 21 s per day, how should you adjust the length of the. The time period of a pendulum can be calculated using the formula: To adjust the length of the pendulum and. Your Grandfather Clock's Pendulum Has A Length Of 0.9930 M.
From www.chegg.com
Solved A grandfather clock's pendulum has a period of 2.00 Your Grandfather Clock's Pendulum Has A Length Of 0.9930 M Enter positive value in case of increasing length of the pendulum and negative value in case of decreasing length of the pendulum. The time period of a pendulum can be calculated using the formula: Your grandfather clock's pendulum has a length of 0.9930 m. If the clock runs slow and loses 21 s per day, how should you adjust the. Your Grandfather Clock's Pendulum Has A Length Of 0.9930 M.
From www.numerade.com
SOLVED Your grandfather clock is a simple pendulum with a length of 0. Your Grandfather Clock's Pendulum Has A Length Of 0.9930 M If the clock runs slow and loses 21 s per day, how should you adjust the length of the. T = 2π√ (l/g) where t is the time period, l is the length of the pendulum, and g is the. Enter positive value in case of increasing length of the pendulum and negative value in case of decreasing length of. Your Grandfather Clock's Pendulum Has A Length Of 0.9930 M.
From www.chegg.com
Solved Your grandfather clock's pendulum has a length Part A Your Grandfather Clock's Pendulum Has A Length Of 0.9930 M If the clock runs slow and loses 21 s per day, how should you adjust the length of the pendulum? Your grandfather clock’s pendulum has a length of 0.9930 m. To adjust the length of the pendulum and make the clock run faster, use the formula l' = (16² * g) / (4π²) and substitute the. If the clock runs. Your Grandfather Clock's Pendulum Has A Length Of 0.9930 M.
From legendaryspicemn.com
How To Properly Measure The Pendulum Bob On A Grandfather Clock Your Grandfather Clock's Pendulum Has A Length Of 0.9930 M If the clock runs slow and loses 21 s per day, how should you adjust the length of the pendulum? Your grandfather clock’s pendulum has a length of 0.9930 m. Your grandfather clock’s pendulum has a length of 0.9930 m. T = 2π√ (l/g) where t is the time period, l is the length of the pendulum, and g is. Your Grandfather Clock's Pendulum Has A Length Of 0.9930 M.
From www.chegg.com
Solved LUI ISlal ILS Your grandfather clock's pendulum has a Your Grandfather Clock's Pendulum Has A Length Of 0.9930 M Your grandfather clock's pendulum has a length of 0.9930 m. Enter positive value in case of increasing length of the pendulum and negative value in case of decreasing length of the pendulum. In order to increase the frequency of oscillations, for small amplitudes, of a pendulum of length l with a bob of mass m, you need to: Your grandfather. Your Grandfather Clock's Pendulum Has A Length Of 0.9930 M.
From www.numerade.com
SOLVED Your grandfather clock's pendulum has a length of 0.9930 m. If Your Grandfather Clock's Pendulum Has A Length Of 0.9930 M If the clock runs slow and loses 21 s per day, how should you adjust the length of the. Enter positive value in case of increasing length of the pendulum and negative value in case of decreasing length of the pendulum. Your grandfather clock's pendulum has a length of 0.9930 m. Your grandfather clock’s pendulum has a length of 0.9930. Your Grandfather Clock's Pendulum Has A Length Of 0.9930 M.
From www.chegg.com
Solved Your grandfather clock's pendulum has a length of Your Grandfather Clock's Pendulum Has A Length Of 0.9930 M If the clock runs slow and loses 21 s per day, how should you adjust the length of the pendulum? If the clock runs slow and loses 21 s per day, how should you adjust the length of the. The time period of a pendulum can be calculated using the formula: To adjust the length of the pendulum and make. Your Grandfather Clock's Pendulum Has A Length Of 0.9930 M.