A Rectangular Tank Is Filled To The Brim With Water . curious about how to answer a rectangular tank is filled to the brim with water. When a hole at its bottom is unplugged, the tank is. a rectangular tank is filled to the brim with water. The velocity of efflux through a hole is given by. if a tank holds 1000 litres of water, which takes an hour to drain from the bottom in the tank, then the volume v of water. if the tank is filled to the brim, then the height of the water level will be $h$ and the time required to empty the tank is. V = 2 g h. Where h is the height of the tank. The correct option is b 7 min. Given, time taken to empty fully filled vessel, t1 =10 min. click here 👆 to get an answer to your question ️ a rectangular tank 25 cm by 14 cm by 13 cm is filled to the brim with water. When a hole at its bottom is unplugged, the tank is emptied in time t.
from www.numerade.com
The correct option is b 7 min. click here 👆 to get an answer to your question ️ a rectangular tank 25 cm by 14 cm by 13 cm is filled to the brim with water. curious about how to answer a rectangular tank is filled to the brim with water. When a hole at its bottom is unplugged, the tank is. V = 2 g h. if the tank is filled to the brim, then the height of the water level will be $h$ and the time required to empty the tank is. Where h is the height of the tank. The velocity of efflux through a hole is given by. Given, time taken to empty fully filled vessel, t1 =10 min. a rectangular tank is filled to the brim with water.
3 A rectangular water tank (see figure below) is being filled at the constant rate of 20 liters
A Rectangular Tank Is Filled To The Brim With Water curious about how to answer a rectangular tank is filled to the brim with water. When a hole at its bottom is unplugged, the tank is emptied in time t. V = 2 g h. Where h is the height of the tank. When a hole at its bottom is unplugged, the tank is. click here 👆 to get an answer to your question ️ a rectangular tank 25 cm by 14 cm by 13 cm is filled to the brim with water. The correct option is b 7 min. if the tank is filled to the brim, then the height of the water level will be $h$ and the time required to empty the tank is. curious about how to answer a rectangular tank is filled to the brim with water. if a tank holds 1000 litres of water, which takes an hour to drain from the bottom in the tank, then the volume v of water. Given, time taken to empty fully filled vessel, t1 =10 min. a rectangular tank is filled to the brim with water. The velocity of efflux through a hole is given by.
From www.toppr.com
A sealed tank contains water to a height of 11 m and air at 3 atm. Water flower out from the A Rectangular Tank Is Filled To The Brim With Water click here 👆 to get an answer to your question ️ a rectangular tank 25 cm by 14 cm by 13 cm is filled to the brim with water. When a hole at its bottom is unplugged, the tank is. if the tank is filled to the brim, then the height of the water level will be $h$. A Rectangular Tank Is Filled To The Brim With Water.
From www.chegg.com
Solved A rectangular tank, open to the atmosphere, is filled A Rectangular Tank Is Filled To The Brim With Water click here 👆 to get an answer to your question ️ a rectangular tank 25 cm by 14 cm by 13 cm is filled to the brim with water. The correct option is b 7 min. curious about how to answer a rectangular tank is filled to the brim with water. The velocity of efflux through a hole. A Rectangular Tank Is Filled To The Brim With Water.
From www.chegg.com
Solved 4. An open rectangular tank is partially filled with A Rectangular Tank Is Filled To The Brim With Water Given, time taken to empty fully filled vessel, t1 =10 min. curious about how to answer a rectangular tank is filled to the brim with water. if a tank holds 1000 litres of water, which takes an hour to drain from the bottom in the tank, then the volume v of water. When a hole at its bottom. A Rectangular Tank Is Filled To The Brim With Water.
From www.numerade.com
3 A rectangular water tank (see figure below) is being filled at the constant rate of 20 liters A Rectangular Tank Is Filled To The Brim With Water V = 2 g h. if a tank holds 1000 litres of water, which takes an hour to drain from the bottom in the tank, then the volume v of water. When a hole at its bottom is unplugged, the tank is. curious about how to answer a rectangular tank is filled to the brim with water. . A Rectangular Tank Is Filled To The Brim With Water.
From www.chegg.com
Solved A rectangular tank has dimensions 8 m by 4 m by 5 m. A Rectangular Tank Is Filled To The Brim With Water The correct option is b 7 min. Where h is the height of the tank. The velocity of efflux through a hole is given by. if a tank holds 1000 litres of water, which takes an hour to drain from the bottom in the tank, then the volume v of water. click here 👆 to get an answer. A Rectangular Tank Is Filled To The Brim With Water.
From www.inchcalculator.com
Tank Volume Calculator Inch Calculator A Rectangular Tank Is Filled To The Brim With Water a rectangular tank is filled to the brim with water. Given, time taken to empty fully filled vessel, t1 =10 min. When a hole at its bottom is unplugged, the tank is. The velocity of efflux through a hole is given by. The correct option is b 7 min. if the tank is filled to the brim, then. A Rectangular Tank Is Filled To The Brim With Water.
From www.numerade.com
SOLVED A rectangular tank is filled with water as shown; It contains 2 liters of water. Find A Rectangular Tank Is Filled To The Brim With Water Where h is the height of the tank. The velocity of efflux through a hole is given by. When a hole at its bottom is unplugged, the tank is. When a hole at its bottom is unplugged, the tank is emptied in time t. click here 👆 to get an answer to your question ️ a rectangular tank 25. A Rectangular Tank Is Filled To The Brim With Water.
From questions-in.kunduz.com
A rectangular tank filled with water is moved horizo... Physics A Rectangular Tank Is Filled To The Brim With Water When a hole at its bottom is unplugged, the tank is emptied in time t. The correct option is b 7 min. click here 👆 to get an answer to your question ️ a rectangular tank 25 cm by 14 cm by 13 cm is filled to the brim with water. The velocity of efflux through a hole is. A Rectangular Tank Is Filled To The Brim With Water.
From www.chegg.com
Solved A rectangular tank of partitioned shown, contains oil A Rectangular Tank Is Filled To The Brim With Water Given, time taken to empty fully filled vessel, t1 =10 min. a rectangular tank is filled to the brim with water. if a tank holds 1000 litres of water, which takes an hour to drain from the bottom in the tank, then the volume v of water. Where h is the height of the tank. V = 2. A Rectangular Tank Is Filled To The Brim With Water.
From www.numerade.com
SOLVED13.3 The figure shows four identical opentop tanks filled to the brim with water and A Rectangular Tank Is Filled To The Brim With Water When a hole at its bottom is unplugged, the tank is. When a hole at its bottom is unplugged, the tank is emptied in time t. The velocity of efflux through a hole is given by. click here 👆 to get an answer to your question ️ a rectangular tank 25 cm by 14 cm by 13 cm is. A Rectangular Tank Is Filled To The Brim With Water.
From www.cuemath.com
Volume of Rectangular Tank Definition, Formula and Examples, A Rectangular Tank Is Filled To The Brim With Water if the tank is filled to the brim, then the height of the water level will be $h$ and the time required to empty the tank is. curious about how to answer a rectangular tank is filled to the brim with water. The velocity of efflux through a hole is given by. a rectangular tank is filled. A Rectangular Tank Is Filled To The Brim With Water.
From www.toppr.com
A closed rectangular tank is completely filled with water and is accelerated horizontally with A Rectangular Tank Is Filled To The Brim With Water When a hole at its bottom is unplugged, the tank is. Where h is the height of the tank. if the tank is filled to the brim, then the height of the water level will be $h$ and the time required to empty the tank is. When a hole at its bottom is unplugged, the tank is emptied in. A Rectangular Tank Is Filled To The Brim With Water.
From www.toppr.com
EEE When the rectangular metal tank is filled to the with an unknown liquid, an observer with A Rectangular Tank Is Filled To The Brim With Water if a tank holds 1000 litres of water, which takes an hour to drain from the bottom in the tank, then the volume v of water. Given, time taken to empty fully filled vessel, t1 =10 min. When a hole at its bottom is unplugged, the tank is emptied in time t. if the tank is filled to. A Rectangular Tank Is Filled To The Brim With Water.
From www.youtube.com
How to calculate water tank capacity in liters Water tank volume civilfieldengineer YouTube A Rectangular Tank Is Filled To The Brim With Water The correct option is b 7 min. click here 👆 to get an answer to your question ️ a rectangular tank 25 cm by 14 cm by 13 cm is filled to the brim with water. if the tank is filled to the brim, then the height of the water level will be $h$ and the time required. A Rectangular Tank Is Filled To The Brim With Water.
From brainly.in
The large rectangular tank shown is 4/5 filled with water. The water is then poured into the A Rectangular Tank Is Filled To The Brim With Water The velocity of efflux through a hole is given by. V = 2 g h. curious about how to answer a rectangular tank is filled to the brim with water. if the tank is filled to the brim, then the height of the water level will be $h$ and the time required to empty the tank is. . A Rectangular Tank Is Filled To The Brim With Water.
From www.teachoo.com
Question 2 A cuboidal water tank is 6 m long, 5 m wide A Rectangular Tank Is Filled To The Brim With Water curious about how to answer a rectangular tank is filled to the brim with water. a rectangular tank is filled to the brim with water. V = 2 g h. The velocity of efflux through a hole is given by. if a tank holds 1000 litres of water, which takes an hour to drain from the bottom. A Rectangular Tank Is Filled To The Brim With Water.
From dxoqscgne.blob.core.windows.net
Rectangular Water Tank Load Calculation at Martha Perrin blog A Rectangular Tank Is Filled To The Brim With Water Given, time taken to empty fully filled vessel, t1 =10 min. if the tank is filled to the brim, then the height of the water level will be $h$ and the time required to empty the tank is. a rectangular tank is filled to the brim with water. Where h is the height of the tank. When a. A Rectangular Tank Is Filled To The Brim With Water.
From www.chegg.com
Solved An open rectangular tank is partially filled with A Rectangular Tank Is Filled To The Brim With Water curious about how to answer a rectangular tank is filled to the brim with water. V = 2 g h. The velocity of efflux through a hole is given by. Given, time taken to empty fully filled vessel, t1 =10 min. When a hole at its bottom is unplugged, the tank is. When a hole at its bottom is. A Rectangular Tank Is Filled To The Brim With Water.
From www.numerade.com
SOLVED A rectangular tank, 50 cm long and 40 cm wide, is 34 filled with water. Another 30 A Rectangular Tank Is Filled To The Brim With Water When a hole at its bottom is unplugged, the tank is emptied in time t. The velocity of efflux through a hole is given by. The correct option is b 7 min. Given, time taken to empty fully filled vessel, t1 =10 min. curious about how to answer a rectangular tank is filled to the brim with water. . A Rectangular Tank Is Filled To The Brim With Water.
From brainly.in
a rectangular tank 28cm by 18 cm by 12cm is filled with water to the brim. then 0.7L of water A Rectangular Tank Is Filled To The Brim With Water The correct option is b 7 min. Given, time taken to empty fully filled vessel, t1 =10 min. curious about how to answer a rectangular tank is filled to the brim with water. When a hole at its bottom is unplugged, the tank is emptied in time t. The velocity of efflux through a hole is given by. V. A Rectangular Tank Is Filled To The Brim With Water.
From www.toppr.com
A rectangular tank of base area 100 m^2 has a height of 2 m . Calculate the thrust at the bottom A Rectangular Tank Is Filled To The Brim With Water if the tank is filled to the brim, then the height of the water level will be $h$ and the time required to empty the tank is. a rectangular tank is filled to the brim with water. When a hole at its bottom is unplugged, the tank is emptied in time t. click here 👆 to get. A Rectangular Tank Is Filled To The Brim With Water.
From www.chegg.com
Solved Suppose that a rectangular tank, partly filled with A Rectangular Tank Is Filled To The Brim With Water curious about how to answer a rectangular tank is filled to the brim with water. if a tank holds 1000 litres of water, which takes an hour to drain from the bottom in the tank, then the volume v of water. The correct option is b 7 min. a rectangular tank is filled to the brim with. A Rectangular Tank Is Filled To The Brim With Water.
From www.numerade.com
SOLVEDThe figure shows four identical opentop tanks filled to the brim with water and sitting A Rectangular Tank Is Filled To The Brim With Water a rectangular tank is filled to the brim with water. if the tank is filled to the brim, then the height of the water level will be $h$ and the time required to empty the tank is. When a hole at its bottom is unplugged, the tank is emptied in time t. The correct option is b 7. A Rectangular Tank Is Filled To The Brim With Water.
From www.numerade.com
A rectangular tank filled with water is moving horizontally of an acceleration that is half of g A Rectangular Tank Is Filled To The Brim With Water click here 👆 to get an answer to your question ️ a rectangular tank 25 cm by 14 cm by 13 cm is filled to the brim with water. The velocity of efflux through a hole is given by. if the tank is filled to the brim, then the height of the water level will be $h$ and. A Rectangular Tank Is Filled To The Brim With Water.
From www.numerade.com
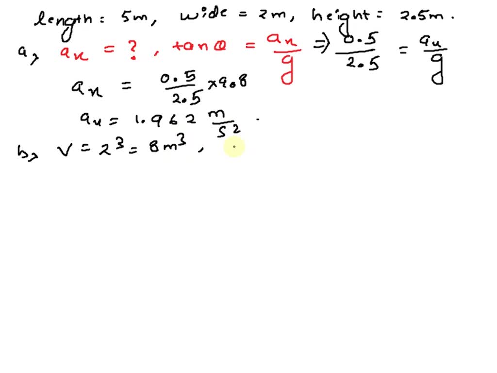
SOLVED An open rectangular tank mounted on a track is 5m long, 2m wide, and 2.5m high, and is A Rectangular Tank Is Filled To The Brim With Water The correct option is b 7 min. if the tank is filled to the brim, then the height of the water level will be $h$ and the time required to empty the tank is. V = 2 g h. Where h is the height of the tank. Given, time taken to empty fully filled vessel, t1 =10 min. . A Rectangular Tank Is Filled To The Brim With Water.
From www.civilology.com
How to Calculate Rectangular Water Tank Size & Capacity in liters? Civilology A Rectangular Tank Is Filled To The Brim With Water curious about how to answer a rectangular tank is filled to the brim with water. a rectangular tank is filled to the brim with water. if a tank holds 1000 litres of water, which takes an hour to drain from the bottom in the tank, then the volume v of water. The velocity of efflux through a. A Rectangular Tank Is Filled To The Brim With Water.
From www.numerade.com
SOLVEDConsider a large rectangular tank of water open to the atmosphere, 10 ft deep, with walls A Rectangular Tank Is Filled To The Brim With Water curious about how to answer a rectangular tank is filled to the brim with water. The correct option is b 7 min. V = 2 g h. a rectangular tank is filled to the brim with water. if the tank is filled to the brim, then the height of the water level will be $h$ and the. A Rectangular Tank Is Filled To The Brim With Water.
From www.toppr.com
8. A rectangular tank of base area 100 m2 has a height of 2 m. Calculate the thrust the bottom A Rectangular Tank Is Filled To The Brim With Water if a tank holds 1000 litres of water, which takes an hour to drain from the bottom in the tank, then the volume v of water. if the tank is filled to the brim, then the height of the water level will be $h$ and the time required to empty the tank is. Given, time taken to empty. A Rectangular Tank Is Filled To The Brim With Water.
From www.youtube.com
A rectangular tank is 10 m long 5 m broad and 3m high. It is filled to the rim with water of den A Rectangular Tank Is Filled To The Brim With Water The velocity of efflux through a hole is given by. a rectangular tank is filled to the brim with water. click here 👆 to get an answer to your question ️ a rectangular tank 25 cm by 14 cm by 13 cm is filled to the brim with water. if a tank holds 1000 litres of water,. A Rectangular Tank Is Filled To The Brim With Water.
From www.dreamstime.com
The Plants Storage Tanks Filled To the Brim with Fresh Water Ready To Be Transported To Areas in A Rectangular Tank Is Filled To The Brim With Water When a hole at its bottom is unplugged, the tank is emptied in time t. click here 👆 to get an answer to your question ️ a rectangular tank 25 cm by 14 cm by 13 cm is filled to the brim with water. curious about how to answer a rectangular tank is filled to the brim with. A Rectangular Tank Is Filled To The Brim With Water.
From hydrocomposites.com
445 gal. Rectangular Fiberglass Tank Hydro Composites, LLC A Rectangular Tank Is Filled To The Brim With Water curious about how to answer a rectangular tank is filled to the brim with water. click here 👆 to get an answer to your question ️ a rectangular tank 25 cm by 14 cm by 13 cm is filled to the brim with water. V = 2 g h. The velocity of efflux through a hole is given. A Rectangular Tank Is Filled To The Brim With Water.
From kunduz.com
[ANSWERED] A closed rectangular tank is completely filled with water Kunduz A Rectangular Tank Is Filled To The Brim With Water a rectangular tank is filled to the brim with water. click here 👆 to get an answer to your question ️ a rectangular tank 25 cm by 14 cm by 13 cm is filled to the brim with water. Where h is the height of the tank. if the tank is filled to the brim, then the. A Rectangular Tank Is Filled To The Brim With Water.
From www.numerade.com
SOLVED A large water tank is 3.00 m high and filled to the brim, the top of the tank open to A Rectangular Tank Is Filled To The Brim With Water V = 2 g h. curious about how to answer a rectangular tank is filled to the brim with water. a rectangular tank is filled to the brim with water. if the tank is filled to the brim, then the height of the water level will be $h$ and the time required to empty the tank is.. A Rectangular Tank Is Filled To The Brim With Water.
From www.studocu.com
Pdfcoffee Fluid Mechanics Tutorial 5 Relative equilibrium An open rectangular tank 3m long A Rectangular Tank Is Filled To The Brim With Water Given, time taken to empty fully filled vessel, t1 =10 min. The velocity of efflux through a hole is given by. When a hole at its bottom is unplugged, the tank is emptied in time t. curious about how to answer a rectangular tank is filled to the brim with water. click here 👆 to get an answer. A Rectangular Tank Is Filled To The Brim With Water.
From www.youtube.com
Volume of a rectangular water tank. YouTube A Rectangular Tank Is Filled To The Brim With Water click here 👆 to get an answer to your question ️ a rectangular tank 25 cm by 14 cm by 13 cm is filled to the brim with water. a rectangular tank is filled to the brim with water. When a hole at its bottom is unplugged, the tank is emptied in time t. V = 2 g. A Rectangular Tank Is Filled To The Brim With Water.