Sunbright Kitchen . since 2014, sunbright ceramic has been helping our customers improve their homes and upgrade their lifestyle. sunbright designs, central florida's complete kitchen & bath design group. Cabinet installation, cabinet repair, closet design, custom bathroom vanities, custom bookcases,. throughout central florida, sunbright designs, has grown a reputation as an elite custom cabinet supplier. sunbright designs provides the following services: 205 n grove st, eustis, fl 32726. From sinks to surfaces, the dishwasher to floors (yes, even carpet),. sunbright designs is a kitchen and bathroom store with cosentino surfaces available for each project.
from www.lazada.com.ph
Cabinet installation, cabinet repair, closet design, custom bathroom vanities, custom bookcases,. sunbright designs, central florida's complete kitchen & bath design group. 205 n grove st, eustis, fl 32726. throughout central florida, sunbright designs, has grown a reputation as an elite custom cabinet supplier. sunbright designs provides the following services: From sinks to surfaces, the dishwasher to floors (yes, even carpet),. sunbright designs is a kitchen and bathroom store with cosentino surfaces available for each project. since 2014, sunbright ceramic has been helping our customers improve their homes and upgrade their lifestyle.
Sunbright Series INTENSE COLORS Hair Color 100ml Lazada PH
Sunbright Kitchen sunbright designs, central florida's complete kitchen & bath design group. sunbright designs provides the following services: sunbright designs, central florida's complete kitchen & bath design group. sunbright designs is a kitchen and bathroom store with cosentino surfaces available for each project. Cabinet installation, cabinet repair, closet design, custom bathroom vanities, custom bookcases,. throughout central florida, sunbright designs, has grown a reputation as an elite custom cabinet supplier. 205 n grove st, eustis, fl 32726. From sinks to surfaces, the dishwasher to floors (yes, even carpet),. since 2014, sunbright ceramic has been helping our customers improve their homes and upgrade their lifestyle.
From www.vecteezy.com
Sunbright sunshine sunlight icon vector flat design 21523219 Vector Art Sunbright Kitchen Cabinet installation, cabinet repair, closet design, custom bathroom vanities, custom bookcases,. since 2014, sunbright ceramic has been helping our customers improve their homes and upgrade their lifestyle. 205 n grove st, eustis, fl 32726. From sinks to surfaces, the dishwasher to floors (yes, even carpet),. throughout central florida, sunbright designs, has grown a reputation as an elite. Sunbright Kitchen.
From www.lazada.com.ph
Sunbright Hair Rebonding Set 1000ml Cream Keratin Collagen Strighten Sunbright Kitchen sunbright designs is a kitchen and bathroom store with cosentino surfaces available for each project. sunbright designs provides the following services: since 2014, sunbright ceramic has been helping our customers improve their homes and upgrade their lifestyle. sunbright designs, central florida's complete kitchen & bath design group. From sinks to surfaces, the dishwasher to floors (yes,. Sunbright Kitchen.
From en.wikipedia.org
FileModern kitchen gnangarra.JPG Wikipedia Sunbright Kitchen From sinks to surfaces, the dishwasher to floors (yes, even carpet),. Cabinet installation, cabinet repair, closet design, custom bathroom vanities, custom bookcases,. sunbright designs provides the following services: 205 n grove st, eustis, fl 32726. since 2014, sunbright ceramic has been helping our customers improve their homes and upgrade their lifestyle. sunbright designs is a kitchen. Sunbright Kitchen.
From sunhealthaz.com
Sunrider Sunbright SuperClean Household SunHealth AZ Sunbright Kitchen 205 n grove st, eustis, fl 32726. since 2014, sunbright ceramic has been helping our customers improve their homes and upgrade their lifestyle. From sinks to surfaces, the dishwasher to floors (yes, even carpet),. sunbright designs, central florida's complete kitchen & bath design group. sunbright designs provides the following services: sunbright designs is a kitchen. Sunbright Kitchen.
From tokyoportfolio.com
SUNBRIGHT YOYOGI PARK Tokyo Portfolio Real Estate Sunbright Kitchen 205 n grove st, eustis, fl 32726. sunbright designs provides the following services: sunbright designs, central florida's complete kitchen & bath design group. From sinks to surfaces, the dishwasher to floors (yes, even carpet),. throughout central florida, sunbright designs, has grown a reputation as an elite custom cabinet supplier. Cabinet installation, cabinet repair, closet design, custom. Sunbright Kitchen.
From www.youtube.com
Sow Right Seeds Sunbright Pepper YouTube Sunbright Kitchen since 2014, sunbright ceramic has been helping our customers improve their homes and upgrade their lifestyle. throughout central florida, sunbright designs, has grown a reputation as an elite custom cabinet supplier. sunbright designs provides the following services: Cabinet installation, cabinet repair, closet design, custom bathroom vanities, custom bookcases,. 205 n grove st, eustis, fl 32726. From. Sunbright Kitchen.
From www.amazon.com
SUNBRIGHT Wine Bottle Stoppers for Party Gifts, Kitchen Sunbright Kitchen since 2014, sunbright ceramic has been helping our customers improve their homes and upgrade their lifestyle. 205 n grove st, eustis, fl 32726. sunbright designs is a kitchen and bathroom store with cosentino surfaces available for each project. From sinks to surfaces, the dishwasher to floors (yes, even carpet),. throughout central florida, sunbright designs, has grown. Sunbright Kitchen.
From comeitch.blogspot.com
* Remodelaholic * Bright and Blue and Beautiful; Kitchen Remodel! Sunbright Kitchen 205 n grove st, eustis, fl 32726. sunbright designs, central florida's complete kitchen & bath design group. sunbright designs is a kitchen and bathroom store with cosentino surfaces available for each project. since 2014, sunbright ceramic has been helping our customers improve their homes and upgrade their lifestyle. throughout central florida, sunbright designs, has grown. Sunbright Kitchen.
From kandikitchens.co.uk
K&I Kitchens K&I Kitchens Sunbright Kitchen Cabinet installation, cabinet repair, closet design, custom bathroom vanities, custom bookcases,. 205 n grove st, eustis, fl 32726. since 2014, sunbright ceramic has been helping our customers improve their homes and upgrade their lifestyle. sunbright designs is a kitchen and bathroom store with cosentino surfaces available for each project. sunbright designs provides the following services: From. Sunbright Kitchen.
From www.facebook.com
Sunbright First Baptist Church Sunbright Kitchen since 2014, sunbright ceramic has been helping our customers improve their homes and upgrade their lifestyle. Cabinet installation, cabinet repair, closet design, custom bathroom vanities, custom bookcases,. sunbright designs provides the following services: throughout central florida, sunbright designs, has grown a reputation as an elite custom cabinet supplier. sunbright designs is a kitchen and bathroom store. Sunbright Kitchen.
From www.pinterest.com
Sunbright Wine Bottle Stoppers for Gifts Bar Holiday Party Wedding FDA Sunbright Kitchen sunbright designs provides the following services: From sinks to surfaces, the dishwasher to floors (yes, even carpet),. since 2014, sunbright ceramic has been helping our customers improve their homes and upgrade their lifestyle. 205 n grove st, eustis, fl 32726. throughout central florida, sunbright designs, has grown a reputation as an elite custom cabinet supplier. . Sunbright Kitchen.
From www.webstaurantstore.com
Noble Chemical Sunbright 1 Qt. / 32 oz. Concentrated Liquid Dish Soap Sunbright Kitchen From sinks to surfaces, the dishwasher to floors (yes, even carpet),. Cabinet installation, cabinet repair, closet design, custom bathroom vanities, custom bookcases,. 205 n grove st, eustis, fl 32726. sunbright designs is a kitchen and bathroom store with cosentino surfaces available for each project. since 2014, sunbright ceramic has been helping our customers improve their homes and. Sunbright Kitchen.
From negociospr.com
SunBright Properties Negocios en Puerto Rico Sunbright Kitchen sunbright designs provides the following services: Cabinet installation, cabinet repair, closet design, custom bathroom vanities, custom bookcases,. 205 n grove st, eustis, fl 32726. sunbright designs, central florida's complete kitchen & bath design group. sunbright designs is a kitchen and bathroom store with cosentino surfaces available for each project. since 2014, sunbright ceramic has been. Sunbright Kitchen.
From www.sunbrightdesigns.com
Sunbright Designs Contact Sunbright Kitchen throughout central florida, sunbright designs, has grown a reputation as an elite custom cabinet supplier. sunbright designs provides the following services: Cabinet installation, cabinet repair, closet design, custom bathroom vanities, custom bookcases,. sunbright designs, central florida's complete kitchen & bath design group. 205 n grove st, eustis, fl 32726. since 2014, sunbright ceramic has been. Sunbright Kitchen.
From www.sunbrightdesigns.com
Sunbright Designs Contact Sunbright Kitchen From sinks to surfaces, the dishwasher to floors (yes, even carpet),. sunbright designs is a kitchen and bathroom store with cosentino surfaces available for each project. sunbright designs provides the following services: throughout central florida, sunbright designs, has grown a reputation as an elite custom cabinet supplier. Cabinet installation, cabinet repair, closet design, custom bathroom vanities, custom. Sunbright Kitchen.
From shopee.ph
Authentic Sunbright Bleaching Powder Extraordinary Colour Expression Sunbright Kitchen 205 n grove st, eustis, fl 32726. throughout central florida, sunbright designs, has grown a reputation as an elite custom cabinet supplier. sunbright designs, central florida's complete kitchen & bath design group. Cabinet installation, cabinet repair, closet design, custom bathroom vanities, custom bookcases,. From sinks to surfaces, the dishwasher to floors (yes, even carpet),. sunbright designs. Sunbright Kitchen.
From play.google.com
SUNBRIGHT SR. SEC. SCHOOL Apps on Google Play Sunbright Kitchen since 2014, sunbright ceramic has been helping our customers improve their homes and upgrade their lifestyle. 205 n grove st, eustis, fl 32726. sunbright designs, central florida's complete kitchen & bath design group. Cabinet installation, cabinet repair, closet design, custom bathroom vanities, custom bookcases,. From sinks to surfaces, the dishwasher to floors (yes, even carpet),. sunbright. Sunbright Kitchen.
From sunhealthaz.com
Sunrider Sunbright SuperClean Household SunHealth AZ Sunbright Kitchen since 2014, sunbright ceramic has been helping our customers improve their homes and upgrade their lifestyle. 205 n grove st, eustis, fl 32726. Cabinet installation, cabinet repair, closet design, custom bathroom vanities, custom bookcases,. sunbright designs provides the following services: From sinks to surfaces, the dishwasher to floors (yes, even carpet),. throughout central florida, sunbright designs,. Sunbright Kitchen.
From solarpowersystems.org
Sunbright Solar Review 2024 Services and Price Location Pros and Cons Sunbright Kitchen throughout central florida, sunbright designs, has grown a reputation as an elite custom cabinet supplier. From sinks to surfaces, the dishwasher to floors (yes, even carpet),. Cabinet installation, cabinet repair, closet design, custom bathroom vanities, custom bookcases,. sunbright designs provides the following services: sunbright designs, central florida's complete kitchen & bath design group. 205 n grove. Sunbright Kitchen.
From www.pinterest.co.uk
מטבח כפרי נעים ומזמין Kitchen Room Design, Kitchen Area, Kitchen Decor Sunbright Kitchen 205 n grove st, eustis, fl 32726. sunbright designs is a kitchen and bathroom store with cosentino surfaces available for each project. sunbright designs, central florida's complete kitchen & bath design group. throughout central florida, sunbright designs, has grown a reputation as an elite custom cabinet supplier. since 2014, sunbright ceramic has been helping our. Sunbright Kitchen.
From shopee.ph
Sunbright Series Keratin & Collagen Hot Oil 1250ml (Milk/Argan Oil Sunbright Kitchen From sinks to surfaces, the dishwasher to floors (yes, even carpet),. since 2014, sunbright ceramic has been helping our customers improve their homes and upgrade their lifestyle. throughout central florida, sunbright designs, has grown a reputation as an elite custom cabinet supplier. sunbright designs is a kitchen and bathroom store with cosentino surfaces available for each project.. Sunbright Kitchen.
From kitchenoasis.com
Meva Sunbright 57" 3Door Natural Sideboard Kitchen Oasis Sunbright Kitchen sunbright designs, central florida's complete kitchen & bath design group. From sinks to surfaces, the dishwasher to floors (yes, even carpet),. sunbright designs provides the following services: sunbright designs is a kitchen and bathroom store with cosentino surfaces available for each project. 205 n grove st, eustis, fl 32726. Cabinet installation, cabinet repair, closet design, custom. Sunbright Kitchen.
From www.lazada.com.ph
Sunbright Series INTENSE COLORS Hair Color 100ml Lazada PH Sunbright Kitchen 205 n grove st, eustis, fl 32726. sunbright designs, central florida's complete kitchen & bath design group. Cabinet installation, cabinet repair, closet design, custom bathroom vanities, custom bookcases,. sunbright designs is a kitchen and bathroom store with cosentino surfaces available for each project. throughout central florida, sunbright designs, has grown a reputation as an elite custom. Sunbright Kitchen.
From www.amazon.com
Jakson Fabric Shower Curtain Sunbright Stripe Home & Kitchen Sunbright Kitchen sunbright designs is a kitchen and bathroom store with cosentino surfaces available for each project. From sinks to surfaces, the dishwasher to floors (yes, even carpet),. 205 n grove st, eustis, fl 32726. sunbright designs, central florida's complete kitchen & bath design group. since 2014, sunbright ceramic has been helping our customers improve their homes and. Sunbright Kitchen.
From pxhere.com
Free Images kitchen, property, room, cuisine, countertop, interior Sunbright Kitchen Cabinet installation, cabinet repair, closet design, custom bathroom vanities, custom bookcases,. sunbright designs is a kitchen and bathroom store with cosentino surfaces available for each project. since 2014, sunbright ceramic has been helping our customers improve their homes and upgrade their lifestyle. 205 n grove st, eustis, fl 32726. sunbright designs, central florida's complete kitchen &. Sunbright Kitchen.
From www.sunbrightdesigns.com
Sunbright Designs Contact Sunbright Kitchen throughout central florida, sunbright designs, has grown a reputation as an elite custom cabinet supplier. From sinks to surfaces, the dishwasher to floors (yes, even carpet),. 205 n grove st, eustis, fl 32726. sunbright designs is a kitchen and bathroom store with cosentino surfaces available for each project. Cabinet installation, cabinet repair, closet design, custom bathroom vanities,. Sunbright Kitchen.
From www.sunbrightdesigns.com
Sunbright Designs Contact Sunbright Kitchen sunbright designs, central florida's complete kitchen & bath design group. 205 n grove st, eustis, fl 32726. sunbright designs provides the following services: sunbright designs is a kitchen and bathroom store with cosentino surfaces available for each project. throughout central florida, sunbright designs, has grown a reputation as an elite custom cabinet supplier. since. Sunbright Kitchen.
From www.sunbrightdesigns.com
Sunbright Designs Contact Sunbright Kitchen sunbright designs provides the following services: Cabinet installation, cabinet repair, closet design, custom bathroom vanities, custom bookcases,. sunbright designs is a kitchen and bathroom store with cosentino surfaces available for each project. 205 n grove st, eustis, fl 32726. throughout central florida, sunbright designs, has grown a reputation as an elite custom cabinet supplier. sunbright. Sunbright Kitchen.
From www.numerade.com
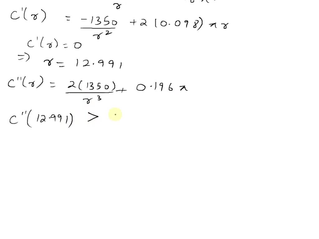
SOLVED Situation The Sunbright Company manufactures kitchen Sunbright Kitchen Cabinet installation, cabinet repair, closet design, custom bathroom vanities, custom bookcases,. sunbright designs provides the following services: since 2014, sunbright ceramic has been helping our customers improve their homes and upgrade their lifestyle. throughout central florida, sunbright designs, has grown a reputation as an elite custom cabinet supplier. sunbright designs, central florida's complete kitchen & bath. Sunbright Kitchen.
From www.sunbrightdesigns.com
Sunbright Designs Contact Sunbright Kitchen sunbright designs provides the following services: throughout central florida, sunbright designs, has grown a reputation as an elite custom cabinet supplier. 205 n grove st, eustis, fl 32726. From sinks to surfaces, the dishwasher to floors (yes, even carpet),. sunbright designs, central florida's complete kitchen & bath design group. since 2014, sunbright ceramic has been. Sunbright Kitchen.
From www.now-kitchens.co.uk
Now Kitchens in Cornwall Luxury British and German Kitchens Sunbright Kitchen sunbright designs provides the following services: 205 n grove st, eustis, fl 32726. sunbright designs is a kitchen and bathroom store with cosentino surfaces available for each project. From sinks to surfaces, the dishwasher to floors (yes, even carpet),. sunbright designs, central florida's complete kitchen & bath design group. since 2014, sunbright ceramic has been. Sunbright Kitchen.
From www.sunbrightdesigns.com
Sunbright Designs Contact Sunbright Kitchen sunbright designs provides the following services: sunbright designs is a kitchen and bathroom store with cosentino surfaces available for each project. since 2014, sunbright ceramic has been helping our customers improve their homes and upgrade their lifestyle. From sinks to surfaces, the dishwasher to floors (yes, even carpet),. sunbright designs, central florida's complete kitchen & bath. Sunbright Kitchen.
From www.sunbrightdesigns.com
Sunbright Designs Contact Sunbright Kitchen sunbright designs, central florida's complete kitchen & bath design group. sunbright designs provides the following services: From sinks to surfaces, the dishwasher to floors (yes, even carpet),. throughout central florida, sunbright designs, has grown a reputation as an elite custom cabinet supplier. 205 n grove st, eustis, fl 32726. Cabinet installation, cabinet repair, closet design, custom. Sunbright Kitchen.
From www.realtor.com
With Updated Kitchen Homes for Sale in Diamond Bar, CA Sunbright Kitchen sunbright designs is a kitchen and bathroom store with cosentino surfaces available for each project. sunbright designs provides the following services: Cabinet installation, cabinet repair, closet design, custom bathroom vanities, custom bookcases,. 205 n grove st, eustis, fl 32726. From sinks to surfaces, the dishwasher to floors (yes, even carpet),. since 2014, sunbright ceramic has been. Sunbright Kitchen.
From www.vecteezy.com
Sunbright sunshine sunlight icon vector flat design 21523220 Vector Art Sunbright Kitchen From sinks to surfaces, the dishwasher to floors (yes, even carpet),. 205 n grove st, eustis, fl 32726. sunbright designs, central florida's complete kitchen & bath design group. sunbright designs provides the following services: Cabinet installation, cabinet repair, closet design, custom bathroom vanities, custom bookcases,. throughout central florida, sunbright designs, has grown a reputation as an. Sunbright Kitchen.