What Does Latex Mean . It is not a word processor, but a tool. What is latex and how does it work? The meaning of latex is a milky usually white fluid that is produced by cells of various seed plants (as of the milkweed, spurge, and poppy families) and. Latex is a system for creating technical or scientific documents with a focus on content rather than appearance. Latex is a free software package created in 1985 by the american computer scientist leslie lamport as an addition to the tex. Unlike common word processors such as microsoft word or libreoffice writer,.
from tex.stackexchange.com
What is latex and how does it work? Unlike common word processors such as microsoft word or libreoffice writer,. Latex is a system for creating technical or scientific documents with a focus on content rather than appearance. Latex is a free software package created in 1985 by the american computer scientist leslie lamport as an addition to the tex. It is not a word processor, but a tool. The meaning of latex is a milky usually white fluid that is produced by cells of various seed plants (as of the milkweed, spurge, and poppy families) and.
symbols LaTeX code for "white square brackets" 〚 and 〛 TeX LaTeX
What Does Latex Mean Latex is a free software package created in 1985 by the american computer scientist leslie lamport as an addition to the tex. The meaning of latex is a milky usually white fluid that is produced by cells of various seed plants (as of the milkweed, spurge, and poppy families) and. Unlike common word processors such as microsoft word or libreoffice writer,. Latex is a system for creating technical or scientific documents with a focus on content rather than appearance. Latex is a free software package created in 1985 by the american computer scientist leslie lamport as an addition to the tex. It is not a word processor, but a tool. What is latex and how does it work?
From mathvault.ca
Product The Ultimate LaTeX Reference Guide Math Vault What Does Latex Mean Latex is a system for creating technical or scientific documents with a focus on content rather than appearance. The meaning of latex is a milky usually white fluid that is produced by cells of various seed plants (as of the milkweed, spurge, and poppy families) and. Unlike common word processors such as microsoft word or libreoffice writer,. It is not. What Does Latex Mean.
From www.slideserve.com
PPT Introduction to LaTeX PowerPoint Presentation, free download ID What Does Latex Mean The meaning of latex is a milky usually white fluid that is produced by cells of various seed plants (as of the milkweed, spurge, and poppy families) and. What is latex and how does it work? Unlike common word processors such as microsoft word or libreoffice writer,. Latex is a free software package created in 1985 by the american computer. What Does Latex Mean.
From www.ace-laboratories.com
What is Latex Made Of? Rubber & Latex Testing ACE What Does Latex Mean The meaning of latex is a milky usually white fluid that is produced by cells of various seed plants (as of the milkweed, spurge, and poppy families) and. Latex is a free software package created in 1985 by the american computer scientist leslie lamport as an addition to the tex. Latex is a system for creating technical or scientific documents. What Does Latex Mean.
From www.youtube.com
Latex Tutorial 7 How to use equation array in latex YouTube What Does Latex Mean The meaning of latex is a milky usually white fluid that is produced by cells of various seed plants (as of the milkweed, spurge, and poppy families) and. Unlike common word processors such as microsoft word or libreoffice writer,. What is latex and how does it work? Latex is a free software package created in 1985 by the american computer. What Does Latex Mean.
From www.slideserve.com
PPT LaTeX Intro PowerPoint Presentation, free download ID2716374 What Does Latex Mean It is not a word processor, but a tool. Latex is a free software package created in 1985 by the american computer scientist leslie lamport as an addition to the tex. Latex is a system for creating technical or scientific documents with a focus on content rather than appearance. What is latex and how does it work? The meaning of. What Does Latex Mean.
From www.youtube.com
Pronunciation of Latex Definition of Latex YouTube What Does Latex Mean Latex is a free software package created in 1985 by the american computer scientist leslie lamport as an addition to the tex. Latex is a system for creating technical or scientific documents with a focus on content rather than appearance. Unlike common word processors such as microsoft word or libreoffice writer,. What is latex and how does it work? The. What Does Latex Mean.
From criticalthinking.cloud
how to write a report with latex What Does Latex Mean Unlike common word processors such as microsoft word or libreoffice writer,. It is not a word processor, but a tool. The meaning of latex is a milky usually white fluid that is produced by cells of various seed plants (as of the milkweed, spurge, and poppy families) and. What is latex and how does it work? Latex is a system. What Does Latex Mean.
From hubpages.com
How To Wear And Care For Your Latex Clothing HubPages What Does Latex Mean Latex is a free software package created in 1985 by the american computer scientist leslie lamport as an addition to the tex. Latex is a system for creating technical or scientific documents with a focus on content rather than appearance. The meaning of latex is a milky usually white fluid that is produced by cells of various seed plants (as. What Does Latex Mean.
From www.youtube.com
Latex Meaning YouTube What Does Latex Mean What is latex and how does it work? It is not a word processor, but a tool. Unlike common word processors such as microsoft word or libreoffice writer,. Latex is a system for creating technical or scientific documents with a focus on content rather than appearance. The meaning of latex is a milky usually white fluid that is produced by. What Does Latex Mean.
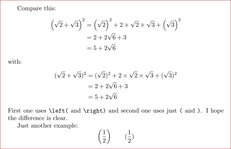
From tex.stackexchange.com
math mode What do the pieces of LaTeX, \left and \right, respectively What Does Latex Mean What is latex and how does it work? It is not a word processor, but a tool. Latex is a free software package created in 1985 by the american computer scientist leslie lamport as an addition to the tex. The meaning of latex is a milky usually white fluid that is produced by cells of various seed plants (as of. What Does Latex Mean.
From health.gov.capital
How does latex exposure occur? Health.Gov.Capital What Does Latex Mean It is not a word processor, but a tool. Latex is a free software package created in 1985 by the american computer scientist leslie lamport as an addition to the tex. Unlike common word processors such as microsoft word or libreoffice writer,. Latex is a system for creating technical or scientific documents with a focus on content rather than appearance.. What Does Latex Mean.
From mavink.com
Simbolos Em Latex What Does Latex Mean Latex is a free software package created in 1985 by the american computer scientist leslie lamport as an addition to the tex. It is not a word processor, but a tool. Latex is a system for creating technical or scientific documents with a focus on content rather than appearance. The meaning of latex is a milky usually white fluid that. What Does Latex Mean.
From mavink.com
Latex Equivalence Symbol What Does Latex Mean What is latex and how does it work? Latex is a free software package created in 1985 by the american computer scientist leslie lamport as an addition to the tex. The meaning of latex is a milky usually white fluid that is produced by cells of various seed plants (as of the milkweed, spurge, and poppy families) and. Unlike common. What Does Latex Mean.
From www.youtube.com
Wearing Latex For A Day Challenge LatexFashionTV YouTube What Does Latex Mean Latex is a free software package created in 1985 by the american computer scientist leslie lamport as an addition to the tex. Latex is a system for creating technical or scientific documents with a focus on content rather than appearance. It is not a word processor, but a tool. The meaning of latex is a milky usually white fluid that. What Does Latex Mean.
From www.youtube.com
Latex Meaning and How To Pronounce YouTube What Does Latex Mean It is not a word processor, but a tool. Unlike common word processors such as microsoft word or libreoffice writer,. The meaning of latex is a milky usually white fluid that is produced by cells of various seed plants (as of the milkweed, spurge, and poppy families) and. What is latex and how does it work? Latex is a system. What Does Latex Mean.
From 9to5science.com
[Solved] How do I find the meaning of latex 9to5Science What Does Latex Mean Unlike common word processors such as microsoft word or libreoffice writer,. What is latex and how does it work? The meaning of latex is a milky usually white fluid that is produced by cells of various seed plants (as of the milkweed, spurge, and poppy families) and. Latex is a free software package created in 1985 by the american computer. What Does Latex Mean.
From www.quorablog.com
Latex Uses, What is the command for the plusminus sign? What Does Latex Mean Latex is a system for creating technical or scientific documents with a focus on content rather than appearance. Latex is a free software package created in 1985 by the american computer scientist leslie lamport as an addition to the tex. Unlike common word processors such as microsoft word or libreoffice writer,. What is latex and how does it work? It. What Does Latex Mean.
From www.youtube.com
What is Natural Latex? YouTube What Does Latex Mean Latex is a system for creating technical or scientific documents with a focus on content rather than appearance. Unlike common word processors such as microsoft word or libreoffice writer,. What is latex and how does it work? Latex is a free software package created in 1985 by the american computer scientist leslie lamport as an addition to the tex. The. What Does Latex Mean.
From proofed.co.uk
What Is LaTeX? A Guide for the Perplexed Proofed’s Writing Tips What Does Latex Mean It is not a word processor, but a tool. Latex is a system for creating technical or scientific documents with a focus on content rather than appearance. The meaning of latex is a milky usually white fluid that is produced by cells of various seed plants (as of the milkweed, spurge, and poppy families) and. What is latex and how. What Does Latex Mean.
From morioh.com
LaTex Tutorial For Beginners What Does Latex Mean It is not a word processor, but a tool. Latex is a free software package created in 1985 by the american computer scientist leslie lamport as an addition to the tex. What is latex and how does it work? Latex is a system for creating technical or scientific documents with a focus on content rather than appearance. Unlike common word. What Does Latex Mean.
From cangardcare.com
What Is the Difference Between Latex and Nitrile Gloves? CanGardCare What Does Latex Mean It is not a word processor, but a tool. The meaning of latex is a milky usually white fluid that is produced by cells of various seed plants (as of the milkweed, spurge, and poppy families) and. Latex is a free software package created in 1985 by the american computer scientist leslie lamport as an addition to the tex. What. What Does Latex Mean.
From docs.fileformat.com
LATEX 라텍스 문서 파일 What Does Latex Mean Latex is a free software package created in 1985 by the american computer scientist leslie lamport as an addition to the tex. It is not a word processor, but a tool. The meaning of latex is a milky usually white fluid that is produced by cells of various seed plants (as of the milkweed, spurge, and poppy families) and. What. What Does Latex Mean.
From scrolller.com
Latex photoshoot, do I look mean or what? 😈😜 Scrolller What Does Latex Mean Unlike common word processors such as microsoft word or libreoffice writer,. Latex is a system for creating technical or scientific documents with a focus on content rather than appearance. The meaning of latex is a milky usually white fluid that is produced by cells of various seed plants (as of the milkweed, spurge, and poppy families) and. What is latex. What Does Latex Mean.
From mavink.com
Latex Symbols Fonts What Does Latex Mean What is latex and how does it work? The meaning of latex is a milky usually white fluid that is produced by cells of various seed plants (as of the milkweed, spurge, and poppy families) and. It is not a word processor, but a tool. Latex is a system for creating technical or scientific documents with a focus on content. What Does Latex Mean.
From telegra.ph
Latex Definition Telegraph What Does Latex Mean The meaning of latex is a milky usually white fluid that is produced by cells of various seed plants (as of the milkweed, spurge, and poppy families) and. Latex is a system for creating technical or scientific documents with a focus on content rather than appearance. What is latex and how does it work? Unlike common word processors such as. What Does Latex Mean.
From www.makeuseof.com
What Is the LaTeX Document Format and How to Use It What Does Latex Mean The meaning of latex is a milky usually white fluid that is produced by cells of various seed plants (as of the milkweed, spurge, and poppy families) and. What is latex and how does it work? Latex is a free software package created in 1985 by the american computer scientist leslie lamport as an addition to the tex. Unlike common. What Does Latex Mean.
From blog.orvium.io
Why Should I Use LaTeX over Word for Writing My Research? Orvium What Does Latex Mean Latex is a system for creating technical or scientific documents with a focus on content rather than appearance. Unlike common word processors such as microsoft word or libreoffice writer,. What is latex and how does it work? It is not a word processor, but a tool. The meaning of latex is a milky usually white fluid that is produced by. What Does Latex Mean.
From dxofrocqi.blob.core.windows.net
Definition Sign Latex at Matthew Tillman blog What Does Latex Mean Unlike common word processors such as microsoft word or libreoffice writer,. The meaning of latex is a milky usually white fluid that is produced by cells of various seed plants (as of the milkweed, spurge, and poppy families) and. What is latex and how does it work? Latex is a free software package created in 1985 by the american computer. What Does Latex Mean.
From gcelt.org
Latex Clothing The Sensational Experience of Second Skin Fashion GCELT What Does Latex Mean It is not a word processor, but a tool. Latex is a free software package created in 1985 by the american computer scientist leslie lamport as an addition to the tex. Latex is a system for creating technical or scientific documents with a focus on content rather than appearance. The meaning of latex is a milky usually white fluid that. What Does Latex Mean.
From www.naturalmattressfinder.com
What Is Latex Made Of? What Does Latex Mean Unlike common word processors such as microsoft word or libreoffice writer,. What is latex and how does it work? The meaning of latex is a milky usually white fluid that is produced by cells of various seed plants (as of the milkweed, spurge, and poppy families) and. It is not a word processor, but a tool. Latex is a free. What Does Latex Mean.
From www.wearlatex.com
An Introduction to Latex What Does Latex Mean What is latex and how does it work? Latex is a free software package created in 1985 by the american computer scientist leslie lamport as an addition to the tex. Latex is a system for creating technical or scientific documents with a focus on content rather than appearance. It is not a word processor, but a tool. The meaning of. What Does Latex Mean.
From www.latex247.co.uk
Tight Side Latex Official Launch Latex24/7 What Does Latex Mean The meaning of latex is a milky usually white fluid that is produced by cells of various seed plants (as of the milkweed, spurge, and poppy families) and. It is not a word processor, but a tool. Latex is a free software package created in 1985 by the american computer scientist leslie lamport as an addition to the tex. Unlike. What Does Latex Mean.
From naturallynestled.com
How the Latex in Naturally Nestled Products is Farmed Naturally Nestled What Does Latex Mean Unlike common word processors such as microsoft word or libreoffice writer,. Latex is a free software package created in 1985 by the american computer scientist leslie lamport as an addition to the tex. The meaning of latex is a milky usually white fluid that is produced by cells of various seed plants (as of the milkweed, spurge, and poppy families). What Does Latex Mean.
From tex.stackexchange.com
symbols LaTeX code for "white square brackets" 〚 and 〛 TeX LaTeX What Does Latex Mean Latex is a system for creating technical or scientific documents with a focus on content rather than appearance. Unlike common word processors such as microsoft word or libreoffice writer,. It is not a word processor, but a tool. Latex is a free software package created in 1985 by the american computer scientist leslie lamport as an addition to the tex.. What Does Latex Mean.
From www.youtube.com
How To Pronounce Latex YouTube What Does Latex Mean The meaning of latex is a milky usually white fluid that is produced by cells of various seed plants (as of the milkweed, spurge, and poppy families) and. Latex is a free software package created in 1985 by the american computer scientist leslie lamport as an addition to the tex. It is not a word processor, but a tool. What. What Does Latex Mean.