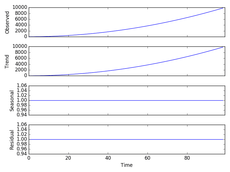
Seasonal_Decompose Extrapolate Trend . I want to decompose the first time series divida in a way that i can separate its trend from its seasonal and residual components. Result = seasonal_decompose (x, model=model, filt=filt, period=period, two_sided=two_sided, extrapolate_trend=extrapolate_trend) For example, the snippet below shows how to decompose a series into trend, seasonal, and residual. If true (default), a centered moving average is computed using the filt. The seasonal_decompose method isn't technically an stl (seasonal trend with lowess) decomposition because it doesn't use the loess. [docs] def seasonal_decompose(x, model=additive, filt=none, period=none, two_sided=true, extrapolate_trend=0,): I found an answer here, and am trying to use the following code:
from www.researchgate.net
If true (default), a centered moving average is computed using the filt. The seasonal_decompose method isn't technically an stl (seasonal trend with lowess) decomposition because it doesn't use the loess. I found an answer here, and am trying to use the following code: For example, the snippet below shows how to decompose a series into trend, seasonal, and residual. [docs] def seasonal_decompose(x, model=additive, filt=none, period=none, two_sided=true, extrapolate_trend=0,): I want to decompose the first time series divida in a way that i can separate its trend from its seasonal and residual components. Result = seasonal_decompose (x, model=model, filt=filt, period=period, two_sided=two_sided, extrapolate_trend=extrapolate_trend)
Trend component from seasonal additive Download Scientific
Seasonal_Decompose Extrapolate Trend If true (default), a centered moving average is computed using the filt. [docs] def seasonal_decompose(x, model=additive, filt=none, period=none, two_sided=true, extrapolate_trend=0,): Result = seasonal_decompose (x, model=model, filt=filt, period=period, two_sided=two_sided, extrapolate_trend=extrapolate_trend) For example, the snippet below shows how to decompose a series into trend, seasonal, and residual. I want to decompose the first time series divida in a way that i can separate its trend from its seasonal and residual components. I found an answer here, and am trying to use the following code: The seasonal_decompose method isn't technically an stl (seasonal trend with lowess) decomposition because it doesn't use the loess. If true (default), a centered moving average is computed using the filt.
From www.researchgate.net
Trend component from seasonal additive Download Scientific Seasonal_Decompose Extrapolate Trend Result = seasonal_decompose (x, model=model, filt=filt, period=period, two_sided=two_sided, extrapolate_trend=extrapolate_trend) If true (default), a centered moving average is computed using the filt. The seasonal_decompose method isn't technically an stl (seasonal trend with lowess) decomposition because it doesn't use the loess. I want to decompose the first time series divida in a way that i can separate its trend from its seasonal. Seasonal_Decompose Extrapolate Trend.
From www.researchgate.net
Seasonaltrend (Trend, Seasonal and Remainder) of the Seasonal_Decompose Extrapolate Trend The seasonal_decompose method isn't technically an stl (seasonal trend with lowess) decomposition because it doesn't use the loess. Result = seasonal_decompose (x, model=model, filt=filt, period=period, two_sided=two_sided, extrapolate_trend=extrapolate_trend) [docs] def seasonal_decompose(x, model=additive, filt=none, period=none, two_sided=true, extrapolate_trend=0,): I found an answer here, and am trying to use the following code: I want to decompose the first time series divida in a way. Seasonal_Decompose Extrapolate Trend.
From machinelearningmastery.com
How to Time Series Data into Trend and Seasonality Seasonal_Decompose Extrapolate Trend [docs] def seasonal_decompose(x, model=additive, filt=none, period=none, two_sided=true, extrapolate_trend=0,): I found an answer here, and am trying to use the following code: Result = seasonal_decompose (x, model=model, filt=filt, period=period, two_sided=two_sided, extrapolate_trend=extrapolate_trend) For example, the snippet below shows how to decompose a series into trend, seasonal, and residual. If true (default), a centered moving average is computed using the filt. The seasonal_decompose. Seasonal_Decompose Extrapolate Trend.
From alkaline-ml.com
Seasonal of your timeseries — pmdarima 2.0.4 documentation Seasonal_Decompose Extrapolate Trend [docs] def seasonal_decompose(x, model=additive, filt=none, period=none, two_sided=true, extrapolate_trend=0,): If true (default), a centered moving average is computed using the filt. The seasonal_decompose method isn't technically an stl (seasonal trend with lowess) decomposition because it doesn't use the loess. I found an answer here, and am trying to use the following code: Result = seasonal_decompose (x, model=model, filt=filt, period=period, two_sided=two_sided, extrapolate_trend=extrapolate_trend). Seasonal_Decompose Extrapolate Trend.
From www.cbcity.de
Motorblog » TimeSeries in Python with statsmodels and Pandas Seasonal_Decompose Extrapolate Trend Result = seasonal_decompose (x, model=model, filt=filt, period=period, two_sided=two_sided, extrapolate_trend=extrapolate_trend) If true (default), a centered moving average is computed using the filt. [docs] def seasonal_decompose(x, model=additive, filt=none, period=none, two_sided=true, extrapolate_trend=0,): For example, the snippet below shows how to decompose a series into trend, seasonal, and residual. I want to decompose the first time series divida in a way that i can. Seasonal_Decompose Extrapolate Trend.
From www.encora.com
A Visual Guide to Time Series Analysis Seasonal_Decompose Extrapolate Trend [docs] def seasonal_decompose(x, model=additive, filt=none, period=none, two_sided=true, extrapolate_trend=0,): I found an answer here, and am trying to use the following code: The seasonal_decompose method isn't technically an stl (seasonal trend with lowess) decomposition because it doesn't use the loess. If true (default), a centered moving average is computed using the filt. I want to decompose the first time series divida. Seasonal_Decompose Extrapolate Trend.
From www.researchgate.net
Seasonal and trend using loess (STL) of daily change in Seasonal_Decompose Extrapolate Trend The seasonal_decompose method isn't technically an stl (seasonal trend with lowess) decomposition because it doesn't use the loess. For example, the snippet below shows how to decompose a series into trend, seasonal, and residual. If true (default), a centered moving average is computed using the filt. [docs] def seasonal_decompose(x, model=additive, filt=none, period=none, two_sided=true, extrapolate_trend=0,): I found an answer here, and. Seasonal_Decompose Extrapolate Trend.
From www.statsmodels.org
SeasonalTrend using LOESS (STL) statsmodels 0.14.4 Seasonal_Decompose Extrapolate Trend I found an answer here, and am trying to use the following code: I want to decompose the first time series divida in a way that i can separate its trend from its seasonal and residual components. Result = seasonal_decompose (x, model=model, filt=filt, period=period, two_sided=two_sided, extrapolate_trend=extrapolate_trend) The seasonal_decompose method isn't technically an stl (seasonal trend with lowess) decomposition because it. Seasonal_Decompose Extrapolate Trend.
From www.researchgate.net
The seasonal Download Scientific Diagram Seasonal_Decompose Extrapolate Trend [docs] def seasonal_decompose(x, model=additive, filt=none, period=none, two_sided=true, extrapolate_trend=0,): I want to decompose the first time series divida in a way that i can separate its trend from its seasonal and residual components. If true (default), a centered moving average is computed using the filt. For example, the snippet below shows how to decompose a series into trend, seasonal, and residual.. Seasonal_Decompose Extrapolate Trend.
From openforecast.org
3.2 Classical Seasonal Forecasting and Analytics with ADAM Seasonal_Decompose Extrapolate Trend For example, the snippet below shows how to decompose a series into trend, seasonal, and residual. [docs] def seasonal_decompose(x, model=additive, filt=none, period=none, two_sided=true, extrapolate_trend=0,): Result = seasonal_decompose (x, model=model, filt=filt, period=period, two_sided=two_sided, extrapolate_trend=extrapolate_trend) I want to decompose the first time series divida in a way that i can separate its trend from its seasonal and residual components. I found an. Seasonal_Decompose Extrapolate Trend.
From machinelearningmastery.com
How to Time Series Data into Trend and Seasonality Seasonal_Decompose Extrapolate Trend The seasonal_decompose method isn't technically an stl (seasonal trend with lowess) decomposition because it doesn't use the loess. If true (default), a centered moving average is computed using the filt. [docs] def seasonal_decompose(x, model=additive, filt=none, period=none, two_sided=true, extrapolate_trend=0,): I found an answer here, and am trying to use the following code: For example, the snippet below shows how to decompose. Seasonal_Decompose Extrapolate Trend.
From copyprogramming.com
Seasonal in python Seasonal_Decompose Extrapolate Trend The seasonal_decompose method isn't technically an stl (seasonal trend with lowess) decomposition because it doesn't use the loess. For example, the snippet below shows how to decompose a series into trend, seasonal, and residual. I found an answer here, and am trying to use the following code: If true (default), a centered moving average is computed using the filt. Result. Seasonal_Decompose Extrapolate Trend.
From quantdare.com
Using to improve time series prediction Quantdare Seasonal_Decompose Extrapolate Trend I found an answer here, and am trying to use the following code: I want to decompose the first time series divida in a way that i can separate its trend from its seasonal and residual components. [docs] def seasonal_decompose(x, model=additive, filt=none, period=none, two_sided=true, extrapolate_trend=0,): For example, the snippet below shows how to decompose a series into trend, seasonal, and. Seasonal_Decompose Extrapolate Trend.
From chart-studio.plotly.com
Seasonal line chart made by Ibobriakov plotly Seasonal_Decompose Extrapolate Trend Result = seasonal_decompose (x, model=model, filt=filt, period=period, two_sided=two_sided, extrapolate_trend=extrapolate_trend) If true (default), a centered moving average is computed using the filt. [docs] def seasonal_decompose(x, model=additive, filt=none, period=none, two_sided=true, extrapolate_trend=0,): I found an answer here, and am trying to use the following code: I want to decompose the first time series divida in a way that i can separate its trend. Seasonal_Decompose Extrapolate Trend.
From robjhyndman.com
Seasonal of short time series Rob J Hyndman Seasonal_Decompose Extrapolate Trend I found an answer here, and am trying to use the following code: The seasonal_decompose method isn't technically an stl (seasonal trend with lowess) decomposition because it doesn't use the loess. I want to decompose the first time series divida in a way that i can separate its trend from its seasonal and residual components. Result = seasonal_decompose (x, model=model,. Seasonal_Decompose Extrapolate Trend.
From www.youtube.com
Time Series in Python Seasonal and Trend Component Seasonal_Decompose Extrapolate Trend The seasonal_decompose method isn't technically an stl (seasonal trend with lowess) decomposition because it doesn't use the loess. I found an answer here, and am trying to use the following code: Result = seasonal_decompose (x, model=model, filt=filt, period=period, two_sided=two_sided, extrapolate_trend=extrapolate_trend) I want to decompose the first time series divida in a way that i can separate its trend from its. Seasonal_Decompose Extrapolate Trend.
From www.researchgate.net
Seasonaltrend analysis of the monthly average rainfall Seasonal_Decompose Extrapolate Trend If true (default), a centered moving average is computed using the filt. I want to decompose the first time series divida in a way that i can separate its trend from its seasonal and residual components. For example, the snippet below shows how to decompose a series into trend, seasonal, and residual. [docs] def seasonal_decompose(x, model=additive, filt=none, period=none, two_sided=true, extrapolate_trend=0,):. Seasonal_Decompose Extrapolate Trend.
From gist.github.com
A nicer seasonal chart using plotly. · GitHub Seasonal_Decompose Extrapolate Trend I found an answer here, and am trying to use the following code: If true (default), a centered moving average is computed using the filt. For example, the snippet below shows how to decompose a series into trend, seasonal, and residual. I want to decompose the first time series divida in a way that i can separate its trend from. Seasonal_Decompose Extrapolate Trend.
From towardsdatascience.com
What is time series and how does it work? by Sachin Seasonal_Decompose Extrapolate Trend I want to decompose the first time series divida in a way that i can separate its trend from its seasonal and residual components. For example, the snippet below shows how to decompose a series into trend, seasonal, and residual. Result = seasonal_decompose (x, model=model, filt=filt, period=period, two_sided=two_sided, extrapolate_trend=extrapolate_trend) [docs] def seasonal_decompose(x, model=additive, filt=none, period=none, two_sided=true, extrapolate_trend=0,): The seasonal_decompose method. Seasonal_Decompose Extrapolate Trend.
From datascience.stackexchange.com
statsmodels Time series Why does this data have seasonality on Seasonal_Decompose Extrapolate Trend [docs] def seasonal_decompose(x, model=additive, filt=none, period=none, two_sided=true, extrapolate_trend=0,): I found an answer here, and am trying to use the following code: For example, the snippet below shows how to decompose a series into trend, seasonal, and residual. The seasonal_decompose method isn't technically an stl (seasonal trend with lowess) decomposition because it doesn't use the loess. If true (default), a centered. Seasonal_Decompose Extrapolate Trend.
From machinelearningmastery.com
How to Time Series Data into Trend and Seasonality Seasonal_Decompose Extrapolate Trend If true (default), a centered moving average is computed using the filt. Result = seasonal_decompose (x, model=model, filt=filt, period=period, two_sided=two_sided, extrapolate_trend=extrapolate_trend) For example, the snippet below shows how to decompose a series into trend, seasonal, and residual. I want to decompose the first time series divida in a way that i can separate its trend from its seasonal and residual. Seasonal_Decompose Extrapolate Trend.
From www.researchgate.net
Trend component from seasonal additive Download Scientific Seasonal_Decompose Extrapolate Trend For example, the snippet below shows how to decompose a series into trend, seasonal, and residual. If true (default), a centered moving average is computed using the filt. I found an answer here, and am trying to use the following code: The seasonal_decompose method isn't technically an stl (seasonal trend with lowess) decomposition because it doesn't use the loess. I. Seasonal_Decompose Extrapolate Trend.
From www.wekaleamstudios.co.uk
Seasonal Trend in R « Software for Exploratory Data Seasonal_Decompose Extrapolate Trend The seasonal_decompose method isn't technically an stl (seasonal trend with lowess) decomposition because it doesn't use the loess. For example, the snippet below shows how to decompose a series into trend, seasonal, and residual. I want to decompose the first time series divida in a way that i can separate its trend from its seasonal and residual components. If true. Seasonal_Decompose Extrapolate Trend.
From mins.space
Forecasting through Seasonal_Decompose Extrapolate Trend For example, the snippet below shows how to decompose a series into trend, seasonal, and residual. Result = seasonal_decompose (x, model=model, filt=filt, period=period, two_sided=two_sided, extrapolate_trend=extrapolate_trend) I want to decompose the first time series divida in a way that i can separate its trend from its seasonal and residual components. If true (default), a centered moving average is computed using the. Seasonal_Decompose Extrapolate Trend.
From alkaline-ml.com
Seasonal of your timeseries — pmdarima 1.5.3 documentation Seasonal_Decompose Extrapolate Trend The seasonal_decompose method isn't technically an stl (seasonal trend with lowess) decomposition because it doesn't use the loess. Result = seasonal_decompose (x, model=model, filt=filt, period=period, two_sided=two_sided, extrapolate_trend=extrapolate_trend) I want to decompose the first time series divida in a way that i can separate its trend from its seasonal and residual components. For example, the snippet below shows how to decompose. Seasonal_Decompose Extrapolate Trend.
From pkg.robjhyndman.com
Extract components from a time series — seasonal • forecast Seasonal_Decompose Extrapolate Trend The seasonal_decompose method isn't technically an stl (seasonal trend with lowess) decomposition because it doesn't use the loess. Result = seasonal_decompose (x, model=model, filt=filt, period=period, two_sided=two_sided, extrapolate_trend=extrapolate_trend) I want to decompose the first time series divida in a way that i can separate its trend from its seasonal and residual components. [docs] def seasonal_decompose(x, model=additive, filt=none, period=none, two_sided=true, extrapolate_trend=0,): I. Seasonal_Decompose Extrapolate Trend.
From www.researchgate.net
Seasonal and trend using loess (STL) of daily returns in Seasonal_Decompose Extrapolate Trend The seasonal_decompose method isn't technically an stl (seasonal trend with lowess) decomposition because it doesn't use the loess. I want to decompose the first time series divida in a way that i can separate its trend from its seasonal and residual components. [docs] def seasonal_decompose(x, model=additive, filt=none, period=none, two_sided=true, extrapolate_trend=0,): I found an answer here, and am trying to use. Seasonal_Decompose Extrapolate Trend.
From www.statsmodels.org
SeasonalTrend using LOESS (STL) — statsmodels Seasonal_Decompose Extrapolate Trend If true (default), a centered moving average is computed using the filt. [docs] def seasonal_decompose(x, model=additive, filt=none, period=none, two_sided=true, extrapolate_trend=0,): For example, the snippet below shows how to decompose a series into trend, seasonal, and residual. I found an answer here, and am trying to use the following code: Result = seasonal_decompose (x, model=model, filt=filt, period=period, two_sided=two_sided, extrapolate_trend=extrapolate_trend) The seasonal_decompose. Seasonal_Decompose Extrapolate Trend.
From www.researchgate.net
Example illustrating the trend, seasonal, and residual components of a Seasonal_Decompose Extrapolate Trend For example, the snippet below shows how to decompose a series into trend, seasonal, and residual. Result = seasonal_decompose (x, model=model, filt=filt, period=period, two_sided=two_sided, extrapolate_trend=extrapolate_trend) [docs] def seasonal_decompose(x, model=additive, filt=none, period=none, two_sided=true, extrapolate_trend=0,): I want to decompose the first time series divida in a way that i can separate its trend from its seasonal and residual components. The seasonal_decompose method. Seasonal_Decompose Extrapolate Trend.
From openforecast.org
3.2 Classical Seasonal Forecasting and Analytics with ADAM Seasonal_Decompose Extrapolate Trend Result = seasonal_decompose (x, model=model, filt=filt, period=period, two_sided=two_sided, extrapolate_trend=extrapolate_trend) I found an answer here, and am trying to use the following code: For example, the snippet below shows how to decompose a series into trend, seasonal, and residual. If true (default), a centered moving average is computed using the filt. The seasonal_decompose method isn't technically an stl (seasonal trend with. Seasonal_Decompose Extrapolate Trend.
From machinelearningmastery.com
How to Time Series Data into Trend and Seasonality Seasonal_Decompose Extrapolate Trend The seasonal_decompose method isn't technically an stl (seasonal trend with lowess) decomposition because it doesn't use the loess. I want to decompose the first time series divida in a way that i can separate its trend from its seasonal and residual components. For example, the snippet below shows how to decompose a series into trend, seasonal, and residual. I found. Seasonal_Decompose Extrapolate Trend.
From stats.stackexchange.com
time series Seasonal Interpretation Cross Validated Seasonal_Decompose Extrapolate Trend I found an answer here, and am trying to use the following code: For example, the snippet below shows how to decompose a series into trend, seasonal, and residual. [docs] def seasonal_decompose(x, model=additive, filt=none, period=none, two_sided=true, extrapolate_trend=0,): The seasonal_decompose method isn't technically an stl (seasonal trend with lowess) decomposition because it doesn't use the loess. Result = seasonal_decompose (x, model=model,. Seasonal_Decompose Extrapolate Trend.
From blog.csdn.net
statsmodels 时间序列分解_statsmodels.tsa.seasonalCSDN博客 Seasonal_Decompose Extrapolate Trend I found an answer here, and am trying to use the following code: [docs] def seasonal_decompose(x, model=additive, filt=none, period=none, two_sided=true, extrapolate_trend=0,): I want to decompose the first time series divida in a way that i can separate its trend from its seasonal and residual components. If true (default), a centered moving average is computed using the filt. Result = seasonal_decompose. Seasonal_Decompose Extrapolate Trend.
From wandb.ai
A Gentle Introduction to Time Series Analysis & Forecasting Weights Seasonal_Decompose Extrapolate Trend I want to decompose the first time series divida in a way that i can separate its trend from its seasonal and residual components. If true (default), a centered moving average is computed using the filt. For example, the snippet below shows how to decompose a series into trend, seasonal, and residual. I found an answer here, and am trying. Seasonal_Decompose Extrapolate Trend.
From zhuanlan.zhihu.com
时间序列分解1 知乎 Seasonal_Decompose Extrapolate Trend [docs] def seasonal_decompose(x, model=additive, filt=none, period=none, two_sided=true, extrapolate_trend=0,): I found an answer here, and am trying to use the following code: If true (default), a centered moving average is computed using the filt. The seasonal_decompose method isn't technically an stl (seasonal trend with lowess) decomposition because it doesn't use the loess. I want to decompose the first time series divida. Seasonal_Decompose Extrapolate Trend.