What Is A Pitcher And A Catcher . they set the game’s rhythm, strategize with catchers, manage different pitch types, and respond to batters’ weaknesses. in baseball, the pitcher is the player who throws (pitches) the baseball from the pitcher's mound toward the catcher to begin each play, with the goal of. the pitcher is responsible for delivering the ball to the baseball catcher with the aim of preventing the opposing team’s hitters from. term used by homosexual men to ask other men whether they are a top or a bottom during sexual. Pitchers take their position on the pitching mound, which is located in the center of the infield. Here, the pitcher begins every. Until a batter hits the ball, the game is a duel between the pitcher (and catcher) and the.
from protips.dickssportinggoods.com
the pitcher is responsible for delivering the ball to the baseball catcher with the aim of preventing the opposing team’s hitters from. they set the game’s rhythm, strategize with catchers, manage different pitch types, and respond to batters’ weaknesses. Until a batter hits the ball, the game is a duel between the pitcher (and catcher) and the. Pitchers take their position on the pitching mound, which is located in the center of the infield. Here, the pitcher begins every. term used by homosexual men to ask other men whether they are a top or a bottom during sexual. in baseball, the pitcher is the player who throws (pitches) the baseball from the pitcher's mound toward the catcher to begin each play, with the goal of.
Choosing the Right Softball Bat PRO TIPS By DICK'S Sporting Goods
What Is A Pitcher And A Catcher Pitchers take their position on the pitching mound, which is located in the center of the infield. they set the game’s rhythm, strategize with catchers, manage different pitch types, and respond to batters’ weaknesses. term used by homosexual men to ask other men whether they are a top or a bottom during sexual. in baseball, the pitcher is the player who throws (pitches) the baseball from the pitcher's mound toward the catcher to begin each play, with the goal of. Pitchers take their position on the pitching mound, which is located in the center of the infield. Until a batter hits the ball, the game is a duel between the pitcher (and catcher) and the. Here, the pitcher begins every. the pitcher is responsible for delivering the ball to the baseball catcher with the aim of preventing the opposing team’s hitters from.
From pxhere.com
Free Images action, playing, baseball field, pitch, activity, batter What Is A Pitcher And A Catcher Until a batter hits the ball, the game is a duel between the pitcher (and catcher) and the. the pitcher is responsible for delivering the ball to the baseball catcher with the aim of preventing the opposing team’s hitters from. term used by homosexual men to ask other men whether they are a top or a bottom during. What Is A Pitcher And A Catcher.
From www.alamy.com
Baseball pitcher throwing ball to batter watched by Umpire and Stock What Is A Pitcher And A Catcher the pitcher is responsible for delivering the ball to the baseball catcher with the aim of preventing the opposing team’s hitters from. Pitchers take their position on the pitching mound, which is located in the center of the infield. in baseball, the pitcher is the player who throws (pitches) the baseball from the pitcher's mound toward the catcher. What Is A Pitcher And A Catcher.
From www.newsday.com
MLB gives OK to electronic pitch calling Newsday What Is A Pitcher And A Catcher term used by homosexual men to ask other men whether they are a top or a bottom during sexual. the pitcher is responsible for delivering the ball to the baseball catcher with the aim of preventing the opposing team’s hitters from. in baseball, the pitcher is the player who throws (pitches) the baseball from the pitcher's mound. What Is A Pitcher And A Catcher.
From www.theartofcoachingsoftball.com
Creating trust between your pitcher and catcher The Art of Coaching What Is A Pitcher And A Catcher the pitcher is responsible for delivering the ball to the baseball catcher with the aim of preventing the opposing team’s hitters from. in baseball, the pitcher is the player who throws (pitches) the baseball from the pitcher's mound toward the catcher to begin each play, with the goal of. they set the game’s rhythm, strategize with catchers,. What Is A Pitcher And A Catcher.
From www.zusammenspiel-teamevent.de
Mineral Helm Inhaber baseball pitcher catcher Geldbetrag Unvereinbar What Is A Pitcher And A Catcher term used by homosexual men to ask other men whether they are a top or a bottom during sexual. in baseball, the pitcher is the player who throws (pitches) the baseball from the pitcher's mound toward the catcher to begin each play, with the goal of. Here, the pitcher begins every. the pitcher is responsible for delivering. What Is A Pitcher And A Catcher.
From www.zusammenspiel-teamevent.de
Mineral Helm Inhaber baseball pitcher catcher Geldbetrag Unvereinbar What Is A Pitcher And A Catcher Here, the pitcher begins every. the pitcher is responsible for delivering the ball to the baseball catcher with the aim of preventing the opposing team’s hitters from. Pitchers take their position on the pitching mound, which is located in the center of the infield. term used by homosexual men to ask other men whether they are a top. What Is A Pitcher And A Catcher.
From quotesgram.com
Pitcher Catcher Quotes Softball. QuotesGram What Is A Pitcher And A Catcher term used by homosexual men to ask other men whether they are a top or a bottom during sexual. they set the game’s rhythm, strategize with catchers, manage different pitch types, and respond to batters’ weaknesses. in baseball, the pitcher is the player who throws (pitches) the baseball from the pitcher's mound toward the catcher to begin. What Is A Pitcher And A Catcher.
From protips.dickssportinggoods.com
The Benefits of Practicing with a Batting Tee PRO TIPS by DICK'S What Is A Pitcher And A Catcher in baseball, the pitcher is the player who throws (pitches) the baseball from the pitcher's mound toward the catcher to begin each play, with the goal of. the pitcher is responsible for delivering the ball to the baseball catcher with the aim of preventing the opposing team’s hitters from. Pitchers take their position on the pitching mound, which. What Is A Pitcher And A Catcher.
From www.theartofcoachingsoftball.com
The importance of the pitcher / catcher relationship The Art of What Is A Pitcher And A Catcher in baseball, the pitcher is the player who throws (pitches) the baseball from the pitcher's mound toward the catcher to begin each play, with the goal of. term used by homosexual men to ask other men whether they are a top or a bottom during sexual. they set the game’s rhythm, strategize with catchers, manage different pitch. What Is A Pitcher And A Catcher.
From www.pinterest.com
Baseball Pitcher 8x10 Poster Print Baseball pitcher, Baseball quotes What Is A Pitcher And A Catcher term used by homosexual men to ask other men whether they are a top or a bottom during sexual. Here, the pitcher begins every. the pitcher is responsible for delivering the ball to the baseball catcher with the aim of preventing the opposing team’s hitters from. in baseball, the pitcher is the player who throws (pitches) the. What Is A Pitcher And A Catcher.
From photocontest.smithsonianmag.com
Catcher and pitcher Smithsonian Photo Contest Smithsonian Magazine What Is A Pitcher And A Catcher term used by homosexual men to ask other men whether they are a top or a bottom during sexual. Here, the pitcher begins every. they set the game’s rhythm, strategize with catchers, manage different pitch types, and respond to batters’ weaknesses. Pitchers take their position on the pitching mound, which is located in the center of the infield.. What Is A Pitcher And A Catcher.
From www.huffingtonpost.com
Rob Johnson vs. Paco Rodriguez Cardinals Catcher Pitches To Dodgers What Is A Pitcher And A Catcher Here, the pitcher begins every. Pitchers take their position on the pitching mound, which is located in the center of the infield. term used by homosexual men to ask other men whether they are a top or a bottom during sexual. in baseball, the pitcher is the player who throws (pitches) the baseball from the pitcher's mound toward. What Is A Pitcher And A Catcher.
From www.youtube.com
Catcher and pitcher communication and paranoia, a breakdown YouTube What Is A Pitcher And A Catcher Here, the pitcher begins every. the pitcher is responsible for delivering the ball to the baseball catcher with the aim of preventing the opposing team’s hitters from. they set the game’s rhythm, strategize with catchers, manage different pitch types, and respond to batters’ weaknesses. term used by homosexual men to ask other men whether they are a. What Is A Pitcher And A Catcher.
From thecontentauthority.com
Pitcher vs Catcher When To Use Each One? What To Consider What Is A Pitcher And A Catcher Until a batter hits the ball, the game is a duel between the pitcher (and catcher) and the. in baseball, the pitcher is the player who throws (pitches) the baseball from the pitcher's mound toward the catcher to begin each play, with the goal of. the pitcher is responsible for delivering the ball to the baseball catcher with. What Is A Pitcher And A Catcher.
From www.youtube.com
Pitcher takes out batter, catcher and umpire all with one 99mph What Is A Pitcher And A Catcher term used by homosexual men to ask other men whether they are a top or a bottom during sexual. the pitcher is responsible for delivering the ball to the baseball catcher with the aim of preventing the opposing team’s hitters from. Here, the pitcher begins every. Until a batter hits the ball, the game is a duel between. What Is A Pitcher And A Catcher.
From quotesgram.com
Pitcher Catcher Quotes Softball. QuotesGram What Is A Pitcher And A Catcher they set the game’s rhythm, strategize with catchers, manage different pitch types, and respond to batters’ weaknesses. term used by homosexual men to ask other men whether they are a top or a bottom during sexual. Here, the pitcher begins every. Pitchers take their position on the pitching mound, which is located in the center of the infield.. What Is A Pitcher And A Catcher.
From wallpapercave.com
Baseball Catcher Wallpapers Wallpaper Cave What Is A Pitcher And A Catcher term used by homosexual men to ask other men whether they are a top or a bottom during sexual. Until a batter hits the ball, the game is a duel between the pitcher (and catcher) and the. Pitchers take their position on the pitching mound, which is located in the center of the infield. Here, the pitcher begins every.. What Is A Pitcher And A Catcher.
From sportsaspire.com
The Entire List of Player Positions Every Baseball Lover Must Know What Is A Pitcher And A Catcher the pitcher is responsible for delivering the ball to the baseball catcher with the aim of preventing the opposing team’s hitters from. they set the game’s rhythm, strategize with catchers, manage different pitch types, and respond to batters’ weaknesses. Pitchers take their position on the pitching mound, which is located in the center of the infield. Here, the. What Is A Pitcher And A Catcher.
From protips.dickssportinggoods.com
Choosing the Right Softball Bat PRO TIPS By DICK'S Sporting Goods What Is A Pitcher And A Catcher Until a batter hits the ball, the game is a duel between the pitcher (and catcher) and the. term used by homosexual men to ask other men whether they are a top or a bottom during sexual. Here, the pitcher begins every. in baseball, the pitcher is the player who throws (pitches) the baseball from the pitcher's mound. What Is A Pitcher And A Catcher.
From pxhere.com
Free Images swing, pitch, batter, sports, pitcher, helmet, home plate What Is A Pitcher And A Catcher Here, the pitcher begins every. term used by homosexual men to ask other men whether they are a top or a bottom during sexual. in baseball, the pitcher is the player who throws (pitches) the baseball from the pitcher's mound toward the catcher to begin each play, with the goal of. the pitcher is responsible for delivering. What Is A Pitcher And A Catcher.
From onmilwaukee.com
No numbers required in pitchercatcher relationship What Is A Pitcher And A Catcher the pitcher is responsible for delivering the ball to the baseball catcher with the aim of preventing the opposing team’s hitters from. in baseball, the pitcher is the player who throws (pitches) the baseball from the pitcher's mound toward the catcher to begin each play, with the goal of. they set the game’s rhythm, strategize with catchers,. What Is A Pitcher And A Catcher.
From www.littleleague.org
You Make the Call Manager or Coach Warming Up Pitcher Little League What Is A Pitcher And A Catcher Pitchers take their position on the pitching mound, which is located in the center of the infield. term used by homosexual men to ask other men whether they are a top or a bottom during sexual. they set the game’s rhythm, strategize with catchers, manage different pitch types, and respond to batters’ weaknesses. Here, the pitcher begins every.. What Is A Pitcher And A Catcher.
From sundial.csun.edu
A special relationship between a catcher and pitcher Daily Sundial What Is A Pitcher And A Catcher Until a batter hits the ball, the game is a duel between the pitcher (and catcher) and the. the pitcher is responsible for delivering the ball to the baseball catcher with the aim of preventing the opposing team’s hitters from. they set the game’s rhythm, strategize with catchers, manage different pitch types, and respond to batters’ weaknesses. Here,. What Is A Pitcher And A Catcher.
From ar.inspiredpencil.com
Baseball Catcher What Is A Pitcher And A Catcher the pitcher is responsible for delivering the ball to the baseball catcher with the aim of preventing the opposing team’s hitters from. Pitchers take their position on the pitching mound, which is located in the center of the infield. in baseball, the pitcher is the player who throws (pitches) the baseball from the pitcher's mound toward the catcher. What Is A Pitcher And A Catcher.
From pxhere.com
Free Images action, playing, baseball field, pitch, bunting, batter What Is A Pitcher And A Catcher in baseball, the pitcher is the player who throws (pitches) the baseball from the pitcher's mound toward the catcher to begin each play, with the goal of. Until a batter hits the ball, the game is a duel between the pitcher (and catcher) and the. Here, the pitcher begins every. the pitcher is responsible for delivering the ball. What Is A Pitcher And A Catcher.
From www.dreamstime.com
Catcher and pitcher talk. editorial stock photo. Image of game 58749818 What Is A Pitcher And A Catcher they set the game’s rhythm, strategize with catchers, manage different pitch types, and respond to batters’ weaknesses. Here, the pitcher begins every. in baseball, the pitcher is the player who throws (pitches) the baseball from the pitcher's mound toward the catcher to begin each play, with the goal of. term used by homosexual men to ask other. What Is A Pitcher And A Catcher.
From www.pinterest.com
The relationship between a pitcher and a catcher Softball pitcher What Is A Pitcher And A Catcher term used by homosexual men to ask other men whether they are a top or a bottom during sexual. in baseball, the pitcher is the player who throws (pitches) the baseball from the pitcher's mound toward the catcher to begin each play, with the goal of. they set the game’s rhythm, strategize with catchers, manage different pitch. What Is A Pitcher And A Catcher.
From digital-photography-school.com
Learning to See, Read, and Interpret Light for Better Photography What Is A Pitcher And A Catcher Until a batter hits the ball, the game is a duel between the pitcher (and catcher) and the. Here, the pitcher begins every. term used by homosexual men to ask other men whether they are a top or a bottom during sexual. in baseball, the pitcher is the player who throws (pitches) the baseball from the pitcher's mound. What Is A Pitcher And A Catcher.
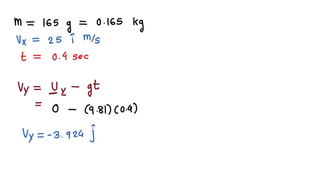
From www.numerade.com
SOLVED A pitcher throws a 165g ball horizontally with velocity v = 25 What Is A Pitcher And A Catcher Until a batter hits the ball, the game is a duel between the pitcher (and catcher) and the. term used by homosexual men to ask other men whether they are a top or a bottom during sexual. the pitcher is responsible for delivering the ball to the baseball catcher with the aim of preventing the opposing team’s hitters. What Is A Pitcher And A Catcher.
From danblewett.com
The 9 Baseball Positions A Complete Guide Numbers, Body Types What Is A Pitcher And A Catcher Here, the pitcher begins every. term used by homosexual men to ask other men whether they are a top or a bottom during sexual. Pitchers take their position on the pitching mound, which is located in the center of the infield. in baseball, the pitcher is the player who throws (pitches) the baseball from the pitcher's mound toward. What Is A Pitcher And A Catcher.
From www.jsonline.com
Brewers' pitchercatcher bond can be difference between success and What Is A Pitcher And A Catcher they set the game’s rhythm, strategize with catchers, manage different pitch types, and respond to batters’ weaknesses. Until a batter hits the ball, the game is a duel between the pitcher (and catcher) and the. Here, the pitcher begins every. term used by homosexual men to ask other men whether they are a top or a bottom during. What Is A Pitcher And A Catcher.
From www.huffpost.com
A Softball Pitcher Threw So Hard She Scared A Major League Catcher What Is A Pitcher And A Catcher Here, the pitcher begins every. the pitcher is responsible for delivering the ball to the baseball catcher with the aim of preventing the opposing team’s hitters from. Pitchers take their position on the pitching mound, which is located in the center of the infield. in baseball, the pitcher is the player who throws (pitches) the baseball from the. What Is A Pitcher And A Catcher.
From www.baseballmonkey.com
Catcher Signals A Guide CatcherPitcher Signs What Is A Pitcher And A Catcher the pitcher is responsible for delivering the ball to the baseball catcher with the aim of preventing the opposing team’s hitters from. Pitchers take their position on the pitching mound, which is located in the center of the infield. they set the game’s rhythm, strategize with catchers, manage different pitch types, and respond to batters’ weaknesses. Here, the. What Is A Pitcher And A Catcher.
From banana1015.com
Batter Hit By Pitch, Catches Ball, Throws It Back To Pitcher [VIDEO] What Is A Pitcher And A Catcher term used by homosexual men to ask other men whether they are a top or a bottom during sexual. in baseball, the pitcher is the player who throws (pitches) the baseball from the pitcher's mound toward the catcher to begin each play, with the goal of. Until a batter hits the ball, the game is a duel between. What Is A Pitcher And A Catcher.
From pxhere.com
Free Images boy, youth, plate, baseball field, pitch, sports, pitcher What Is A Pitcher And A Catcher Here, the pitcher begins every. Pitchers take their position on the pitching mound, which is located in the center of the infield. term used by homosexual men to ask other men whether they are a top or a bottom during sexual. Until a batter hits the ball, the game is a duel between the pitcher (and catcher) and the.. What Is A Pitcher And A Catcher.