Magnetic Energy Density Of Solenoid Formula . This energy can be found by integrating the magnetic energy density, \ [u_m = \dfrac {b^2} {2\mu_0}\] over the appropriate volume. In order to estimate roughly the force with which a. Îlet’s see how this works. Î how much energy is stored in an inductor when a current is flowing through it? Î start with loop rule. Energy density of the magnetic field. Ε = ir + di. In one form or another, they are part of. Since we know that the magnetic eld inside a solenoid is uniform, we can infer a magnetic energy density as the ratio of magnetic energy. The magnetic field within a solenoid depends upon the current and density of turns. Energy density within solenoid energy is stored in the magnetic field inside the solenoid. L = m0n2a‘ • magnetic field: For a long coil the stored energy is… we can rewrite this as. What is the energy density stored in the coil ? Two of the most common and useful electromagnetic devices are called solenoids and toroids.
from ar.inspiredpencil.com
Î how much energy is stored in an inductor when a current is flowing through it? This energy can be found by integrating the magnetic energy density, \ [u_m = \dfrac {b^2} {2\mu_0}\] over the appropriate volume. For a long coil the stored energy is… we can rewrite this as. In one form or another, they are part of. Î start with loop rule. Energy density of the magnetic field. Since we know that the magnetic eld inside a solenoid is uniform, we can infer a magnetic energy density as the ratio of magnetic energy. In order to estimate roughly the force with which a. To understand where this formula comes from, let’s. The magnetic field within a solenoid depends upon the current and density of turns.
Field Of A Solenoid Equation
Magnetic Energy Density Of Solenoid Formula The magnetic field within a solenoid depends upon the current and density of turns. Ε = ir + di. Î how much energy is stored in an inductor when a current is flowing through it? In one form or another, they are part of. Îlet’s see how this works. To understand where this formula comes from, let’s. L = m0n2a‘ • magnetic field: In order to estimate roughly the force with which a. Two of the most common and useful electromagnetic devices are called solenoids and toroids. What is the energy density stored in the coil ? Î start with loop rule. The magnetic field within a solenoid depends upon the current and density of turns. Energy density of the magnetic field. Since we know that the magnetic eld inside a solenoid is uniform, we can infer a magnetic energy density as the ratio of magnetic energy. Energy density within solenoid energy is stored in the magnetic field inside the solenoid. For a long coil the stored energy is… we can rewrite this as.
From www.sciencefacts.net
Solenoid Field Definition and Equation Magnetic Energy Density Of Solenoid Formula Îlet’s see how this works. Energy density of the magnetic field. In order to estimate roughly the force with which a. In one form or another, they are part of. L = m0n2a‘ • magnetic field: Î how much energy is stored in an inductor when a current is flowing through it? Two of the most common and useful electromagnetic. Magnetic Energy Density Of Solenoid Formula.
From www.chegg.com
Solved The flux density of an Nturn solenoid with Magnetic Energy Density Of Solenoid Formula Since we know that the magnetic eld inside a solenoid is uniform, we can infer a magnetic energy density as the ratio of magnetic energy. Energy density of the magnetic field. To understand where this formula comes from, let’s. In order to estimate roughly the force with which a. The magnetic field within a solenoid depends upon the current and. Magnetic Energy Density Of Solenoid Formula.
From www.toppr.com
The energy stored in a long solenoid of area of cross Magnetic Energy Density Of Solenoid Formula Energy density of the magnetic field. In one form or another, they are part of. Ε = ir + di. What is the energy density stored in the coil ? L = m0n2a‘ • magnetic field: Two of the most common and useful electromagnetic devices are called solenoids and toroids. Energy density within solenoid energy is stored in the magnetic. Magnetic Energy Density Of Solenoid Formula.
From spiff.rit.edu
Solenoids and Fields Magnetic Energy Density Of Solenoid Formula Î start with loop rule. In one form or another, they are part of. Îlet’s see how this works. Ε = ir + di. Energy density within solenoid energy is stored in the magnetic field inside the solenoid. What is the energy density stored in the coil ? For a long coil the stored energy is… we can rewrite this. Magnetic Energy Density Of Solenoid Formula.
From www.physicsforums.com
Formula of Solenoid Bfield at Ending, Middle and Outside Magnetic Energy Density Of Solenoid Formula The magnetic field within a solenoid depends upon the current and density of turns. Energy density within solenoid energy is stored in the magnetic field inside the solenoid. For a long coil the stored energy is… we can rewrite this as. In one form or another, they are part of. To understand where this formula comes from, let’s. Since we. Magnetic Energy Density Of Solenoid Formula.
From spiff.rit.edu
Solenoids and Fields Magnetic Energy Density Of Solenoid Formula Îlet’s see how this works. Energy density within solenoid energy is stored in the magnetic field inside the solenoid. Î start with loop rule. L = m0n2a‘ • magnetic field: In order to estimate roughly the force with which a. Since we know that the magnetic eld inside a solenoid is uniform, we can infer a magnetic energy density as. Magnetic Energy Density Of Solenoid Formula.
From www.youtube.com
Energy density in fields Inductance Physics Khan Academy Magnetic Energy Density Of Solenoid Formula This energy can be found by integrating the magnetic energy density, \ [u_m = \dfrac {b^2} {2\mu_0}\] over the appropriate volume. Energy density of the magnetic field. Îlet’s see how this works. To understand where this formula comes from, let’s. L = m0n2a‘ • magnetic field: Î how much energy is stored in an inductor when a current is flowing. Magnetic Energy Density Of Solenoid Formula.
From www.slideserve.com
PPT Self Inductance Inductance of a Solenoid RL Circuit Energy Magnetic Energy Density Of Solenoid Formula L = m0n2a‘ • magnetic field: Ε = ir + di. Energy density of the magnetic field. This energy can be found by integrating the magnetic energy density, \ [u_m = \dfrac {b^2} {2\mu_0}\] over the appropriate volume. Energy density within solenoid energy is stored in the magnetic field inside the solenoid. Îlet’s see how this works. To understand where. Magnetic Energy Density Of Solenoid Formula.
From spiff.rit.edu
Solenoids and Fields Magnetic Energy Density Of Solenoid Formula Since we know that the magnetic eld inside a solenoid is uniform, we can infer a magnetic energy density as the ratio of magnetic energy. Î how much energy is stored in an inductor when a current is flowing through it? Ε = ir + di. Îlet’s see how this works. Energy density within solenoid energy is stored in the. Magnetic Energy Density Of Solenoid Formula.
From www.slideserve.com
PPT W10D1 Inductance and Field Energy PowerPoint Magnetic Energy Density Of Solenoid Formula In order to estimate roughly the force with which a. Two of the most common and useful electromagnetic devices are called solenoids and toroids. Îlet’s see how this works. Energy density within solenoid energy is stored in the magnetic field inside the solenoid. This energy can be found by integrating the magnetic energy density, \ [u_m = \dfrac {b^2} {2\mu_0}\]. Magnetic Energy Density Of Solenoid Formula.
From ar.inspiredpencil.com
Field Of A Solenoid Equation Magnetic Energy Density Of Solenoid Formula Two of the most common and useful electromagnetic devices are called solenoids and toroids. To understand where this formula comes from, let’s. In one form or another, they are part of. Energy density of the magnetic field. This energy can be found by integrating the magnetic energy density, \ [u_m = \dfrac {b^2} {2\mu_0}\] over the appropriate volume. In order. Magnetic Energy Density Of Solenoid Formula.
From www.youtube.com
Deriving the Energy Density of a Field YouTube Magnetic Energy Density Of Solenoid Formula In order to estimate roughly the force with which a. Two of the most common and useful electromagnetic devices are called solenoids and toroids. Since we know that the magnetic eld inside a solenoid is uniform, we can infer a magnetic energy density as the ratio of magnetic energy. The magnetic field within a solenoid depends upon the current and. Magnetic Energy Density Of Solenoid Formula.
From www.slideserve.com
PPT Field of a Solenoid PowerPoint Presentation, free Magnetic Energy Density Of Solenoid Formula Ε = ir + di. The magnetic field within a solenoid depends upon the current and density of turns. Î start with loop rule. L = m0n2a‘ • magnetic field: Energy density of the magnetic field. Î how much energy is stored in an inductor when a current is flowing through it? In one form or another, they are part. Magnetic Energy Density Of Solenoid Formula.
From www.youtube.com
Consider the energy density in a solenoid at its centre and that near Magnetic Energy Density Of Solenoid Formula The magnetic field within a solenoid depends upon the current and density of turns. L = m0n2a‘ • magnetic field: In order to estimate roughly the force with which a. Since we know that the magnetic eld inside a solenoid is uniform, we can infer a magnetic energy density as the ratio of magnetic energy. To understand where this formula. Magnetic Energy Density Of Solenoid Formula.
From ar.inspiredpencil.com
Field Of A Solenoid Equation Magnetic Energy Density Of Solenoid Formula The magnetic field within a solenoid depends upon the current and density of turns. For a long coil the stored energy is… we can rewrite this as. Îlet’s see how this works. Since we know that the magnetic eld inside a solenoid is uniform, we can infer a magnetic energy density as the ratio of magnetic energy. What is the. Magnetic Energy Density Of Solenoid Formula.
From www.slideserve.com
PPT ELECTRODYNAMICS PowerPoint Presentation ID162570 Magnetic Energy Density Of Solenoid Formula In order to estimate roughly the force with which a. What is the energy density stored in the coil ? Energy density of the magnetic field. Î start with loop rule. To understand where this formula comes from, let’s. L = m0n2a‘ • magnetic field: Î how much energy is stored in an inductor when a current is flowing through. Magnetic Energy Density Of Solenoid Formula.
From www.numerade.com
SOLVED The formula used to find the energy of the field of a Magnetic Energy Density Of Solenoid Formula Î start with loop rule. Energy density within solenoid energy is stored in the magnetic field inside the solenoid. Îlet’s see how this works. L = m0n2a‘ • magnetic field: Two of the most common and useful electromagnetic devices are called solenoids and toroids. To understand where this formula comes from, let’s. Since we know that the magnetic eld inside. Magnetic Energy Density Of Solenoid Formula.
From www.slideserve.com
PPT Field of a Solenoid PowerPoint Presentation, free Magnetic Energy Density Of Solenoid Formula Ε = ir + di. This energy can be found by integrating the magnetic energy density, \ [u_m = \dfrac {b^2} {2\mu_0}\] over the appropriate volume. Î start with loop rule. Energy density within solenoid energy is stored in the magnetic field inside the solenoid. Since we know that the magnetic eld inside a solenoid is uniform, we can infer. Magnetic Energy Density Of Solenoid Formula.
From www.researchgate.net
The schematic diagram of the 1d, 2d, and 3d fields of the Magnetic Energy Density Of Solenoid Formula To understand where this formula comes from, let’s. Two of the most common and useful electromagnetic devices are called solenoids and toroids. What is the energy density stored in the coil ? Ε = ir + di. For a long coil the stored energy is… we can rewrite this as. In order to estimate roughly the force with which a.. Magnetic Energy Density Of Solenoid Formula.
From www.physicsforums.com
Formula of Solenoid Bfield at Ending, Middle and Outside Magnetic Energy Density Of Solenoid Formula Î how much energy is stored in an inductor when a current is flowing through it? L = m0n2a‘ • magnetic field: This energy can be found by integrating the magnetic energy density, \ [u_m = \dfrac {b^2} {2\mu_0}\] over the appropriate volume. To understand where this formula comes from, let’s. Î start with loop rule. Îlet’s see how this. Magnetic Energy Density Of Solenoid Formula.
From spiff.rit.edu
Solenoids and Fields Magnetic Energy Density Of Solenoid Formula Î how much energy is stored in an inductor when a current is flowing through it? In one form or another, they are part of. This energy can be found by integrating the magnetic energy density, \ [u_m = \dfrac {b^2} {2\mu_0}\] over the appropriate volume. Energy density within solenoid energy is stored in the magnetic field inside the solenoid.. Magnetic Energy Density Of Solenoid Formula.
From spiff.rit.edu
Solenoids and Fields Magnetic Energy Density Of Solenoid Formula This energy can be found by integrating the magnetic energy density, \ [u_m = \dfrac {b^2} {2\mu_0}\] over the appropriate volume. Ε = ir + di. For a long coil the stored energy is… we can rewrite this as. What is the energy density stored in the coil ? Îlet’s see how this works. Energy density of the magnetic field.. Magnetic Energy Density Of Solenoid Formula.
From www.slideserve.com
PPT Inductance and Energy PowerPoint Presentation ID1707095 Magnetic Energy Density Of Solenoid Formula What is the energy density stored in the coil ? Îlet’s see how this works. For a long coil the stored energy is… we can rewrite this as. The magnetic field within a solenoid depends upon the current and density of turns. To understand where this formula comes from, let’s. Energy density of the magnetic field. Two of the most. Magnetic Energy Density Of Solenoid Formula.
From www.chegg.com
Solved The flux density of an Nturn solenoid with Magnetic Energy Density Of Solenoid Formula Îlet’s see how this works. To understand where this formula comes from, let’s. Energy density within solenoid energy is stored in the magnetic field inside the solenoid. L = m0n2a‘ • magnetic field: For a long coil the stored energy is… we can rewrite this as. Î start with loop rule. Î how much energy is stored in an inductor. Magnetic Energy Density Of Solenoid Formula.
From www.slideserve.com
PPT Lecture 10 Induction and Inductance Ch. 30 PowerPoint Magnetic Energy Density Of Solenoid Formula Since we know that the magnetic eld inside a solenoid is uniform, we can infer a magnetic energy density as the ratio of magnetic energy. In one form or another, they are part of. The magnetic field within a solenoid depends upon the current and density of turns. Îlet’s see how this works. Energy density within solenoid energy is stored. Magnetic Energy Density Of Solenoid Formula.
From www.slideserve.com
PPT Physics 2102 Lecture 19 PowerPoint Presentation, free download Magnetic Energy Density Of Solenoid Formula Î how much energy is stored in an inductor when a current is flowing through it? Energy density within solenoid energy is stored in the magnetic field inside the solenoid. Ε = ir + di. L = m0n2a‘ • magnetic field: Energy density of the magnetic field. Îlet’s see how this works. This energy can be found by integrating the. Magnetic Energy Density Of Solenoid Formula.
From www.youtube.com
Ampere's Law & Field of a Solenoid Physics Magnetic Energy Density Of Solenoid Formula The magnetic field within a solenoid depends upon the current and density of turns. This energy can be found by integrating the magnetic energy density, \ [u_m = \dfrac {b^2} {2\mu_0}\] over the appropriate volume. What is the energy density stored in the coil ? Ε = ir + di. In order to estimate roughly the force with which a.. Magnetic Energy Density Of Solenoid Formula.
From www.youtube.com
Using a Formula to Find the Field Inside a Solenoid YouTube Magnetic Energy Density Of Solenoid Formula L = m0n2a‘ • magnetic field: Î start with loop rule. Two of the most common and useful electromagnetic devices are called solenoids and toroids. Since we know that the magnetic eld inside a solenoid is uniform, we can infer a magnetic energy density as the ratio of magnetic energy. Energy density of the magnetic field. This energy can be. Magnetic Energy Density Of Solenoid Formula.
From spiff.rit.edu
Solenoids and Fields Magnetic Energy Density Of Solenoid Formula L = m0n2a‘ • magnetic field: Energy density within solenoid energy is stored in the magnetic field inside the solenoid. Ε = ir + di. The magnetic field within a solenoid depends upon the current and density of turns. Since we know that the magnetic eld inside a solenoid is uniform, we can infer a magnetic energy density as the. Magnetic Energy Density Of Solenoid Formula.
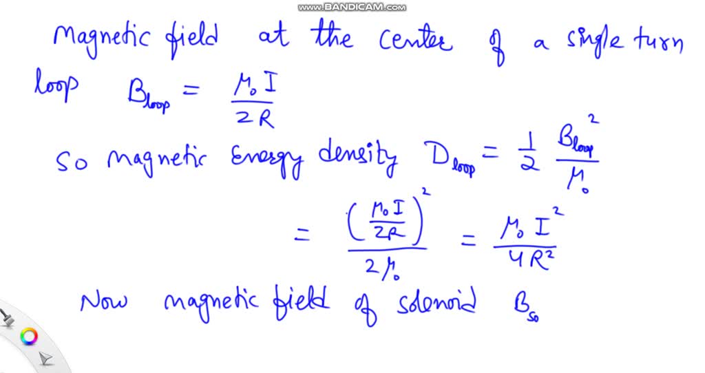
From www.numerade.com
SOLVEDA singleturn loop of radius R carries current 1 . How does the Magnetic Energy Density Of Solenoid Formula Two of the most common and useful electromagnetic devices are called solenoids and toroids. Energy density of the magnetic field. For a long coil the stored energy is… we can rewrite this as. L = m0n2a‘ • magnetic field: Îlet’s see how this works. What is the energy density stored in the coil ? Since we know that the magnetic. Magnetic Energy Density Of Solenoid Formula.
From www.slideserve.com
PPT Faraday’s Law PowerPoint Presentation, free download ID3607741 Magnetic Energy Density Of Solenoid Formula For a long coil the stored energy is… we can rewrite this as. Î start with loop rule. L = m0n2a‘ • magnetic field: This energy can be found by integrating the magnetic energy density, \ [u_m = \dfrac {b^2} {2\mu_0}\] over the appropriate volume. Since we know that the magnetic eld inside a solenoid is uniform, we can infer. Magnetic Energy Density Of Solenoid Formula.
From www.youtube.com
Energy Stored in Fields YouTube Magnetic Energy Density Of Solenoid Formula Îlet’s see how this works. Ε = ir + di. L = m0n2a‘ • magnetic field: For a long coil the stored energy is… we can rewrite this as. In order to estimate roughly the force with which a. To understand where this formula comes from, let’s. Energy density of the magnetic field. What is the energy density stored in. Magnetic Energy Density Of Solenoid Formula.
From www.slideserve.com
PPT Field Along the Axis of a Solenoid PowerPoint Magnetic Energy Density Of Solenoid Formula L = m0n2a‘ • magnetic field: Îlet’s see how this works. The magnetic field within a solenoid depends upon the current and density of turns. Two of the most common and useful electromagnetic devices are called solenoids and toroids. Energy density within solenoid energy is stored in the magnetic field inside the solenoid. Since we know that the magnetic eld. Magnetic Energy Density Of Solenoid Formula.
From www.researchgate.net
flux density on the solenoid axis for the solenoid modeled as Magnetic Energy Density Of Solenoid Formula Ε = ir + di. L = m0n2a‘ • magnetic field: Since we know that the magnetic eld inside a solenoid is uniform, we can infer a magnetic energy density as the ratio of magnetic energy. Energy density of the magnetic field. The magnetic field within a solenoid depends upon the current and density of turns. Energy density within solenoid. Magnetic Energy Density Of Solenoid Formula.
From collegedunia.com
Field in A Solenoid Formula, Ampere's Law & Solved Examples Magnetic Energy Density Of Solenoid Formula This energy can be found by integrating the magnetic energy density, \ [u_m = \dfrac {b^2} {2\mu_0}\] over the appropriate volume. L = m0n2a‘ • magnetic field: Ε = ir + di. The magnetic field within a solenoid depends upon the current and density of turns. Îlet’s see how this works. Î start with loop rule. For a long coil. Magnetic Energy Density Of Solenoid Formula.