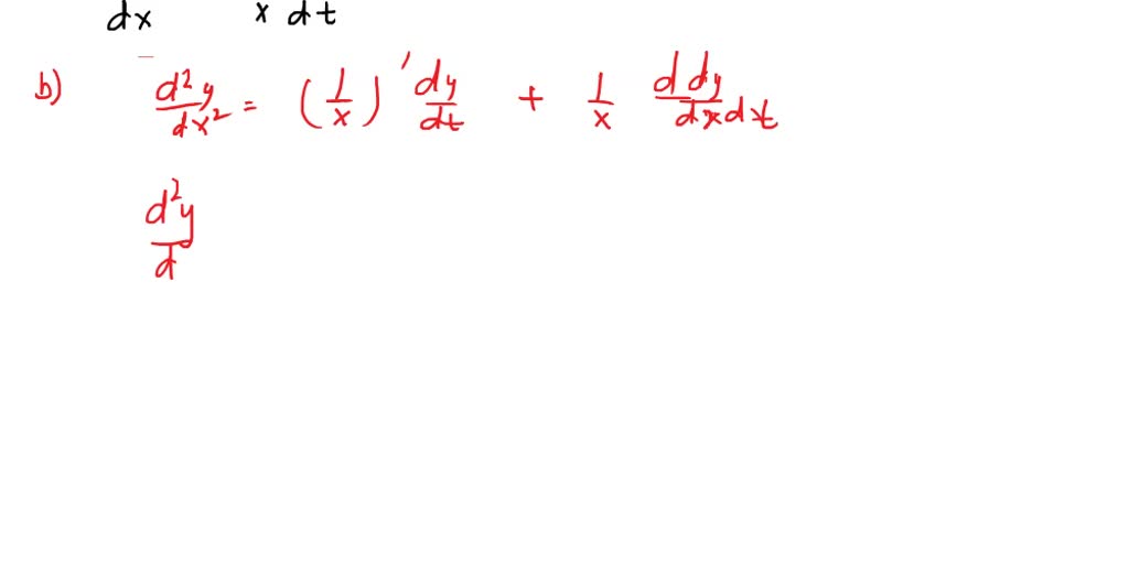
Euler's Equidimensional Equation . This is euler's equidimensional equation in your problem. (euler equation) consider the euler equidimensional equation (t−t 0)2 y′′ +a 1 (t−t 0)y ′ +a 0 y = 0, t > t 0, (2.4.1) where a 1, a 0, and t 0. A) show that setting x = e t changes it into an equation with constant. The guess y = tr. Where a, b, and c are constants (and a ≠ 0). First, write down an equation you don't know how to solve. Euler’s equidimensional equation is the ode x 2 y + pxy + qy = 0; The second‐order homogeneous cauchy‐euler equidimensional equation has the form. For t > 0, consider euler's equidimensional equation:
from slideplayer.com
(euler equation) consider the euler equidimensional equation (t−t 0)2 y′′ +a 1 (t−t 0)y ′ +a 0 y = 0, t > t 0, (2.4.1) where a 1, a 0, and t 0. For t > 0, consider euler's equidimensional equation: The second‐order homogeneous cauchy‐euler equidimensional equation has the form. First, write down an equation you don't know how to solve. Euler’s equidimensional equation is the ode x 2 y + pxy + qy = 0; The guess y = tr. A) show that setting x = e t changes it into an equation with constant. This is euler's equidimensional equation in your problem. Where a, b, and c are constants (and a ≠ 0).
Study of Denominated Linear SOODEs ppt download
Euler's Equidimensional Equation For t > 0, consider euler's equidimensional equation: (euler equation) consider the euler equidimensional equation (t−t 0)2 y′′ +a 1 (t−t 0)y ′ +a 0 y = 0, t > t 0, (2.4.1) where a 1, a 0, and t 0. First, write down an equation you don't know how to solve. The guess y = tr. Where a, b, and c are constants (and a ≠ 0). For t > 0, consider euler's equidimensional equation: A) show that setting x = e t changes it into an equation with constant. This is euler's equidimensional equation in your problem. Euler’s equidimensional equation is the ode x 2 y + pxy + qy = 0; The second‐order homogeneous cauchy‐euler equidimensional equation has the form.
From www.newworldencyclopedia.org
FileEuler's formula.svg New World Encyclopedia Euler's Equidimensional Equation First, write down an equation you don't know how to solve. This is euler's equidimensional equation in your problem. A) show that setting x = e t changes it into an equation with constant. The second‐order homogeneous cauchy‐euler equidimensional equation has the form. Euler’s equidimensional equation is the ode x 2 y + pxy + qy = 0; For t. Euler's Equidimensional Equation.
From www.studocu.com
APM First Order Cauchy‐Euler Equidimensional Equation Cauchy‐Euler Equidimensional Euler's Equidimensional Equation The guess y = tr. First, write down an equation you don't know how to solve. The second‐order homogeneous cauchy‐euler equidimensional equation has the form. A) show that setting x = e t changes it into an equation with constant. Where a, b, and c are constants (and a ≠ 0). For t > 0, consider euler's equidimensional equation: (euler. Euler's Equidimensional Equation.
From www.slideserve.com
PPT Section 6.1 PowerPoint Presentation, free download ID6625911 Euler's Equidimensional Equation Where a, b, and c are constants (and a ≠ 0). For t > 0, consider euler's equidimensional equation: Euler’s equidimensional equation is the ode x 2 y + pxy + qy = 0; A) show that setting x = e t changes it into an equation with constant. The second‐order homogeneous cauchy‐euler equidimensional equation has the form. First, write. Euler's Equidimensional Equation.
From www.youtube.com
An Equation with Euler's Number YouTube Euler's Equidimensional Equation A) show that setting x = e t changes it into an equation with constant. First, write down an equation you don't know how to solve. (euler equation) consider the euler equidimensional equation (t−t 0)2 y′′ +a 1 (t−t 0)y ′ +a 0 y = 0, t > t 0, (2.4.1) where a 1, a 0, and t 0. This. Euler's Equidimensional Equation.
From www.shutterstock.com
Eulers Formula Eulers Identity Stock Vector (Royalty Free) 1946452231 Shutterstock Euler's Equidimensional Equation First, write down an equation you don't know how to solve. Euler’s equidimensional equation is the ode x 2 y + pxy + qy = 0; Where a, b, and c are constants (and a ≠ 0). The second‐order homogeneous cauchy‐euler equidimensional equation has the form. The guess y = tr. (euler equation) consider the euler equidimensional equation (t−t 0)2. Euler's Equidimensional Equation.
From www.youtube.com
Euler's Equation Proves Trigonometric Formula YouTube Euler's Equidimensional Equation Euler’s equidimensional equation is the ode x 2 y + pxy + qy = 0; The guess y = tr. Where a, b, and c are constants (and a ≠ 0). (euler equation) consider the euler equidimensional equation (t−t 0)2 y′′ +a 1 (t−t 0)y ′ +a 0 y = 0, t > t 0, (2.4.1) where a 1, a. Euler's Equidimensional Equation.
From www.grc.nasa.gov
Euler Equations Euler's Equidimensional Equation Where a, b, and c are constants (and a ≠ 0). The second‐order homogeneous cauchy‐euler equidimensional equation has the form. This is euler's equidimensional equation in your problem. A) show that setting x = e t changes it into an equation with constant. (euler equation) consider the euler equidimensional equation (t−t 0)2 y′′ +a 1 (t−t 0)y ′ +a 0. Euler's Equidimensional Equation.
From slideplayer.com
Study of Denominated Linear SOODEs ppt download Euler's Equidimensional Equation Where a, b, and c are constants (and a ≠ 0). Euler’s equidimensional equation is the ode x 2 y + pxy + qy = 0; First, write down an equation you don't know how to solve. (euler equation) consider the euler equidimensional equation (t−t 0)2 y′′ +a 1 (t−t 0)y ′ +a 0 y = 0, t > t. Euler's Equidimensional Equation.
From slideplayer.com
Study of Denominated Linear SOODEs ppt download Euler's Equidimensional Equation A) show that setting x = e t changes it into an equation with constant. The second‐order homogeneous cauchy‐euler equidimensional equation has the form. First, write down an equation you don't know how to solve. Euler’s equidimensional equation is the ode x 2 y + pxy + qy = 0; (euler equation) consider the euler equidimensional equation (t−t 0)2 y′′. Euler's Equidimensional Equation.
From www.youtube.com
CauchyEuler Differential Equation x^2y'' + xy' + y = 0 , y(1)=1 , y'(1)=2 YouTube Euler's Equidimensional Equation Euler’s equidimensional equation is the ode x 2 y + pxy + qy = 0; This is euler's equidimensional equation in your problem. (euler equation) consider the euler equidimensional equation (t−t 0)2 y′′ +a 1 (t−t 0)y ′ +a 0 y = 0, t > t 0, (2.4.1) where a 1, a 0, and t 0. Where a, b, and. Euler's Equidimensional Equation.
From www.shutterstock.com
Simple Illustration Eulers Formula Vector Stock Vector (Royalty Free) 2070419285 Shutterstock Euler's Equidimensional Equation A) show that setting x = e t changes it into an equation with constant. First, write down an equation you don't know how to solve. This is euler's equidimensional equation in your problem. For t > 0, consider euler's equidimensional equation: Where a, b, and c are constants (and a ≠ 0). Euler’s equidimensional equation is the ode x. Euler's Equidimensional Equation.
From www.youtube.com
Solve x^2y'' 3xy' 9y = 0 Cauchy Euler Differential Equation YouTube Euler's Equidimensional Equation (euler equation) consider the euler equidimensional equation (t−t 0)2 y′′ +a 1 (t−t 0)y ′ +a 0 y = 0, t > t 0, (2.4.1) where a 1, a 0, and t 0. This is euler's equidimensional equation in your problem. Euler’s equidimensional equation is the ode x 2 y + pxy + qy = 0; First, write down an. Euler's Equidimensional Equation.
From www.livescience.com
Euler’s Identity 'The Most Beautiful Equation' Live Science Euler's Equidimensional Equation Euler’s equidimensional equation is the ode x 2 y + pxy + qy = 0; First, write down an equation you don't know how to solve. This is euler's equidimensional equation in your problem. Where a, b, and c are constants (and a ≠ 0). (euler equation) consider the euler equidimensional equation (t−t 0)2 y′′ +a 1 (t−t 0)y ′. Euler's Equidimensional Equation.
From www.animalia-life.club
Eulers Formula Euler's Equidimensional Equation The guess y = tr. First, write down an equation you don't know how to solve. (euler equation) consider the euler equidimensional equation (t−t 0)2 y′′ +a 1 (t−t 0)y ′ +a 0 y = 0, t > t 0, (2.4.1) where a 1, a 0, and t 0. Euler’s equidimensional equation is the ode x 2 y + pxy. Euler's Equidimensional Equation.
From www.youtube.com
Second Order Nonhomogeneous CauchyEuler Differential Equations YouTube Euler's Equidimensional Equation A) show that setting x = e t changes it into an equation with constant. This is euler's equidimensional equation in your problem. Euler’s equidimensional equation is the ode x 2 y + pxy + qy = 0; Where a, b, and c are constants (and a ≠ 0). The second‐order homogeneous cauchy‐euler equidimensional equation has the form. For t. Euler's Equidimensional Equation.
From byjusexamprep.com
Euler's Equation of Motion Assumptions, Derivation [GATE Notes] Euler's Equidimensional Equation The guess y = tr. Euler’s equidimensional equation is the ode x 2 y + pxy + qy = 0; Where a, b, and c are constants (and a ≠ 0). For t > 0, consider euler's equidimensional equation: This is euler's equidimensional equation in your problem. A) show that setting x = e t changes it into an equation. Euler's Equidimensional Equation.
From www.youtube.com
General Solution to a Second Order Homogeneous CauchyEuler Equation (distinct real) YouTube Euler's Equidimensional Equation Euler’s equidimensional equation is the ode x 2 y + pxy + qy = 0; First, write down an equation you don't know how to solve. For t > 0, consider euler's equidimensional equation: A) show that setting x = e t changes it into an equation with constant. The second‐order homogeneous cauchy‐euler equidimensional equation has the form. Where a,. Euler's Equidimensional Equation.
From www.wikiwand.com
Công thức Euler Wikiwand Euler's Equidimensional Equation Euler’s equidimensional equation is the ode x 2 y + pxy + qy = 0; This is euler's equidimensional equation in your problem. First, write down an equation you don't know how to solve. For t > 0, consider euler's equidimensional equation: The second‐order homogeneous cauchy‐euler equidimensional equation has the form. Where a, b, and c are constants (and a. Euler's Equidimensional Equation.
From www.nagwa.com
Lesson Video La fórmula de Euler para identidades trigonométricas Nagwa Euler's Equidimensional Equation For t > 0, consider euler's equidimensional equation: The second‐order homogeneous cauchy‐euler equidimensional equation has the form. This is euler's equidimensional equation in your problem. (euler equation) consider the euler equidimensional equation (t−t 0)2 y′′ +a 1 (t−t 0)y ′ +a 0 y = 0, t > t 0, (2.4.1) where a 1, a 0, and t 0. Where a,. Euler's Equidimensional Equation.
From www.youtube.com
6 Euler's Equidimensional Equation YouTube Euler's Equidimensional Equation (euler equation) consider the euler equidimensional equation (t−t 0)2 y′′ +a 1 (t−t 0)y ′ +a 0 y = 0, t > t 0, (2.4.1) where a 1, a 0, and t 0. The second‐order homogeneous cauchy‐euler equidimensional equation has the form. For t > 0, consider euler's equidimensional equation: The guess y = tr. First, write down an equation. Euler's Equidimensional Equation.
From www.youtube.com
Cauchy Euler Differential Equation (equidimensional equation) YouTube Euler's Equidimensional Equation (euler equation) consider the euler equidimensional equation (t−t 0)2 y′′ +a 1 (t−t 0)y ′ +a 0 y = 0, t > t 0, (2.4.1) where a 1, a 0, and t 0. This is euler's equidimensional equation in your problem. Euler’s equidimensional equation is the ode x 2 y + pxy + qy = 0; A) show that setting. Euler's Equidimensional Equation.
From slideplayer.com
Study of Denominated Linear SOODEs ppt download Euler's Equidimensional Equation (euler equation) consider the euler equidimensional equation (t−t 0)2 y′′ +a 1 (t−t 0)y ′ +a 0 y = 0, t > t 0, (2.4.1) where a 1, a 0, and t 0. The second‐order homogeneous cauchy‐euler equidimensional equation has the form. This is euler's equidimensional equation in your problem. Euler’s equidimensional equation is the ode x 2 y +. Euler's Equidimensional Equation.
From www.numerade.com
SOLVED The equation x^2y" + pxy + qy = 0, where p and q are constants, is known as Euler's Euler's Equidimensional Equation The guess y = tr. (euler equation) consider the euler equidimensional equation (t−t 0)2 y′′ +a 1 (t−t 0)y ′ +a 0 y = 0, t > t 0, (2.4.1) where a 1, a 0, and t 0. Where a, b, and c are constants (and a ≠ 0). For t > 0, consider euler's equidimensional equation: This is euler's. Euler's Equidimensional Equation.
From andymath.com
Euler's Formula Euler's Equidimensional Equation Euler’s equidimensional equation is the ode x 2 y + pxy + qy = 0; First, write down an equation you don't know how to solve. The guess y = tr. (euler equation) consider the euler equidimensional equation (t−t 0)2 y′′ +a 1 (t−t 0)y ′ +a 0 y = 0, t > t 0, (2.4.1) where a 1, a. Euler's Equidimensional Equation.
From twitter.com
Fermat's Library on Twitter "Euler's Identity is a special case of Euler's Formula that Euler's Equidimensional Equation For t > 0, consider euler's equidimensional equation: The guess y = tr. First, write down an equation you don't know how to solve. (euler equation) consider the euler equidimensional equation (t−t 0)2 y′′ +a 1 (t−t 0)y ′ +a 0 y = 0, t > t 0, (2.4.1) where a 1, a 0, and t 0. This is euler's. Euler's Equidimensional Equation.
From www.alamy.com
Euler’s formula explained on a chalkboard Stock Photo Alamy Euler's Equidimensional Equation Where a, b, and c are constants (and a ≠ 0). For t > 0, consider euler's equidimensional equation: First, write down an equation you don't know how to solve. A) show that setting x = e t changes it into an equation with constant. Euler’s equidimensional equation is the ode x 2 y + pxy + qy = 0;. Euler's Equidimensional Equation.
From www.reddit.com
Geometric Intuition on Euler's Constant r/learnmath Euler's Equidimensional Equation A) show that setting x = e t changes it into an equation with constant. The guess y = tr. Euler’s equidimensional equation is the ode x 2 y + pxy + qy = 0; Where a, b, and c are constants (and a ≠ 0). (euler equation) consider the euler equidimensional equation (t−t 0)2 y′′ +a 1 (t−t 0)y. Euler's Equidimensional Equation.
From www.youtube.com
General Solution for Homogeneous CauchyEuler Equidimensional Equation YouTube Euler's Equidimensional Equation The second‐order homogeneous cauchy‐euler equidimensional equation has the form. (euler equation) consider the euler equidimensional equation (t−t 0)2 y′′ +a 1 (t−t 0)y ′ +a 0 y = 0, t > t 0, (2.4.1) where a 1, a 0, and t 0. First, write down an equation you don't know how to solve. Euler’s equidimensional equation is the ode x. Euler's Equidimensional Equation.
From www.nagwa.com
Lesson Video Euler’s Method Nagwa Euler's Equidimensional Equation (euler equation) consider the euler equidimensional equation (t−t 0)2 y′′ +a 1 (t−t 0)y ′ +a 0 y = 0, t > t 0, (2.4.1) where a 1, a 0, and t 0. A) show that setting x = e t changes it into an equation with constant. The second‐order homogeneous cauchy‐euler equidimensional equation has the form. This is euler's. Euler's Equidimensional Equation.
From www.youtube.com
Euler's Identity/Euler's Formula/Five Constants YouTube Euler's Equidimensional Equation Euler’s equidimensional equation is the ode x 2 y + pxy + qy = 0; A) show that setting x = e t changes it into an equation with constant. Where a, b, and c are constants (and a ≠ 0). (euler equation) consider the euler equidimensional equation (t−t 0)2 y′′ +a 1 (t−t 0)y ′ +a 0 y =. Euler's Equidimensional Equation.
From guide.freecodecamp.org
Euler's Method Explained with Examples Euler's Equidimensional Equation (euler equation) consider the euler equidimensional equation (t−t 0)2 y′′ +a 1 (t−t 0)y ′ +a 0 y = 0, t > t 0, (2.4.1) where a 1, a 0, and t 0. The guess y = tr. This is euler's equidimensional equation in your problem. A) show that setting x = e t changes it into an equation with. Euler's Equidimensional Equation.
From avopix.com
Euler's formula on white background. Royalty Free Stock Vector 1695526705 Euler's Equidimensional Equation The second‐order homogeneous cauchy‐euler equidimensional equation has the form. Euler’s equidimensional equation is the ode x 2 y + pxy + qy = 0; This is euler's equidimensional equation in your problem. Where a, b, and c are constants (and a ≠ 0). For t > 0, consider euler's equidimensional equation: A) show that setting x = e t changes. Euler's Equidimensional Equation.
From deminions.com
Ecuaciones de Euler Minions Euler's Equidimensional Equation This is euler's equidimensional equation in your problem. A) show that setting x = e t changes it into an equation with constant. (euler equation) consider the euler equidimensional equation (t−t 0)2 y′′ +a 1 (t−t 0)y ′ +a 0 y = 0, t > t 0, (2.4.1) where a 1, a 0, and t 0. First, write down an. Euler's Equidimensional Equation.
From www.slideserve.com
PPT Euler’s Equation PowerPoint Presentation, free download ID324004 Euler's Equidimensional Equation Euler’s equidimensional equation is the ode x 2 y + pxy + qy = 0; Where a, b, and c are constants (and a ≠ 0). The second‐order homogeneous cauchy‐euler equidimensional equation has the form. First, write down an equation you don't know how to solve. This is euler's equidimensional equation in your problem. For t > 0, consider euler's. Euler's Equidimensional Equation.
From www.youtube.com
Deriving The Euler Equation YouTube Euler's Equidimensional Equation Euler’s equidimensional equation is the ode x 2 y + pxy + qy = 0; The second‐order homogeneous cauchy‐euler equidimensional equation has the form. This is euler's equidimensional equation in your problem. For t > 0, consider euler's equidimensional equation: A) show that setting x = e t changes it into an equation with constant. (euler equation) consider the euler. Euler's Equidimensional Equation.