Vehicle Merchandiser Salary . The average salary for an automotive merchandising is $42,080 per year in us. Click here to see the total pay, recent salaries shared. Find out how your pay matches up with the more than 1,000 u.s. Click here to see the total pay, recent salaries shared and more! 18 auto merchandiser jobs available on indeed.com. Get the right vehicle merchandiser job with company ratings & salaries. 783 open jobs for vehicle merchandiser. The average salary for a vehicle merchandiser is $40,520 per year in canada. Franchised dealership employees and managers who answered the automotive. 23,593 vehicle merchandising jobs available on indeed.com. Apply to merchandiser, installer, stocker and more! Apply to route driver, merchandiser, store manager and more!
from www.istockphoto.com
The average salary for an automotive merchandising is $42,080 per year in us. Click here to see the total pay, recent salaries shared and more! Franchised dealership employees and managers who answered the automotive. Get the right vehicle merchandiser job with company ratings & salaries. The average salary for a vehicle merchandiser is $40,520 per year in canada. 18 auto merchandiser jobs available on indeed.com. Click here to see the total pay, recent salaries shared. Apply to merchandiser, installer, stocker and more! 23,593 vehicle merchandising jobs available on indeed.com. Find out how your pay matches up with the more than 1,000 u.s.
Merchandiser Checking Products Availibility For Car Repair Stock Photo Download Image Now iStock
Vehicle Merchandiser Salary The average salary for a vehicle merchandiser is $40,520 per year in canada. Click here to see the total pay, recent salaries shared. The average salary for an automotive merchandising is $42,080 per year in us. Franchised dealership employees and managers who answered the automotive. Apply to route driver, merchandiser, store manager and more! Apply to merchandiser, installer, stocker and more! Get the right vehicle merchandiser job with company ratings & salaries. 23,593 vehicle merchandising jobs available on indeed.com. Find out how your pay matches up with the more than 1,000 u.s. Click here to see the total pay, recent salaries shared and more! 18 auto merchandiser jobs available on indeed.com. The average salary for a vehicle merchandiser is $40,520 per year in canada. 783 open jobs for vehicle merchandiser.
From www.ziprecruiter.com
National Entertainment Network Retail Merchandiser Company Vehicle Job Paradise Valley Vehicle Merchandiser Salary 783 open jobs for vehicle merchandiser. The average salary for an automotive merchandising is $42,080 per year in us. The average salary for a vehicle merchandiser is $40,520 per year in canada. Click here to see the total pay, recent salaries shared and more! Click here to see the total pay, recent salaries shared. Apply to route driver, merchandiser, store. Vehicle Merchandiser Salary.
From www.youtube.com
Merchandiser Salary sa Canada YouTube Vehicle Merchandiser Salary 23,593 vehicle merchandising jobs available on indeed.com. Apply to route driver, merchandiser, store manager and more! The average salary for an automotive merchandising is $42,080 per year in us. 783 open jobs for vehicle merchandiser. 18 auto merchandiser jobs available on indeed.com. Apply to merchandiser, installer, stocker and more! Find out how your pay matches up with the more than. Vehicle Merchandiser Salary.
From www.checkasalary.co.uk
Merchandiser Salary in UK CheckaSalary Latest Data Vehicle Merchandiser Salary Click here to see the total pay, recent salaries shared. Click here to see the total pay, recent salaries shared and more! 23,593 vehicle merchandising jobs available on indeed.com. 18 auto merchandiser jobs available on indeed.com. Apply to merchandiser, installer, stocker and more! Get the right vehicle merchandiser job with company ratings & salaries. Franchised dealership employees and managers who. Vehicle Merchandiser Salary.
From keywordsuggest.org
Image Gallery merchandising jobs Vehicle Merchandiser Salary 18 auto merchandiser jobs available on indeed.com. Franchised dealership employees and managers who answered the automotive. The average salary for an automotive merchandising is $42,080 per year in us. 783 open jobs for vehicle merchandiser. Apply to route driver, merchandiser, store manager and more! Find out how your pay matches up with the more than 1,000 u.s. 23,593 vehicle merchandising. Vehicle Merchandiser Salary.
From www.zippia.com
Store Merchandiser Salary (January 2024) Zippia Vehicle Merchandiser Salary Find out how your pay matches up with the more than 1,000 u.s. 18 auto merchandiser jobs available on indeed.com. Get the right vehicle merchandiser job with company ratings & salaries. Apply to merchandiser, installer, stocker and more! 23,593 vehicle merchandising jobs available on indeed.com. Click here to see the total pay, recent salaries shared and more! Franchised dealership employees. Vehicle Merchandiser Salary.
From www.dreamstime.com
Mechanic and Merchandiser Using Tablet in Car Store Stock Image Image of merchandising Vehicle Merchandiser Salary Find out how your pay matches up with the more than 1,000 u.s. The average salary for an automotive merchandising is $42,080 per year in us. Apply to route driver, merchandiser, store manager and more! Click here to see the total pay, recent salaries shared and more! Click here to see the total pay, recent salaries shared. 23,593 vehicle merchandising. Vehicle Merchandiser Salary.
From www.dreamstime.com
Merchandiser at car store stock image. Image of merchandising 64981737 Vehicle Merchandiser Salary Get the right vehicle merchandiser job with company ratings & salaries. The average salary for an automotive merchandising is $42,080 per year in us. Click here to see the total pay, recent salaries shared and more! 783 open jobs for vehicle merchandiser. 18 auto merchandiser jobs available on indeed.com. Find out how your pay matches up with the more than. Vehicle Merchandiser Salary.
From www.comparably.com
Integrated Merchandising Solutions Salaries Comparably Vehicle Merchandiser Salary 18 auto merchandiser jobs available on indeed.com. Get the right vehicle merchandiser job with company ratings & salaries. Apply to merchandiser, installer, stocker and more! Apply to route driver, merchandiser, store manager and more! Click here to see the total pay, recent salaries shared and more! 23,593 vehicle merchandising jobs available on indeed.com. The average salary for an automotive merchandising. Vehicle Merchandiser Salary.
From www.checkasalary.co.uk
Merchandiser Salary in UK CheckaSalary Latest Data Vehicle Merchandiser Salary The average salary for a vehicle merchandiser is $40,520 per year in canada. Click here to see the total pay, recent salaries shared and more! 783 open jobs for vehicle merchandiser. Franchised dealership employees and managers who answered the automotive. 23,593 vehicle merchandising jobs available on indeed.com. Get the right vehicle merchandiser job with company ratings & salaries. 18 auto. Vehicle Merchandiser Salary.
From my.jobstreet.com
Merchandiser Salary in MY (September, 2024) Jobstreet Vehicle Merchandiser Salary Franchised dealership employees and managers who answered the automotive. The average salary for an automotive merchandising is $42,080 per year in us. Get the right vehicle merchandiser job with company ratings & salaries. Apply to merchandiser, installer, stocker and more! The average salary for a vehicle merchandiser is $40,520 per year in canada. Apply to route driver, merchandiser, store manager. Vehicle Merchandiser Salary.
From vesect.com
The Ultimate Product Manager Salary Guide for 2022 (2023) Vehicle Merchandiser Salary Find out how your pay matches up with the more than 1,000 u.s. The average salary for an automotive merchandising is $42,080 per year in us. Get the right vehicle merchandiser job with company ratings & salaries. 783 open jobs for vehicle merchandiser. 18 auto merchandiser jobs available on indeed.com. Click here to see the total pay, recent salaries shared.. Vehicle Merchandiser Salary.
From www.dreamstime.com
Merchandiser Checking Products Availibility for Car Repair Stock Photo Image of auto Vehicle Merchandiser Salary Apply to merchandiser, installer, stocker and more! Click here to see the total pay, recent salaries shared and more! Apply to route driver, merchandiser, store manager and more! 18 auto merchandiser jobs available on indeed.com. The average salary for a vehicle merchandiser is $40,520 per year in canada. 23,593 vehicle merchandising jobs available on indeed.com. 783 open jobs for vehicle. Vehicle Merchandiser Salary.
From motorsnippets.com
Approaches For Effective Online Vehicle Merchandising Motor Snippets Vehicle Merchandiser Salary Get the right vehicle merchandiser job with company ratings & salaries. 783 open jobs for vehicle merchandiser. The average salary for a vehicle merchandiser is $40,520 per year in canada. Apply to merchandiser, installer, stocker and more! 23,593 vehicle merchandising jobs available on indeed.com. The average salary for an automotive merchandising is $42,080 per year in us. Click here to. Vehicle Merchandiser Salary.
From www.youtube.com
WHAT IS THE SALARY OF VISUAL MERCHANDISER YouTube Vehicle Merchandiser Salary Find out how your pay matches up with the more than 1,000 u.s. 23,593 vehicle merchandising jobs available on indeed.com. Apply to route driver, merchandiser, store manager and more! The average salary for a vehicle merchandiser is $40,520 per year in canada. 783 open jobs for vehicle merchandiser. Get the right vehicle merchandiser job with company ratings & salaries. The. Vehicle Merchandiser Salary.
From www.facebook.com
NEW EMPLOYMENT AVAILABLE SENIOR FMCG SALES REP (Durban) (FMCG / Perishables / Merchandising Vehicle Merchandiser Salary 18 auto merchandiser jobs available on indeed.com. Apply to merchandiser, installer, stocker and more! 783 open jobs for vehicle merchandiser. Get the right vehicle merchandiser job with company ratings & salaries. Click here to see the total pay, recent salaries shared. The average salary for an automotive merchandising is $42,080 per year in us. 23,593 vehicle merchandising jobs available on. Vehicle Merchandiser Salary.
From slideplayer.com
5 Merchandising Operations and the MultipleStep Statement ppt download Vehicle Merchandiser Salary Apply to merchandiser, installer, stocker and more! Find out how your pay matches up with the more than 1,000 u.s. 18 auto merchandiser jobs available on indeed.com. Click here to see the total pay, recent salaries shared. Get the right vehicle merchandiser job with company ratings & salaries. The average salary for an automotive merchandising is $42,080 per year in. Vehicle Merchandiser Salary.
From www.velvetjobs.com
Product Merchandiser Job Description Velvet Jobs Vehicle Merchandiser Salary 783 open jobs for vehicle merchandiser. Apply to route driver, merchandiser, store manager and more! 18 auto merchandiser jobs available on indeed.com. Franchised dealership employees and managers who answered the automotive. Click here to see the total pay, recent salaries shared. 23,593 vehicle merchandising jobs available on indeed.com. Find out how your pay matches up with the more than 1,000. Vehicle Merchandiser Salary.
From www.istockphoto.com
Merchandiser Checking Products Availibility For Car Repair Stock Photo Download Image Now iStock Vehicle Merchandiser Salary 23,593 vehicle merchandising jobs available on indeed.com. Apply to route driver, merchandiser, store manager and more! Click here to see the total pay, recent salaries shared and more! 18 auto merchandiser jobs available on indeed.com. Get the right vehicle merchandiser job with company ratings & salaries. The average salary for a vehicle merchandiser is $40,520 per year in canada. Apply. Vehicle Merchandiser Salary.
From www.reconlogic.com
Vehicle Reconditioning & Digital Merchandising ReconLogic Vehicle Merchandiser Salary Franchised dealership employees and managers who answered the automotive. Apply to route driver, merchandiser, store manager and more! The average salary for an automotive merchandising is $42,080 per year in us. Get the right vehicle merchandiser job with company ratings & salaries. Click here to see the total pay, recent salaries shared and more! 783 open jobs for vehicle merchandiser.. Vehicle Merchandiser Salary.
From www.coxautoinc.com
Research Shows How Strong Merchandising with Used Cars Gives You an Edge Cox Automotive Inc. Vehicle Merchandiser Salary 23,593 vehicle merchandising jobs available on indeed.com. Apply to route driver, merchandiser, store manager and more! Click here to see the total pay, recent salaries shared and more! Find out how your pay matches up with the more than 1,000 u.s. The average salary for a vehicle merchandiser is $40,520 per year in canada. 783 open jobs for vehicle merchandiser.. Vehicle Merchandiser Salary.
From fuseautotech.com
Vehicle Merchandising Tips for Your Dealer Specials Page Vehicle Merchandiser Salary 18 auto merchandiser jobs available on indeed.com. Franchised dealership employees and managers who answered the automotive. Click here to see the total pay, recent salaries shared. Get the right vehicle merchandiser job with company ratings & salaries. Find out how your pay matches up with the more than 1,000 u.s. The average salary for an automotive merchandising is $42,080 per. Vehicle Merchandiser Salary.
From www.salaryexplorer.com
Visual Merchandiser Average Salary in United States 2022 The Complete Guide Vehicle Merchandiser Salary Get the right vehicle merchandiser job with company ratings & salaries. Franchised dealership employees and managers who answered the automotive. 18 auto merchandiser jobs available on indeed.com. 23,593 vehicle merchandising jobs available on indeed.com. Apply to route driver, merchandiser, store manager and more! Click here to see the total pay, recent salaries shared. The average salary for an automotive merchandising. Vehicle Merchandiser Salary.
From www.repsly.com
Merchandiser Definition, Job Description, Salary, and More Vehicle Merchandiser Salary 783 open jobs for vehicle merchandiser. Apply to route driver, merchandiser, store manager and more! 23,593 vehicle merchandising jobs available on indeed.com. Find out how your pay matches up with the more than 1,000 u.s. The average salary for a vehicle merchandiser is $40,520 per year in canada. Click here to see the total pay, recent salaries shared. Click here. Vehicle Merchandiser Salary.
From nigcareers.com
Merchandiser Job Description, Skills, and Salary Vehicle Merchandiser Salary 18 auto merchandiser jobs available on indeed.com. Find out how your pay matches up with the more than 1,000 u.s. Apply to merchandiser, installer, stocker and more! Click here to see the total pay, recent salaries shared and more! 23,593 vehicle merchandising jobs available on indeed.com. The average salary for an automotive merchandising is $42,080 per year in us. Get. Vehicle Merchandiser Salary.
From mydubaisalary.com
Visual Merchandising Jobs in Dubai Salary Overview My Dubai Salary Vehicle Merchandiser Salary Click here to see the total pay, recent salaries shared. Click here to see the total pay, recent salaries shared and more! The average salary for a vehicle merchandiser is $40,520 per year in canada. 783 open jobs for vehicle merchandiser. Apply to route driver, merchandiser, store manager and more! The average salary for an automotive merchandising is $42,080 per. Vehicle Merchandiser Salary.
From www.salaryexplorer.com
Visual Merchandiser Average Salary in Hong Kong 2023 The Complete Guide Vehicle Merchandiser Salary Get the right vehicle merchandiser job with company ratings & salaries. Click here to see the total pay, recent salaries shared. 783 open jobs for vehicle merchandiser. Apply to merchandiser, installer, stocker and more! Click here to see the total pay, recent salaries shared and more! Find out how your pay matches up with the more than 1,000 u.s. 23,593. Vehicle Merchandiser Salary.
From www.thebalancecareers.com
Retail Sales Merchandiser Job Description Salary, Skills, & More Vehicle Merchandiser Salary 18 auto merchandiser jobs available on indeed.com. Apply to route driver, merchandiser, store manager and more! The average salary for a vehicle merchandiser is $40,520 per year in canada. Franchised dealership employees and managers who answered the automotive. Get the right vehicle merchandiser job with company ratings & salaries. The average salary for an automotive merchandising is $42,080 per year. Vehicle Merchandiser Salary.
From www.youtube.com
🟥🟩Merchandiser Job Salary In Bangladesh Textile Merchandising Salary Apparel Merchandiser Vehicle Merchandiser Salary Find out how your pay matches up with the more than 1,000 u.s. The average salary for an automotive merchandising is $42,080 per year in us. Get the right vehicle merchandiser job with company ratings & salaries. Click here to see the total pay, recent salaries shared. Franchised dealership employees and managers who answered the automotive. Apply to merchandiser, installer,. Vehicle Merchandiser Salary.
From www.dreamstime.com
Merchandiser Making Inventory at Car Store Stock Photo Image of supermarket, manager 64982290 Vehicle Merchandiser Salary Apply to route driver, merchandiser, store manager and more! Find out how your pay matches up with the more than 1,000 u.s. Get the right vehicle merchandiser job with company ratings & salaries. Click here to see the total pay, recent salaries shared and more! Apply to merchandiser, installer, stocker and more! The average salary for an automotive merchandising is. Vehicle Merchandiser Salary.
From www.certmag.com
Salary Survey 2022 For IT professionals and others, the past was present Vehicle Merchandiser Salary Apply to merchandiser, installer, stocker and more! Franchised dealership employees and managers who answered the automotive. Click here to see the total pay, recent salaries shared. 18 auto merchandiser jobs available on indeed.com. Get the right vehicle merchandiser job with company ratings & salaries. Apply to route driver, merchandiser, store manager and more! The average salary for a vehicle merchandiser. Vehicle Merchandiser Salary.
From www.salaryexplorer.com
Visual Merchandiser Average Salary in United States 2022 The Complete Guide Vehicle Merchandiser Salary Click here to see the total pay, recent salaries shared and more! Click here to see the total pay, recent salaries shared. 23,593 vehicle merchandising jobs available on indeed.com. Franchised dealership employees and managers who answered the automotive. The average salary for an automotive merchandising is $42,080 per year in us. The average salary for a vehicle merchandiser is $40,520. Vehicle Merchandiser Salary.
From www.levels.fyi
Redline Automotive Merchandising Software Engineer Salary Levels.fyi Vehicle Merchandiser Salary Apply to route driver, merchandiser, store manager and more! Apply to merchandiser, installer, stocker and more! Click here to see the total pay, recent salaries shared. Find out how your pay matches up with the more than 1,000 u.s. The average salary for an automotive merchandising is $42,080 per year in us. The average salary for a vehicle merchandiser is. Vehicle Merchandiser Salary.
From www.seek.co.nz
Merchandiser Salary in NZ (October, 2024) SEEK Vehicle Merchandiser Salary Apply to route driver, merchandiser, store manager and more! Click here to see the total pay, recent salaries shared. Click here to see the total pay, recent salaries shared and more! Apply to merchandiser, installer, stocker and more! 23,593 vehicle merchandising jobs available on indeed.com. 783 open jobs for vehicle merchandiser. Franchised dealership employees and managers who answered the automotive.. Vehicle Merchandiser Salary.
From www.numerade.com
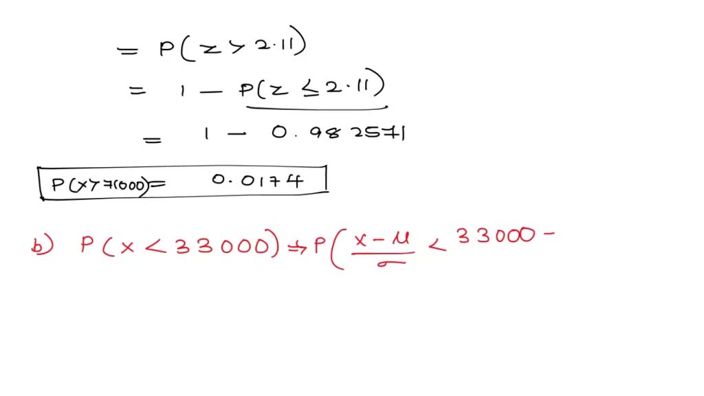
SOLVED The average salary of merchandisers is 52,000 per year with a standard deviation of9000 Vehicle Merchandiser Salary Apply to route driver, merchandiser, store manager and more! Franchised dealership employees and managers who answered the automotive. Click here to see the total pay, recent salaries shared. 18 auto merchandiser jobs available on indeed.com. The average salary for an automotive merchandising is $42,080 per year in us. Find out how your pay matches up with the more than 1,000. Vehicle Merchandiser Salary.
From www.velvetjobs.com
Reset Merchandiser Salary (Actual 2024 Projected 2025) VelvetJobs Vehicle Merchandiser Salary The average salary for an automotive merchandising is $42,080 per year in us. 783 open jobs for vehicle merchandiser. Find out how your pay matches up with the more than 1,000 u.s. The average salary for a vehicle merchandiser is $40,520 per year in canada. 18 auto merchandiser jobs available on indeed.com. Click here to see the total pay, recent. Vehicle Merchandiser Salary.