Does Maryland Have Concealed Carry . Around 24,000 concealed carry in maryland, which equates to only 0.4% of the population. This permit is described in state law under maryland public safety article §§. Unfortunately, maryland does not recognize constitutional carry, meaning a permit is required to carry concealed firearms. Restriction on the wear, carry and transport of handguns and firearms in certain places appear throughout maryland law and regulations. State law prohibits the open carry of handguns for permit holders, so they must be carried concealed. Can you carry a gun in maryland? Understanding how your gun rights. Open and concealed carry are legal in maryland only for maryland wear/carry handgun permit (wchp). Find related gun law details from. Research maryland state laws on concealed carry, including what is regulated and what's not. Open carry laws maryland permits open carry for individuals with a. Concealed weapons permits are issued at the state level by the.
from www.facebook.com
Research maryland state laws on concealed carry, including what is regulated and what's not. Concealed weapons permits are issued at the state level by the. Open and concealed carry are legal in maryland only for maryland wear/carry handgun permit (wchp). Find related gun law details from. Understanding how your gun rights. Can you carry a gun in maryland? Restriction on the wear, carry and transport of handguns and firearms in certain places appear throughout maryland law and regulations. State law prohibits the open carry of handguns for permit holders, so they must be carried concealed. Around 24,000 concealed carry in maryland, which equates to only 0.4% of the population. Open carry laws maryland permits open carry for individuals with a.
10/27/2024 Contemporary Reformation Sunday Service 10/27/2024
Does Maryland Have Concealed Carry Concealed weapons permits are issued at the state level by the. State law prohibits the open carry of handguns for permit holders, so they must be carried concealed. Open carry laws maryland permits open carry for individuals with a. Research maryland state laws on concealed carry, including what is regulated and what's not. Understanding how your gun rights. This permit is described in state law under maryland public safety article §§. Find related gun law details from. Concealed weapons permits are issued at the state level by the. Can you carry a gun in maryland? Around 24,000 concealed carry in maryland, which equates to only 0.4% of the population. Open and concealed carry are legal in maryland only for maryland wear/carry handgun permit (wchp). Unfortunately, maryland does not recognize constitutional carry, meaning a permit is required to carry concealed firearms. Restriction on the wear, carry and transport of handguns and firearms in certain places appear throughout maryland law and regulations.
From www.scribd.com
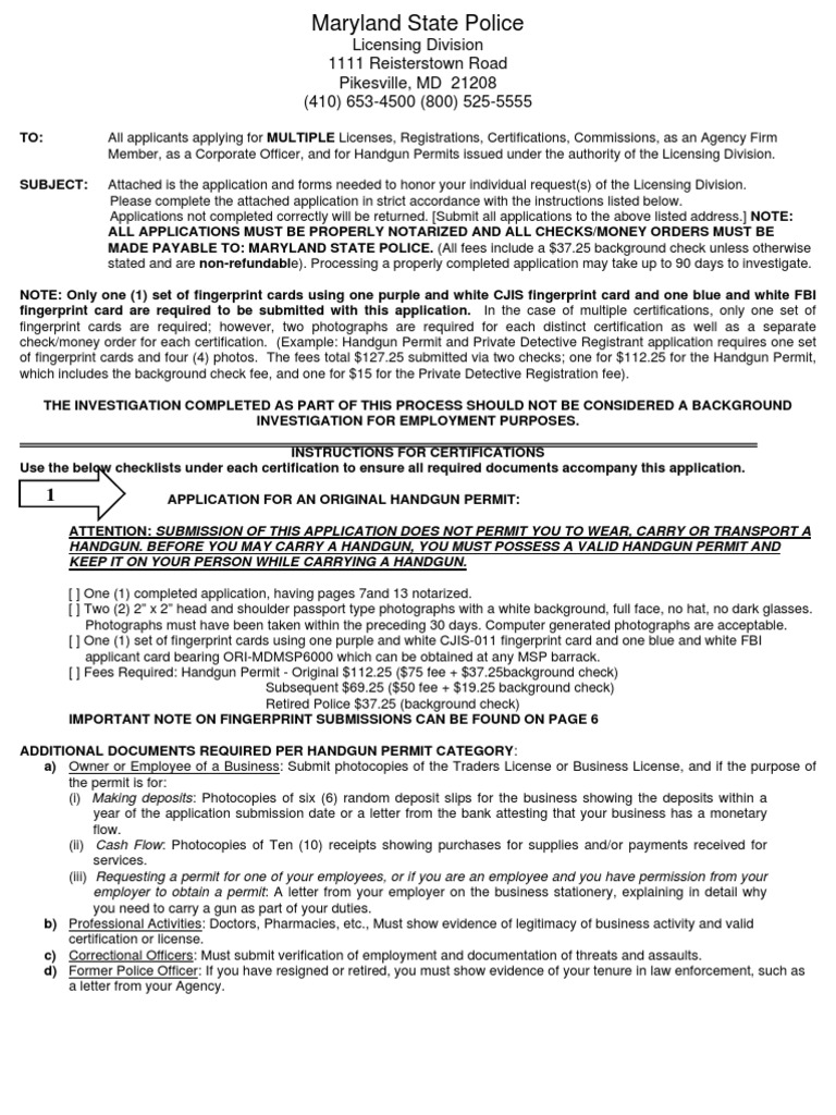
Application for concealed carry in Maryland Security Guard Does Maryland Have Concealed Carry Can you carry a gun in maryland? State law prohibits the open carry of handguns for permit holders, so they must be carried concealed. Open carry laws maryland permits open carry for individuals with a. Research maryland state laws on concealed carry, including what is regulated and what's not. Understanding how your gun rights. Open and concealed carry are legal. Does Maryland Have Concealed Carry.
From www.facebook.com
to WTCC 9/22/24 Sunday Service "The Great Deliverer" By Does Maryland Have Concealed Carry Find related gun law details from. Research maryland state laws on concealed carry, including what is regulated and what's not. Restriction on the wear, carry and transport of handguns and firearms in certain places appear throughout maryland law and regulations. Around 24,000 concealed carry in maryland, which equates to only 0.4% of the population. This permit is described in state. Does Maryland Have Concealed Carry.
From klakujqva.blob.core.windows.net
Concealed Carry States 2021 at Christopher Ofarrell blog Does Maryland Have Concealed Carry State law prohibits the open carry of handguns for permit holders, so they must be carried concealed. Research maryland state laws on concealed carry, including what is regulated and what's not. This permit is described in state law under maryland public safety article §§. Restriction on the wear, carry and transport of handguns and firearms in certain places appear throughout. Does Maryland Have Concealed Carry.
From wtop.com
‘Exceptionally lethal’ Maryland’s battle over concealedcarry permits Does Maryland Have Concealed Carry Find related gun law details from. Open carry laws maryland permits open carry for individuals with a. Understanding how your gun rights. Around 24,000 concealed carry in maryland, which equates to only 0.4% of the population. This permit is described in state law under maryland public safety article §§. Open and concealed carry are legal in maryland only for maryland. Does Maryland Have Concealed Carry.
From www.youtube.com
Major changes coming for Maryland's "concealed carry" law YouTube Does Maryland Have Concealed Carry Around 24,000 concealed carry in maryland, which equates to only 0.4% of the population. Unfortunately, maryland does not recognize constitutional carry, meaning a permit is required to carry concealed firearms. Research maryland state laws on concealed carry, including what is regulated and what's not. Find related gun law details from. This permit is described in state law under maryland public. Does Maryland Have Concealed Carry.
From www.fox17online.com
Concealed carry without a permit in MI? Here’s where it’s already allowed Does Maryland Have Concealed Carry Around 24,000 concealed carry in maryland, which equates to only 0.4% of the population. Understanding how your gun rights. This permit is described in state law under maryland public safety article §§. Find related gun law details from. Open and concealed carry are legal in maryland only for maryland wear/carry handgun permit (wchp). Open carry laws maryland permits open carry. Does Maryland Have Concealed Carry.
From cevjkdhy.blob.core.windows.net
Can You Conceal A Gun In California at Bruce Dick blog Does Maryland Have Concealed Carry State law prohibits the open carry of handguns for permit holders, so they must be carried concealed. This permit is described in state law under maryland public safety article §§. Concealed weapons permits are issued at the state level by the. Open carry laws maryland permits open carry for individuals with a. Can you carry a gun in maryland? Restriction. Does Maryland Have Concealed Carry.
From mavink.com
Concealed Carry States Map Does Maryland Have Concealed Carry State law prohibits the open carry of handguns for permit holders, so they must be carried concealed. Can you carry a gun in maryland? Open and concealed carry are legal in maryland only for maryland wear/carry handgun permit (wchp). Around 24,000 concealed carry in maryland, which equates to only 0.4% of the population. Open carry laws maryland permits open carry. Does Maryland Have Concealed Carry.
From baltimorepostexaminer.com
Concealed Carry Does Maryland State Police Need to Know if Permit Does Maryland Have Concealed Carry Open and concealed carry are legal in maryland only for maryland wear/carry handgun permit (wchp). Can you carry a gun in maryland? Concealed weapons permits are issued at the state level by the. Understanding how your gun rights. Restriction on the wear, carry and transport of handguns and firearms in certain places appear throughout maryland law and regulations. Open carry. Does Maryland Have Concealed Carry.
From marylandshallissue.org
Maryland Wear and Carry Permits Maryland Shall Issue®, Inc. Does Maryland Have Concealed Carry Unfortunately, maryland does not recognize constitutional carry, meaning a permit is required to carry concealed firearms. Open carry laws maryland permits open carry for individuals with a. Restriction on the wear, carry and transport of handguns and firearms in certain places appear throughout maryland law and regulations. Concealed weapons permits are issued at the state level by the. Around 24,000. Does Maryland Have Concealed Carry.
From mnfirearms.com
FLORIDA MultiState Permit to Carry Upgrade MN Firearms Training Does Maryland Have Concealed Carry Around 24,000 concealed carry in maryland, which equates to only 0.4% of the population. Concealed weapons permits are issued at the state level by the. Understanding how your gun rights. Open and concealed carry are legal in maryland only for maryland wear/carry handgun permit (wchp). This permit is described in state law under maryland public safety article §§. Research maryland. Does Maryland Have Concealed Carry.
From www.thetrace.org
These States Don’t Test Your Shooting Skills Before Issuing a Concealed Does Maryland Have Concealed Carry Research maryland state laws on concealed carry, including what is regulated and what's not. State law prohibits the open carry of handguns for permit holders, so they must be carried concealed. Unfortunately, maryland does not recognize constitutional carry, meaning a permit is required to carry concealed firearms. Around 24,000 concealed carry in maryland, which equates to only 0.4% of the. Does Maryland Have Concealed Carry.
From www.facebook.com
Revival Night 3 Guest Preacher Rev. Wayne Cockrell By Mt. Zion Does Maryland Have Concealed Carry Find related gun law details from. Unfortunately, maryland does not recognize constitutional carry, meaning a permit is required to carry concealed firearms. Can you carry a gun in maryland? Restriction on the wear, carry and transport of handguns and firearms in certain places appear throughout maryland law and regulations. Concealed weapons permits are issued at the state level by the.. Does Maryland Have Concealed Carry.
From www.facebook.com
10/27/2024 Contemporary Reformation Sunday Service 10/27/2024 Does Maryland Have Concealed Carry Can you carry a gun in maryland? Understanding how your gun rights. Unfortunately, maryland does not recognize constitutional carry, meaning a permit is required to carry concealed firearms. State law prohibits the open carry of handguns for permit holders, so they must be carried concealed. This permit is described in state law under maryland public safety article §§. Research maryland. Does Maryland Have Concealed Carry.
From concealednation.org
Did You Know There’s An Interactive Concealed Carry Reciprocity Map Out Does Maryland Have Concealed Carry Can you carry a gun in maryland? Unfortunately, maryland does not recognize constitutional carry, meaning a permit is required to carry concealed firearms. This permit is described in state law under maryland public safety article §§. Concealed weapons permits are issued at the state level by the. Around 24,000 concealed carry in maryland, which equates to only 0.4% of the. Does Maryland Have Concealed Carry.
From exosbmzlx.blob.core.windows.net
Concealed Carry Permitless States at Jose Herron blog Does Maryland Have Concealed Carry Concealed weapons permits are issued at the state level by the. Unfortunately, maryland does not recognize constitutional carry, meaning a permit is required to carry concealed firearms. State law prohibits the open carry of handguns for permit holders, so they must be carried concealed. Open and concealed carry are legal in maryland only for maryland wear/carry handgun permit (wchp). Can. Does Maryland Have Concealed Carry.
From www.facebook.com
THIS MORNING SHOW 23.10.24 THIS MORNING SHOW By QTV Gambia Hello Does Maryland Have Concealed Carry Research maryland state laws on concealed carry, including what is regulated and what's not. Around 24,000 concealed carry in maryland, which equates to only 0.4% of the population. Find related gun law details from. This permit is described in state law under maryland public safety article §§. Restriction on the wear, carry and transport of handguns and firearms in certain. Does Maryland Have Concealed Carry.
From www.facebook.com
THIS MORNING SHOW 23.10.24 THIS MORNING SHOW By QTV Gambia Hello Does Maryland Have Concealed Carry Open carry laws maryland permits open carry for individuals with a. Find related gun law details from. Open and concealed carry are legal in maryland only for maryland wear/carry handgun permit (wchp). Understanding how your gun rights. Unfortunately, maryland does not recognize constitutional carry, meaning a permit is required to carry concealed firearms. Around 24,000 concealed carry in maryland, which. Does Maryland Have Concealed Carry.
From www.facebook.com
to WTCC 9/22/24 Sunday Service "The Great Deliverer" By Does Maryland Have Concealed Carry State law prohibits the open carry of handguns for permit holders, so they must be carried concealed. Find related gun law details from. Can you carry a gun in maryland? Restriction on the wear, carry and transport of handguns and firearms in certain places appear throughout maryland law and regulations. Unfortunately, maryland does not recognize constitutional carry, meaning a permit. Does Maryland Have Concealed Carry.
From www.youtube.com
How to get your Maryland concealed carry permit (Updated) YouTube Does Maryland Have Concealed Carry Research maryland state laws on concealed carry, including what is regulated and what's not. State law prohibits the open carry of handguns for permit holders, so they must be carried concealed. Find related gun law details from. Unfortunately, maryland does not recognize constitutional carry, meaning a permit is required to carry concealed firearms. Around 24,000 concealed carry in maryland, which. Does Maryland Have Concealed Carry.
From printablemapforyou.com
Florida Non Resident Ccw Reciprocity Map Printable Maps Does Maryland Have Concealed Carry Find related gun law details from. This permit is described in state law under maryland public safety article §§. Restriction on the wear, carry and transport of handguns and firearms in certain places appear throughout maryland law and regulations. Unfortunately, maryland does not recognize constitutional carry, meaning a permit is required to carry concealed firearms. Open carry laws maryland permits. Does Maryland Have Concealed Carry.
From joigczpmm.blob.core.windows.net
Concealed Carry Holster Jeans at Dennis Gallegos blog Does Maryland Have Concealed Carry State law prohibits the open carry of handguns for permit holders, so they must be carried concealed. Restriction on the wear, carry and transport of handguns and firearms in certain places appear throughout maryland law and regulations. Around 24,000 concealed carry in maryland, which equates to only 0.4% of the population. Can you carry a gun in maryland? Unfortunately, maryland. Does Maryland Have Concealed Carry.
From everydaycarryconcealed.com
Why Do People Use A Concealed Carry Badge? And Why You Shouldn't Does Maryland Have Concealed Carry Open carry laws maryland permits open carry for individuals with a. Open and concealed carry are legal in maryland only for maryland wear/carry handgun permit (wchp). Restriction on the wear, carry and transport of handguns and firearms in certain places appear throughout maryland law and regulations. State law prohibits the open carry of handguns for permit holders, so they must. Does Maryland Have Concealed Carry.
From legallyprotected.net
MD Wear & Carry Permit (225) Legally Protected Does Maryland Have Concealed Carry Can you carry a gun in maryland? This permit is described in state law under maryland public safety article §§. Around 24,000 concealed carry in maryland, which equates to only 0.4% of the population. Open carry laws maryland permits open carry for individuals with a. Understanding how your gun rights. Unfortunately, maryland does not recognize constitutional carry, meaning a permit. Does Maryland Have Concealed Carry.
From dxoynyjjw.blob.core.windows.net
Open Carry Knife Laws at Christopher Palmer blog Does Maryland Have Concealed Carry State law prohibits the open carry of handguns for permit holders, so they must be carried concealed. Can you carry a gun in maryland? Around 24,000 concealed carry in maryland, which equates to only 0.4% of the population. Unfortunately, maryland does not recognize constitutional carry, meaning a permit is required to carry concealed firearms. Restriction on the wear, carry and. Does Maryland Have Concealed Carry.
From www.usconcealedcarry.com
Rhode Island Concealed Carry Gun Laws CCW & Reciprocity Map USCCA Does Maryland Have Concealed Carry Concealed weapons permits are issued at the state level by the. Restriction on the wear, carry and transport of handguns and firearms in certain places appear throughout maryland law and regulations. Unfortunately, maryland does not recognize constitutional carry, meaning a permit is required to carry concealed firearms. State law prohibits the open carry of handguns for permit holders, so they. Does Maryland Have Concealed Carry.
From www.facebook.com
to WTCC 9/22/24 Sunday Service "The Great Deliverer" By Does Maryland Have Concealed Carry Research maryland state laws on concealed carry, including what is regulated and what's not. Open and concealed carry are legal in maryland only for maryland wear/carry handgun permit (wchp). Can you carry a gun in maryland? Find related gun law details from. Unfortunately, maryland does not recognize constitutional carry, meaning a permit is required to carry concealed firearms. Open carry. Does Maryland Have Concealed Carry.
From printable-maphq.com
Florida Reciprocity Concealed Carry Map Printable Maps Does Maryland Have Concealed Carry Concealed weapons permits are issued at the state level by the. State law prohibits the open carry of handguns for permit holders, so they must be carried concealed. Open and concealed carry are legal in maryland only for maryland wear/carry handgun permit (wchp). Around 24,000 concealed carry in maryland, which equates to only 0.4% of the population. Open carry laws. Does Maryland Have Concealed Carry.
From www.facebook.com
THIS MORNING SHOW 23.10.24 THIS MORNING SHOW By QTV Gambia Hello Does Maryland Have Concealed Carry Around 24,000 concealed carry in maryland, which equates to only 0.4% of the population. Open and concealed carry are legal in maryland only for maryland wear/carry handgun permit (wchp). Research maryland state laws on concealed carry, including what is regulated and what's not. Unfortunately, maryland does not recognize constitutional carry, meaning a permit is required to carry concealed firearms. Restriction. Does Maryland Have Concealed Carry.
From www.facebook.com
to WTCC 9/22/24 Sunday Service "The Great Deliverer" By Does Maryland Have Concealed Carry Restriction on the wear, carry and transport of handguns and firearms in certain places appear throughout maryland law and regulations. Unfortunately, maryland does not recognize constitutional carry, meaning a permit is required to carry concealed firearms. Open carry laws maryland permits open carry for individuals with a. Around 24,000 concealed carry in maryland, which equates to only 0.4% of the. Does Maryland Have Concealed Carry.
From printablemapforyou.com
Florida Reciprocity Concealed Carry Map Printable Maps Does Maryland Have Concealed Carry Research maryland state laws on concealed carry, including what is regulated and what's not. Restriction on the wear, carry and transport of handguns and firearms in certain places appear throughout maryland law and regulations. Open carry laws maryland permits open carry for individuals with a. Concealed weapons permits are issued at the state level by the. Open and concealed carry. Does Maryland Have Concealed Carry.
From www.facebook.com
Revival Night 3 Guest Preacher Rev. Wayne Cockrell By Mt. Zion Does Maryland Have Concealed Carry Restriction on the wear, carry and transport of handguns and firearms in certain places appear throughout maryland law and regulations. Can you carry a gun in maryland? Open and concealed carry are legal in maryland only for maryland wear/carry handgun permit (wchp). Unfortunately, maryland does not recognize constitutional carry, meaning a permit is required to carry concealed firearms. Understanding how. Does Maryland Have Concealed Carry.
From www.youtube.com
How to Apply for An Unrestricted Maryland Handgun Permit YouTube Does Maryland Have Concealed Carry Open and concealed carry are legal in maryland only for maryland wear/carry handgun permit (wchp). Can you carry a gun in maryland? State law prohibits the open carry of handguns for permit holders, so they must be carried concealed. Restriction on the wear, carry and transport of handguns and firearms in certain places appear throughout maryland law and regulations. Open. Does Maryland Have Concealed Carry.
From www.youtube.com
How to get A Maryland CCW Hurdling the Good & Substantial Clause YouTube Does Maryland Have Concealed Carry Understanding how your gun rights. Restriction on the wear, carry and transport of handguns and firearms in certain places appear throughout maryland law and regulations. Concealed weapons permits are issued at the state level by the. State law prohibits the open carry of handguns for permit holders, so they must be carried concealed. Find related gun law details from. Open. Does Maryland Have Concealed Carry.
From marylandshallissue.org
Maryland Wear and Carry Permits Maryland Shall Issue®, Inc. Does Maryland Have Concealed Carry Open and concealed carry are legal in maryland only for maryland wear/carry handgun permit (wchp). Understanding how your gun rights. State law prohibits the open carry of handguns for permit holders, so they must be carried concealed. Research maryland state laws on concealed carry, including what is regulated and what's not. Open carry laws maryland permits open carry for individuals. Does Maryland Have Concealed Carry.