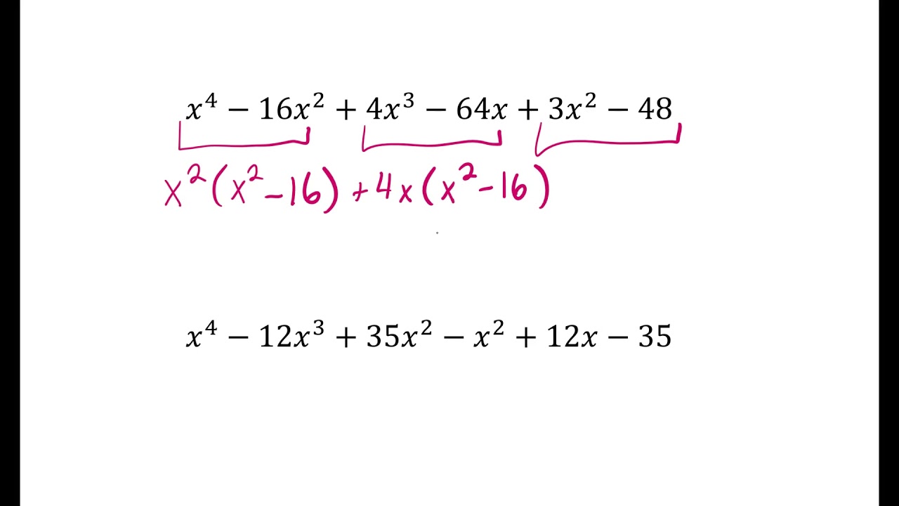
Factor By Grouping Math Is Fun . finding what to multiply to get the quadratic. how to factor by grouping? to factor a quadratic equation by grouping, start by multiplying the a term by the c term to get the master product. It is called factoring because we find the factors (a factor is something we multiply by) let us expand (x+4) and. Next, look for the factor pair that has a sum equal to the b term in the equation, and split the b term into 2. Just like it says, factoring by grouping means that you will group terms with common factors before factoring. Then, list all of the factors of your master product, and separate them into their natural pairs. Group terms with common factors. 3 complete examples of solving quadratic equations using factoring by grouping are shown. As you can see, this is done. Factor out the common factor in each group.
from www.showme.com
Next, look for the factor pair that has a sum equal to the b term in the equation, and split the b term into 2. It is called factoring because we find the factors (a factor is something we multiply by) let us expand (x+4) and. Just like it says, factoring by grouping means that you will group terms with common factors before factoring. As you can see, this is done. finding what to multiply to get the quadratic. Then, list all of the factors of your master product, and separate them into their natural pairs. 3 complete examples of solving quadratic equations using factoring by grouping are shown. to factor a quadratic equation by grouping, start by multiplying the a term by the c term to get the master product. how to factor by grouping? Factor out the common factor in each group.
20 Factor by Grouping Math, Algebra ShowMe
Factor By Grouping Math Is Fun Then, list all of the factors of your master product, and separate them into their natural pairs. Just like it says, factoring by grouping means that you will group terms with common factors before factoring. 3 complete examples of solving quadratic equations using factoring by grouping are shown. Then, list all of the factors of your master product, and separate them into their natural pairs. Next, look for the factor pair that has a sum equal to the b term in the equation, and split the b term into 2. Group terms with common factors. how to factor by grouping? finding what to multiply to get the quadratic. It is called factoring because we find the factors (a factor is something we multiply by) let us expand (x+4) and. Factor out the common factor in each group. As you can see, this is done. to factor a quadratic equation by grouping, start by multiplying the a term by the c term to get the master product.
From www.showme.com
Factoring Trinomials by Grouping Math, Algebra, Factoring ShowMe Factor By Grouping Math Is Fun to factor a quadratic equation by grouping, start by multiplying the a term by the c term to get the master product. As you can see, this is done. Then, list all of the factors of your master product, and separate them into their natural pairs. It is called factoring because we find the factors (a factor is something. Factor By Grouping Math Is Fun.
From www.expii.com
Factor by Grouping Definition & Examples Expii Factor By Grouping Math Is Fun It is called factoring because we find the factors (a factor is something we multiply by) let us expand (x+4) and. As you can see, this is done. Factor out the common factor in each group. Next, look for the factor pair that has a sum equal to the b term in the equation, and split the b term into. Factor By Grouping Math Is Fun.
From www.youtube.com
Factor by Grouping (Part 2) +GCF & DOTS YouTube Factor By Grouping Math Is Fun Then, list all of the factors of your master product, and separate them into their natural pairs. It is called factoring because we find the factors (a factor is something we multiply by) let us expand (x+4) and. Group terms with common factors. Factor out the common factor in each group. Just like it says, factoring by grouping means that. Factor By Grouping Math Is Fun.
From www.factorworksheets.com
Factoring By Grouping Box Method Worksheet Factor By Grouping Math Is Fun Just like it says, factoring by grouping means that you will group terms with common factors before factoring. 3 complete examples of solving quadratic equations using factoring by grouping are shown. As you can see, this is done. Factor out the common factor in each group. how to factor by grouping? It is called factoring because we find the. Factor By Grouping Math Is Fun.
From www.youtube.com
Find Factors by Grouping and then Solve StepbyStep Explanation Factor By Grouping Math Is Fun Then, list all of the factors of your master product, and separate them into their natural pairs. As you can see, this is done. finding what to multiply to get the quadratic. Next, look for the factor pair that has a sum equal to the b term in the equation, and split the b term into 2. 3 complete. Factor By Grouping Math Is Fun.
From www.youtube.com
Factoring by Grouping in Pairs YouTube Factor By Grouping Math Is Fun Next, look for the factor pair that has a sum equal to the b term in the equation, and split the b term into 2. Factor out the common factor in each group. Then, list all of the factors of your master product, and separate them into their natural pairs. As you can see, this is done. finding what. Factor By Grouping Math Is Fun.
From www.wikihow.com
How to Factor by Grouping (with Pictures) wikiHow Factor By Grouping Math Is Fun Factor out the common factor in each group. Then, list all of the factors of your master product, and separate them into their natural pairs. to factor a quadratic equation by grouping, start by multiplying the a term by the c term to get the master product. finding what to multiply to get the quadratic. Next, look for. Factor By Grouping Math Is Fun.
From hillhouse4design.com
factoring by grouping examples Factor By Grouping Math Is Fun It is called factoring because we find the factors (a factor is something we multiply by) let us expand (x+4) and. to factor a quadratic equation by grouping, start by multiplying the a term by the c term to get the master product. Just like it says, factoring by grouping means that you will group terms with common factors. Factor By Grouping Math Is Fun.
From www.showme.com
Math 091 4 Terms Factoring by Grouping Math ShowMe Factor By Grouping Math Is Fun Factor out the common factor in each group. Just like it says, factoring by grouping means that you will group terms with common factors before factoring. how to factor by grouping? It is called factoring because we find the factors (a factor is something we multiply by) let us expand (x+4) and. finding what to multiply to get. Factor By Grouping Math Is Fun.
From www.youtube.com
Factoring by Grouping YouTube Factor By Grouping Math Is Fun Then, list all of the factors of your master product, and separate them into their natural pairs. finding what to multiply to get the quadratic. Next, look for the factor pair that has a sum equal to the b term in the equation, and split the b term into 2. 3 complete examples of solving quadratic equations using factoring. Factor By Grouping Math Is Fun.
From www.youtube.com
Easy Factor by Grouping Algebra 2 YouTube Factor By Grouping Math Is Fun Factor out the common factor in each group. finding what to multiply to get the quadratic. Then, list all of the factors of your master product, and separate them into their natural pairs. 3 complete examples of solving quadratic equations using factoring by grouping are shown. how to factor by grouping? Just like it says, factoring by grouping. Factor By Grouping Math Is Fun.
From www.storyofmathematics.com
Factor by Grouping Methods & Examples Factor By Grouping Math Is Fun Group terms with common factors. It is called factoring because we find the factors (a factor is something we multiply by) let us expand (x+4) and. finding what to multiply to get the quadratic. 3 complete examples of solving quadratic equations using factoring by grouping are shown. Just like it says, factoring by grouping means that you will group. Factor By Grouping Math Is Fun.
From calcworkshop.com
How to Factor by Grouping? (15+ Amazing Examples!) Factor By Grouping Math Is Fun to factor a quadratic equation by grouping, start by multiplying the a term by the c term to get the master product. As you can see, this is done. It is called factoring because we find the factors (a factor is something we multiply by) let us expand (x+4) and. Then, list all of the factors of your master. Factor By Grouping Math Is Fun.
From www.youtube.com
Factoring by Grouping Factoring Polynomials YouTube Factor By Grouping Math Is Fun how to factor by grouping? Factor out the common factor in each group. It is called factoring because we find the factors (a factor is something we multiply by) let us expand (x+4) and. Group terms with common factors. As you can see, this is done. finding what to multiply to get the quadratic. to factor a. Factor By Grouping Math Is Fun.
From www.youtube.com
How Do You Factor by Grouping 4 Terms? YouTube Factor By Grouping Math Is Fun finding what to multiply to get the quadratic. to factor a quadratic equation by grouping, start by multiplying the a term by the c term to get the master product. Group terms with common factors. Just like it says, factoring by grouping means that you will group terms with common factors before factoring. 3 complete examples of solving. Factor By Grouping Math Is Fun.
From study.com
Factoring by Grouping Definition, Steps & Examples Lesson Factor By Grouping Math Is Fun Group terms with common factors. Then, list all of the factors of your master product, and separate them into their natural pairs. finding what to multiply to get the quadratic. Next, look for the factor pair that has a sum equal to the b term in the equation, and split the b term into 2. Just like it says,. Factor By Grouping Math Is Fun.
From www.youtube.com
09 Factor by Grouping in Algebra (Factoring Trinomials, Quadratics Factor By Grouping Math Is Fun Then, list all of the factors of your master product, and separate them into their natural pairs. 3 complete examples of solving quadratic equations using factoring by grouping are shown. Just like it says, factoring by grouping means that you will group terms with common factors before factoring. Group terms with common factors. As you can see, this is done.. Factor By Grouping Math Is Fun.
From www.youtube.com
Factor By Grouping with 4 or 6 Terms YouTube Factor By Grouping Math Is Fun 3 complete examples of solving quadratic equations using factoring by grouping are shown. Factor out the common factor in each group. how to factor by grouping? to factor a quadratic equation by grouping, start by multiplying the a term by the c term to get the master product. As you can see, this is done. Just like it. Factor By Grouping Math Is Fun.
From www.youtube.com
Factor by Grouping Method YouTube Factor By Grouping Math Is Fun Just like it says, factoring by grouping means that you will group terms with common factors before factoring. how to factor by grouping? 3 complete examples of solving quadratic equations using factoring by grouping are shown. Group terms with common factors. Factor out the common factor in each group. Then, list all of the factors of your master product,. Factor By Grouping Math Is Fun.
From www.youtube.com
Factor by Grouping (Simple Overview) YouTube Factor By Grouping Math Is Fun 3 complete examples of solving quadratic equations using factoring by grouping are shown. As you can see, this is done. Next, look for the factor pair that has a sum equal to the b term in the equation, and split the b term into 2. Factor out the common factor in each group. It is called factoring because we find. Factor By Grouping Math Is Fun.
From www.youtube.com
Unit 9 Factoring, Lesson 3 Factoring by Grouping YouTube Factor By Grouping Math Is Fun how to factor by grouping? 3 complete examples of solving quadratic equations using factoring by grouping are shown. Just like it says, factoring by grouping means that you will group terms with common factors before factoring. Group terms with common factors. Next, look for the factor pair that has a sum equal to the b term in the equation,. Factor By Grouping Math Is Fun.
From www.youtube.com
Factoring by Grouping YouTube Factor By Grouping Math Is Fun As you can see, this is done. It is called factoring because we find the factors (a factor is something we multiply by) let us expand (x+4) and. finding what to multiply to get the quadratic. to factor a quadratic equation by grouping, start by multiplying the a term by the c term to get the master product.. Factor By Grouping Math Is Fun.
From www.showme.com
20 Factor by Grouping Math, Algebra ShowMe Factor By Grouping Math Is Fun Group terms with common factors. As you can see, this is done. Just like it says, factoring by grouping means that you will group terms with common factors before factoring. It is called factoring because we find the factors (a factor is something we multiply by) let us expand (x+4) and. to factor a quadratic equation by grouping, start. Factor By Grouping Math Is Fun.
From learningmadesimple360.blogspot.com
Factoring by Grouping Learning Made Simple 360 Factor By Grouping Math Is Fun It is called factoring because we find the factors (a factor is something we multiply by) let us expand (x+4) and. Factor out the common factor in each group. Just like it says, factoring by grouping means that you will group terms with common factors before factoring. Next, look for the factor pair that has a sum equal to the. Factor By Grouping Math Is Fun.
From thekidsworksheet.com
Factoring Trinomials By Grouping Worksheet With Answers Thekidsworksheet Factor By Grouping Math Is Fun Factor out the common factor in each group. how to factor by grouping? 3 complete examples of solving quadratic equations using factoring by grouping are shown. to factor a quadratic equation by grouping, start by multiplying the a term by the c term to get the master product. As you can see, this is done. Group terms with. Factor By Grouping Math Is Fun.
From www.sliderbase.com
Factoring by Grouping Factor By Grouping Math Is Fun Factor out the common factor in each group. Then, list all of the factors of your master product, and separate them into their natural pairs. finding what to multiply to get the quadratic. Next, look for the factor pair that has a sum equal to the b term in the equation, and split the b term into 2. . Factor By Grouping Math Is Fun.
From www.showme.com
Factoring Example 3 by grouping Math ShowMe Factor By Grouping Math Is Fun It is called factoring because we find the factors (a factor is something we multiply by) let us expand (x+4) and. 3 complete examples of solving quadratic equations using factoring by grouping are shown. Group terms with common factors. Then, list all of the factors of your master product, and separate them into their natural pairs. Factor out the common. Factor By Grouping Math Is Fun.
From www.onlinemathlearning.com
Factoring by grouping (solutions, examples, videos) Factor By Grouping Math Is Fun Just like it says, factoring by grouping means that you will group terms with common factors before factoring. Factor out the common factor in each group. how to factor by grouping? finding what to multiply to get the quadratic. 3 complete examples of solving quadratic equations using factoring by grouping are shown. As you can see, this is. Factor By Grouping Math Is Fun.
From www.showme.com
Factoring by Grouping Monomials Math, Algebra, Factoring, Grouping Factor By Grouping Math Is Fun It is called factoring because we find the factors (a factor is something we multiply by) let us expand (x+4) and. finding what to multiply to get the quadratic. Then, list all of the factors of your master product, and separate them into their natural pairs. Factor out the common factor in each group. to factor a quadratic. Factor By Grouping Math Is Fun.
From www.youtube.com
Factoring by Grouping when GCF=1 YouTube Factor By Grouping Math Is Fun finding what to multiply to get the quadratic. 3 complete examples of solving quadratic equations using factoring by grouping are shown. to factor a quadratic equation by grouping, start by multiplying the a term by the c term to get the master product. Group terms with common factors. Factor out the common factor in each group. Then, list. Factor By Grouping Math Is Fun.
From www.youtube.com
Factor By Grouping 4 Examples Algebra 1 Algebra 2 PreCalculus YouTube Factor By Grouping Math Is Fun Just like it says, factoring by grouping means that you will group terms with common factors before factoring. 3 complete examples of solving quadratic equations using factoring by grouping are shown. It is called factoring because we find the factors (a factor is something we multiply by) let us expand (x+4) and. Then, list all of the factors of your. Factor By Grouping Math Is Fun.
From www.slideserve.com
PPT Factor By Grouping PowerPoint Presentation, free download ID Factor By Grouping Math Is Fun As you can see, this is done. how to factor by grouping? to factor a quadratic equation by grouping, start by multiplying the a term by the c term to get the master product. finding what to multiply to get the quadratic. Group terms with common factors. Next, look for the factor pair that has a sum. Factor By Grouping Math Is Fun.
From www.youtube.com
Factor By Grouping with 4 Terms Plus Shortcut for Factoring 4 Terms Factor By Grouping Math Is Fun Then, list all of the factors of your master product, and separate them into their natural pairs. Just like it says, factoring by grouping means that you will group terms with common factors before factoring. Group terms with common factors. how to factor by grouping? finding what to multiply to get the quadratic. to factor a quadratic. Factor By Grouping Math Is Fun.
From mathmonks.com
Factoring by Grouping Worksheet Math Monks Factor By Grouping Math Is Fun finding what to multiply to get the quadratic. Then, list all of the factors of your master product, and separate them into their natural pairs. It is called factoring because we find the factors (a factor is something we multiply by) let us expand (x+4) and. As you can see, this is done. Just like it says, factoring by. Factor By Grouping Math Is Fun.
From calcworkshop.com
How to Factor by Grouping? (15+ Amazing Examples!) Factor By Grouping Math Is Fun It is called factoring because we find the factors (a factor is something we multiply by) let us expand (x+4) and. finding what to multiply to get the quadratic. how to factor by grouping? Just like it says, factoring by grouping means that you will group terms with common factors before factoring. Then, list all of the factors. Factor By Grouping Math Is Fun.