Speed Calculator Of Train . trainspeed is a train performance calculator to simulate the performance of a train running over a particular route. You can find speed of a train from outside. If you have, type and number of coaches. train speed tester is an online tool that can accurately calculate how fast your train is going using gps technology. the shinkansen speed calculator is a useful tool for estimating the average speed of a journey on the famous. this free speed calculator determines any of the three variables in the speed distance time equation given the other two. effortlessly determine speed, distance, and time using our speed calculator—a perfect tool for finding average speed for a given time and distance.
from www.learntocalculate.com
the shinkansen speed calculator is a useful tool for estimating the average speed of a journey on the famous. You can find speed of a train from outside. If you have, type and number of coaches. this free speed calculator determines any of the three variables in the speed distance time equation given the other two. trainspeed is a train performance calculator to simulate the performance of a train running over a particular route. effortlessly determine speed, distance, and time using our speed calculator—a perfect tool for finding average speed for a given time and distance. train speed tester is an online tool that can accurately calculate how fast your train is going using gps technology.
How To Calculate Average Speed.
Speed Calculator Of Train effortlessly determine speed, distance, and time using our speed calculator—a perfect tool for finding average speed for a given time and distance. trainspeed is a train performance calculator to simulate the performance of a train running over a particular route. You can find speed of a train from outside. train speed tester is an online tool that can accurately calculate how fast your train is going using gps technology. If you have, type and number of coaches. the shinkansen speed calculator is a useful tool for estimating the average speed of a journey on the famous. effortlessly determine speed, distance, and time using our speed calculator—a perfect tool for finding average speed for a given time and distance. this free speed calculator determines any of the three variables in the speed distance time equation given the other two.
From www.teachoo.com
A train travels a distance of 480 km at a uniform speed. If the speed Speed Calculator Of Train If you have, type and number of coaches. You can find speed of a train from outside. the shinkansen speed calculator is a useful tool for estimating the average speed of a journey on the famous. train speed tester is an online tool that can accurately calculate how fast your train is going using gps technology. effortlessly. Speed Calculator Of Train.
From dxogfwtjs.blob.core.windows.net
Speed Calculator Formula at Anthony Ellington blog Speed Calculator Of Train this free speed calculator determines any of the three variables in the speed distance time equation given the other two. trainspeed is a train performance calculator to simulate the performance of a train running over a particular route. the shinkansen speed calculator is a useful tool for estimating the average speed of a journey on the famous.. Speed Calculator Of Train.
From www.vrogue.co
The Speed Of A Train Is 30kmh How Long Will It Take T vrogue.co Speed Calculator Of Train the shinkansen speed calculator is a useful tool for estimating the average speed of a journey on the famous. If you have, type and number of coaches. You can find speed of a train from outside. trainspeed is a train performance calculator to simulate the performance of a train running over a particular route. this free speed. Speed Calculator Of Train.
From www.bbc.co.uk
Calculating speed, distance and time BBC Bitesize Speed Calculator Of Train effortlessly determine speed, distance, and time using our speed calculator—a perfect tool for finding average speed for a given time and distance. this free speed calculator determines any of the three variables in the speed distance time equation given the other two. train speed tester is an online tool that can accurately calculate how fast your train. Speed Calculator Of Train.
From thirdspacelearning.com
Speed Distance Time GCSE Maths Steps, Examples & Worksheet Speed Calculator Of Train the shinkansen speed calculator is a useful tool for estimating the average speed of a journey on the famous. this free speed calculator determines any of the three variables in the speed distance time equation given the other two. train speed tester is an online tool that can accurately calculate how fast your train is going using. Speed Calculator Of Train.
From www.teachoo.com
A train covers a distance of 360 km at a uniform speed. Had the speed Speed Calculator Of Train effortlessly determine speed, distance, and time using our speed calculator—a perfect tool for finding average speed for a given time and distance. You can find speed of a train from outside. trainspeed is a train performance calculator to simulate the performance of a train running over a particular route. If you have, type and number of coaches. . Speed Calculator Of Train.
From www.upwork.com
An Online Train Speed Calculator tailored for Indian Railways. Upwork Speed Calculator Of Train train speed tester is an online tool that can accurately calculate how fast your train is going using gps technology. You can find speed of a train from outside. trainspeed is a train performance calculator to simulate the performance of a train running over a particular route. If you have, type and number of coaches. this free. Speed Calculator Of Train.
From dxogfwtjs.blob.core.windows.net
Speed Calculator Formula at Anthony Ellington blog Speed Calculator Of Train You can find speed of a train from outside. train speed tester is an online tool that can accurately calculate how fast your train is going using gps technology. this free speed calculator determines any of the three variables in the speed distance time equation given the other two. the shinkansen speed calculator is a useful tool. Speed Calculator Of Train.
From brainly.in
A train is running at a speed of 60km/h. Calculate the speed of train Speed Calculator Of Train trainspeed is a train performance calculator to simulate the performance of a train running over a particular route. train speed tester is an online tool that can accurately calculate how fast your train is going using gps technology. You can find speed of a train from outside. this free speed calculator determines any of the three variables. Speed Calculator Of Train.
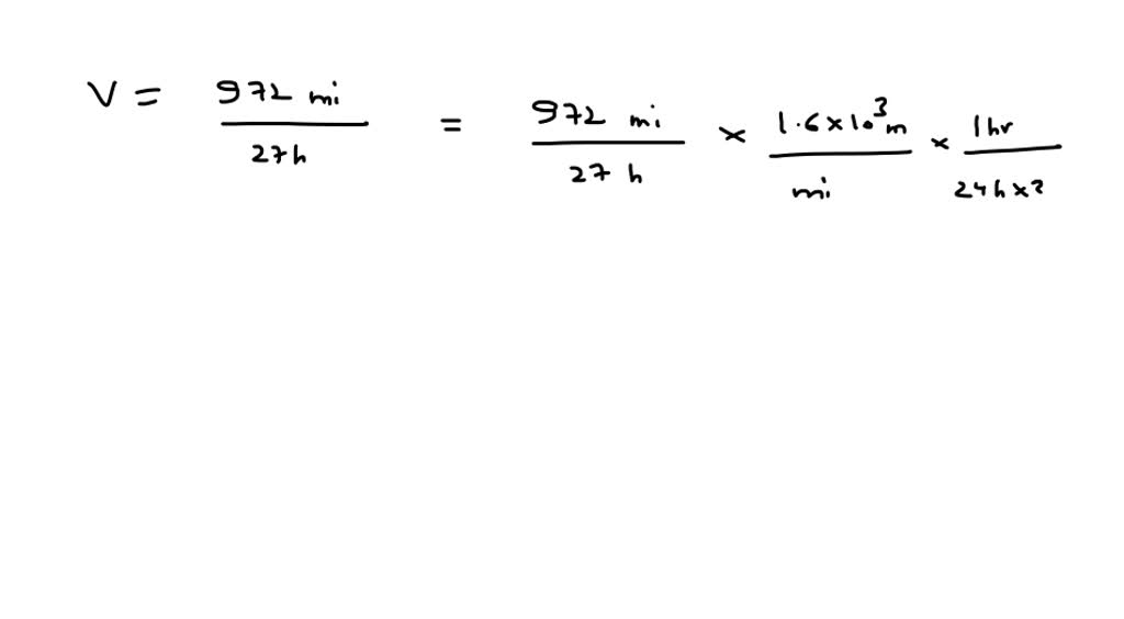
From www.numerade.com
SOLVED Calculate the speed of a train in m/s that covers 972 miles in Speed Calculator Of Train train speed tester is an online tool that can accurately calculate how fast your train is going using gps technology. this free speed calculator determines any of the three variables in the speed distance time equation given the other two. You can find speed of a train from outside. If you have, type and number of coaches. . Speed Calculator Of Train.
From devpost.com
GearedUp! Robotic Drive Train Speed Calculator Devpost Speed Calculator Of Train effortlessly determine speed, distance, and time using our speed calculator—a perfect tool for finding average speed for a given time and distance. You can find speed of a train from outside. this free speed calculator determines any of the three variables in the speed distance time equation given the other two. the shinkansen speed calculator is a. Speed Calculator Of Train.
From www.calculator.io
Speed Calculator — Calculator.iO Speed Calculator Of Train If you have, type and number of coaches. trainspeed is a train performance calculator to simulate the performance of a train running over a particular route. this free speed calculator determines any of the three variables in the speed distance time equation given the other two. effortlessly determine speed, distance, and time using our speed calculator—a perfect. Speed Calculator Of Train.
From www.wikihow.com
3 Ways to Calculate Speed in Metres per Second wikiHow Speed Calculator Of Train the shinkansen speed calculator is a useful tool for estimating the average speed of a journey on the famous. trainspeed is a train performance calculator to simulate the performance of a train running over a particular route. effortlessly determine speed, distance, and time using our speed calculator—a perfect tool for finding average speed for a given time. Speed Calculator Of Train.
From byjus.com
Two trains each of length 100 m moving parallel towards each other at Speed Calculator Of Train this free speed calculator determines any of the three variables in the speed distance time equation given the other two. train speed tester is an online tool that can accurately calculate how fast your train is going using gps technology. trainspeed is a train performance calculator to simulate the performance of a train running over a particular. Speed Calculator Of Train.
From www.toppr.com
A train is moving with constant acceleration when the ends of the train Speed Calculator Of Train If you have, type and number of coaches. You can find speed of a train from outside. trainspeed is a train performance calculator to simulate the performance of a train running over a particular route. effortlessly determine speed, distance, and time using our speed calculator—a perfect tool for finding average speed for a given time and distance. . Speed Calculator Of Train.
From www.numerade.com
SOLVED A train travels some distance with a speed of 30km/hr and Speed Calculator Of Train effortlessly determine speed, distance, and time using our speed calculator—a perfect tool for finding average speed for a given time and distance. trainspeed is a train performance calculator to simulate the performance of a train running over a particular route. You can find speed of a train from outside. If you have, type and number of coaches. . Speed Calculator Of Train.
From www.learntocalculate.com
How To Calculate Average Speed. Speed Calculator Of Train trainspeed is a train performance calculator to simulate the performance of a train running over a particular route. train speed tester is an online tool that can accurately calculate how fast your train is going using gps technology. this free speed calculator determines any of the three variables in the speed distance time equation given the other. Speed Calculator Of Train.
From www.chegg.com
For the gear train shown below, calculate the speed Speed Calculator Of Train trainspeed is a train performance calculator to simulate the performance of a train running over a particular route. train speed tester is an online tool that can accurately calculate how fast your train is going using gps technology. the shinkansen speed calculator is a useful tool for estimating the average speed of a journey on the famous.. Speed Calculator Of Train.
From www.gauthmath.com
Solved s distancetime graph shows part of the journey of a trair Speed Calculator Of Train effortlessly determine speed, distance, and time using our speed calculator—a perfect tool for finding average speed for a given time and distance. If you have, type and number of coaches. trainspeed is a train performance calculator to simulate the performance of a train running over a particular route. train speed tester is an online tool that can. Speed Calculator Of Train.
From www.youtube.com
Gear velocity ratio for Simple and Compound Gear train. Reduction or Speed Calculator Of Train trainspeed is a train performance calculator to simulate the performance of a train running over a particular route. this free speed calculator determines any of the three variables in the speed distance time equation given the other two. the shinkansen speed calculator is a useful tool for estimating the average speed of a journey on the famous.. Speed Calculator Of Train.
From study.com
Calculating Average Speed Formula & Practice Problems Video & Lesson Speed Calculator Of Train You can find speed of a train from outside. train speed tester is an online tool that can accurately calculate how fast your train is going using gps technology. trainspeed is a train performance calculator to simulate the performance of a train running over a particular route. the shinkansen speed calculator is a useful tool for estimating. Speed Calculator Of Train.
From engineering.icalculator.com
Railroad Curve Calculator iCalculator™ Speed Calculator Of Train the shinkansen speed calculator is a useful tool for estimating the average speed of a journey on the famous. effortlessly determine speed, distance, and time using our speed calculator—a perfect tool for finding average speed for a given time and distance. train speed tester is an online tool that can accurately calculate how fast your train is. Speed Calculator Of Train.
From www.youtube.com
Video 5 Calculation on Velocity ratio for epicyclic gear train using Speed Calculator Of Train effortlessly determine speed, distance, and time using our speed calculator—a perfect tool for finding average speed for a given time and distance. this free speed calculator determines any of the three variables in the speed distance time equation given the other two. trainspeed is a train performance calculator to simulate the performance of a train running over. Speed Calculator Of Train.
From www.youtube.com
HOW TO CALCULATE TRAIN SPEED FASTEST SHATABDI of INDIAN RAILWAYS Speed Calculator Of Train If you have, type and number of coaches. this free speed calculator determines any of the three variables in the speed distance time equation given the other two. the shinkansen speed calculator is a useful tool for estimating the average speed of a journey on the famous. effortlessly determine speed, distance, and time using our speed calculator—a. Speed Calculator Of Train.
From www.wikihow.com
3 Ways to Calculate Speed wikiHow Speed Calculator Of Train You can find speed of a train from outside. If you have, type and number of coaches. effortlessly determine speed, distance, and time using our speed calculator—a perfect tool for finding average speed for a given time and distance. the shinkansen speed calculator is a useful tool for estimating the average speed of a journey on the famous.. Speed Calculator Of Train.
From github.com
GitHub Online Train Speed Calculator Of Train this free speed calculator determines any of the three variables in the speed distance time equation given the other two. effortlessly determine speed, distance, and time using our speed calculator—a perfect tool for finding average speed for a given time and distance. If you have, type and number of coaches. train speed tester is an online tool. Speed Calculator Of Train.
From www.pinterest.com
Speed, Distance and Time Problems on Trains Basics and Examples Speed Calculator Of Train You can find speed of a train from outside. trainspeed is a train performance calculator to simulate the performance of a train running over a particular route. effortlessly determine speed, distance, and time using our speed calculator—a perfect tool for finding average speed for a given time and distance. train speed tester is an online tool that. Speed Calculator Of Train.
From vehiclehelp.com
How Fast Does A Train Go? (With Stats) Vehicle Help Speed Calculator Of Train train speed tester is an online tool that can accurately calculate how fast your train is going using gps technology. If you have, type and number of coaches. effortlessly determine speed, distance, and time using our speed calculator—a perfect tool for finding average speed for a given time and distance. this free speed calculator determines any of. Speed Calculator Of Train.
From www.youtube.com
Free Online Train Speed Calculator YouTube Speed Calculator Of Train effortlessly determine speed, distance, and time using our speed calculator—a perfect tool for finding average speed for a given time and distance. trainspeed is a train performance calculator to simulate the performance of a train running over a particular route. the shinkansen speed calculator is a useful tool for estimating the average speed of a journey on. Speed Calculator Of Train.
From www.youtube.com
How to calculate speed of running train without any application? YouTube Speed Calculator Of Train effortlessly determine speed, distance, and time using our speed calculator—a perfect tool for finding average speed for a given time and distance. this free speed calculator determines any of the three variables in the speed distance time equation given the other two. If you have, type and number of coaches. the shinkansen speed calculator is a useful. Speed Calculator Of Train.
From www.toppr.com
The ratio between the speeds of two trains is 710. If the second train Speed Calculator Of Train If you have, type and number of coaches. train speed tester is an online tool that can accurately calculate how fast your train is going using gps technology. trainspeed is a train performance calculator to simulate the performance of a train running over a particular route. You can find speed of a train from outside. this free. Speed Calculator Of Train.
From www.youtube.com
Compound gear train / Velocity ratio of Compound gear train / How to Speed Calculator Of Train If you have, type and number of coaches. trainspeed is a train performance calculator to simulate the performance of a train running over a particular route. You can find speed of a train from outside. the shinkansen speed calculator is a useful tool for estimating the average speed of a journey on the famous. this free speed. Speed Calculator Of Train.
From www.chegg.com
Solved 2 Calculate the maximum length of a train which Speed Calculator Of Train trainspeed is a train performance calculator to simulate the performance of a train running over a particular route. train speed tester is an online tool that can accurately calculate how fast your train is going using gps technology. You can find speed of a train from outside. effortlessly determine speed, distance, and time using our speed calculator—a. Speed Calculator Of Train.
From dxouuxixm.blob.core.windows.net
Calculator For Time Distance And Speed at Dianna Lindquist blog Speed Calculator Of Train effortlessly determine speed, distance, and time using our speed calculator—a perfect tool for finding average speed for a given time and distance. trainspeed is a train performance calculator to simulate the performance of a train running over a particular route. this free speed calculator determines any of the three variables in the speed distance time equation given. Speed Calculator Of Train.
From www.trains.com
How to calculate the speed of toy trains Trains Speed Calculator Of Train If you have, type and number of coaches. train speed tester is an online tool that can accurately calculate how fast your train is going using gps technology. effortlessly determine speed, distance, and time using our speed calculator—a perfect tool for finding average speed for a given time and distance. the shinkansen speed calculator is a useful. Speed Calculator Of Train.