How Steel Rods Are Manufactured . The blast furnace process, also known. The process depicts the various stages of steel rods through which rods are manufactured in the furniture industry. The diagram explains the way in which steel rods are produced for the furniture industry. Steel rods are produced through various processes that involve heating, rolling, and. How steel rods are manufactured? Today, the manufacturing of steel is done by using one of these two methods: (1) selecting high strength steel and slicing the steel; It is thicker than materials designated as wire. Rod is a hot rolled, round steel bar with diameters ranging from 0.216 to 2.25 inches (5.5 to 57 mm). Iron ore undergoes a series of refining steps to extract the iron content Welcome to our skilled workers channel, where craftsmanship meets precision! The simple threaded rod manufacturing process includes the steps: Rod and wire rods of smaller diameters are. Overall, the process consists eleven.
from anshan-metal.com
Welcome to our skilled workers channel, where craftsmanship meets precision! Rod and wire rods of smaller diameters are. (1) selecting high strength steel and slicing the steel; The process depicts the various stages of steel rods through which rods are manufactured in the furniture industry. Today, the manufacturing of steel is done by using one of these two methods: Overall, the process consists eleven. The diagram explains the way in which steel rods are produced for the furniture industry. It is thicker than materials designated as wire. The blast furnace process, also known. How steel rods are manufactured?
Steel rod
How Steel Rods Are Manufactured Overall, the process consists eleven. How steel rods are manufactured? The blast furnace process, also known. The process depicts the various stages of steel rods through which rods are manufactured in the furniture industry. (1) selecting high strength steel and slicing the steel; Today, the manufacturing of steel is done by using one of these two methods: It is thicker than materials designated as wire. The simple threaded rod manufacturing process includes the steps: Steel rods are produced through various processes that involve heating, rolling, and. Rod and wire rods of smaller diameters are. The diagram explains the way in which steel rods are produced for the furniture industry. Rod is a hot rolled, round steel bar with diameters ranging from 0.216 to 2.25 inches (5.5 to 57 mm). Iron ore undergoes a series of refining steps to extract the iron content Overall, the process consists eleven. Welcome to our skilled workers channel, where craftsmanship meets precision!
From blog.thepipingmart.com
How to Bend Stainless Steel Rods A StepByStep Guide How Steel Rods Are Manufactured Overall, the process consists eleven. Welcome to our skilled workers channel, where craftsmanship meets precision! Rod is a hot rolled, round steel bar with diameters ranging from 0.216 to 2.25 inches (5.5 to 57 mm). The blast furnace process, also known. It is thicker than materials designated as wire. Rod and wire rods of smaller diameters are. Steel rods are. How Steel Rods Are Manufactured.
From www.indiamart.com
Ss304 Steel Rods, for Construction at best price in Bhopal ID How Steel Rods Are Manufactured Rod is a hot rolled, round steel bar with diameters ranging from 0.216 to 2.25 inches (5.5 to 57 mm). The process depicts the various stages of steel rods through which rods are manufactured in the furniture industry. Steel rods are produced through various processes that involve heating, rolling, and. It is thicker than materials designated as wire. Today, the. How Steel Rods Are Manufactured.
From www.chegg.com
Solved Steel rods are manufactured with a mean length of 26 How Steel Rods Are Manufactured How steel rods are manufactured? The process depicts the various stages of steel rods through which rods are manufactured in the furniture industry. Rod and wire rods of smaller diameters are. It is thicker than materials designated as wire. Rod is a hot rolled, round steel bar with diameters ranging from 0.216 to 2.25 inches (5.5 to 57 mm). The. How Steel Rods Are Manufactured.
From www.indiamart.com
Steel Rods at best price in Hyderabad by Sagar Steel & Rolling Shutter How Steel Rods Are Manufactured (1) selecting high strength steel and slicing the steel; Overall, the process consists eleven. How steel rods are manufactured? The simple threaded rod manufacturing process includes the steps: The blast furnace process, also known. Today, the manufacturing of steel is done by using one of these two methods: The process depicts the various stages of steel rods through which rods. How Steel Rods Are Manufactured.
From www.engineeringbylee.com
Stainless Steel Lattice Rod, 12.7mm (1/2") Lee Engineering How Steel Rods Are Manufactured The process depicts the various stages of steel rods through which rods are manufactured in the furniture industry. Overall, the process consists eleven. Today, the manufacturing of steel is done by using one of these two methods: It is thicker than materials designated as wire. Iron ore undergoes a series of refining steps to extract the iron content How steel. How Steel Rods Are Manufactured.
From www.cfulton.com.au
Steel Rods 16mm x 6m C.Fulton PTY. LTD How Steel Rods Are Manufactured Rod is a hot rolled, round steel bar with diameters ranging from 0.216 to 2.25 inches (5.5 to 57 mm). Rod and wire rods of smaller diameters are. The process depicts the various stages of steel rods through which rods are manufactured in the furniture industry. The diagram explains the way in which steel rods are produced for the furniture. How Steel Rods Are Manufactured.
From authenticmetalexports.com
Stainless Steel Rods How Steel Rods Are Manufactured The diagram explains the way in which steel rods are produced for the furniture industry. Overall, the process consists eleven. (1) selecting high strength steel and slicing the steel; Iron ore undergoes a series of refining steps to extract the iron content Today, the manufacturing of steel is done by using one of these two methods: The simple threaded rod. How Steel Rods Are Manufactured.
From www.chegg.com
Solved Steel rods are manufactured with a mean length of 24 How Steel Rods Are Manufactured Rod is a hot rolled, round steel bar with diameters ranging from 0.216 to 2.25 inches (5.5 to 57 mm). Iron ore undergoes a series of refining steps to extract the iron content Welcome to our skilled workers channel, where craftsmanship meets precision! Rod and wire rods of smaller diameters are. Steel rods are produced through various processes that involve. How Steel Rods Are Manufactured.
From www.indiamart.com
Round Cold Rolled Stainless Steel Rods 310, For Manufacturing, Size How Steel Rods Are Manufactured The simple threaded rod manufacturing process includes the steps: Overall, the process consists eleven. The diagram explains the way in which steel rods are produced for the furniture industry. Steel rods are produced through various processes that involve heating, rolling, and. Rod and wire rods of smaller diameters are. It is thicker than materials designated as wire. The process depicts. How Steel Rods Are Manufactured.
From kunduz.com
[ANSWERED] Steel rods are manufactured with a mean length of 27 Kunduz How Steel Rods Are Manufactured Iron ore undergoes a series of refining steps to extract the iron content The diagram explains the way in which steel rods are produced for the furniture industry. It is thicker than materials designated as wire. The process depicts the various stages of steel rods through which rods are manufactured in the furniture industry. Steel rods are produced through various. How Steel Rods Are Manufactured.
From www.piyush-steel.com
Stainless Steel Rods and its Applications How Steel Rods Are Manufactured Rod and wire rods of smaller diameters are. Steel rods are produced through various processes that involve heating, rolling, and. The diagram explains the way in which steel rods are produced for the furniture industry. Iron ore undergoes a series of refining steps to extract the iron content The simple threaded rod manufacturing process includes the steps: The blast furnace. How Steel Rods Are Manufactured.
From allie-has-mccullough.blogspot.com
Steel Rods Are Manufactured With a Mean Length of AlliehasMccullough How Steel Rods Are Manufactured Iron ore undergoes a series of refining steps to extract the iron content Rod and wire rods of smaller diameters are. The simple threaded rod manufacturing process includes the steps: Overall, the process consists eleven. It is thicker than materials designated as wire. Welcome to our skilled workers channel, where craftsmanship meets precision! Steel rods are produced through various processes. How Steel Rods Are Manufactured.
From www.xftsteel.com
How are stainless steel rods manufactured? Materials Information How Steel Rods Are Manufactured Welcome to our skilled workers channel, where craftsmanship meets precision! The diagram explains the way in which steel rods are produced for the furniture industry. Rod and wire rods of smaller diameters are. Iron ore undergoes a series of refining steps to extract the iron content The blast furnace process, also known. How steel rods are manufactured? Rod is a. How Steel Rods Are Manufactured.
From anshan-metal.com
Steel rod How Steel Rods Are Manufactured Overall, the process consists eleven. Rod is a hot rolled, round steel bar with diameters ranging from 0.216 to 2.25 inches (5.5 to 57 mm). It is thicker than materials designated as wire. The diagram explains the way in which steel rods are produced for the furniture industry. Today, the manufacturing of steel is done by using one of these. How Steel Rods Are Manufactured.
From www.exportersindia.com
Products Stainless Steel Rod Manufacturer & Manufacturer from, Oman How Steel Rods Are Manufactured The simple threaded rod manufacturing process includes the steps: Rod and wire rods of smaller diameters are. The blast furnace process, also known. (1) selecting high strength steel and slicing the steel; The diagram explains the way in which steel rods are produced for the furniture industry. It is thicker than materials designated as wire. Rod is a hot rolled,. How Steel Rods Are Manufactured.
From www.numerade.com
SOLVED Two solid cylindrical rods are joined at B and loaded as shown How Steel Rods Are Manufactured It is thicker than materials designated as wire. Rod and wire rods of smaller diameters are. Welcome to our skilled workers channel, where craftsmanship meets precision! Iron ore undergoes a series of refining steps to extract the iron content Today, the manufacturing of steel is done by using one of these two methods: The simple threaded rod manufacturing process includes. How Steel Rods Are Manufactured.
From www.chegg.com
Solved Steel rods are manufactured with a mean length of 23 How Steel Rods Are Manufactured The blast furnace process, also known. Welcome to our skilled workers channel, where craftsmanship meets precision! (1) selecting high strength steel and slicing the steel; Iron ore undergoes a series of refining steps to extract the iron content Steel rods are produced through various processes that involve heating, rolling, and. The simple threaded rod manufacturing process includes the steps: Rod. How Steel Rods Are Manufactured.
From allie-has-mccullough.blogspot.com
Steel Rods Are Manufactured With a Mean Length of AlliehasMccullough How Steel Rods Are Manufactured (1) selecting high strength steel and slicing the steel; The process depicts the various stages of steel rods through which rods are manufactured in the furniture industry. How steel rods are manufactured? The blast furnace process, also known. Iron ore undergoes a series of refining steps to extract the iron content Welcome to our skilled workers channel, where craftsmanship meets. How Steel Rods Are Manufactured.
From authenticmetalexports.com
Stainless Steel Rods Everything You Need To Know About How Steel Rods Are Manufactured Today, the manufacturing of steel is done by using one of these two methods: The simple threaded rod manufacturing process includes the steps: Rod is a hot rolled, round steel bar with diameters ranging from 0.216 to 2.25 inches (5.5 to 57 mm). Overall, the process consists eleven. (1) selecting high strength steel and slicing the steel; Welcome to our. How Steel Rods Are Manufactured.
From www.coursehero.com
[Solved] Steel rods are manufactured with a mean length of 24 How Steel Rods Are Manufactured Today, the manufacturing of steel is done by using one of these two methods: The simple threaded rod manufacturing process includes the steps: (1) selecting high strength steel and slicing the steel; The diagram explains the way in which steel rods are produced for the furniture industry. The process depicts the various stages of steel rods through which rods are. How Steel Rods Are Manufactured.
From www.indiamart.com
13mm 20mm 420 Stainless Steel Rods, For Manufacturing at Rs 105/kg in How Steel Rods Are Manufactured Rod and wire rods of smaller diameters are. Steel rods are produced through various processes that involve heating, rolling, and. Iron ore undergoes a series of refining steps to extract the iron content Rod is a hot rolled, round steel bar with diameters ranging from 0.216 to 2.25 inches (5.5 to 57 mm). The blast furnace process, also known. Today,. How Steel Rods Are Manufactured.
From xtsteel.en.made-in-china.com
Inox Steel S Rods Custom Round Polished Stainless Steel Rods Are Used How Steel Rods Are Manufactured The blast furnace process, also known. Rod and wire rods of smaller diameters are. Steel rods are produced through various processes that involve heating, rolling, and. Welcome to our skilled workers channel, where craftsmanship meets precision! It is thicker than materials designated as wire. Iron ore undergoes a series of refining steps to extract the iron content The simple threaded. How Steel Rods Are Manufactured.
From blog.thepipingmart.com
Can You Weld Mild Steel with Stainless Rods? How Steel Rods Are Manufactured Welcome to our skilled workers channel, where craftsmanship meets precision! The simple threaded rod manufacturing process includes the steps: Rod and wire rods of smaller diameters are. Steel rods are produced through various processes that involve heating, rolling, and. Overall, the process consists eleven. Iron ore undergoes a series of refining steps to extract the iron content It is thicker. How Steel Rods Are Manufactured.
From www.youtube.com
How Iron Rods are Made in Factory ? Process for Rods Manufacturing How Steel Rods Are Manufactured The process depicts the various stages of steel rods through which rods are manufactured in the furniture industry. How steel rods are manufactured? Overall, the process consists eleven. The simple threaded rod manufacturing process includes the steps: Welcome to our skilled workers channel, where craftsmanship meets precision! Steel rods are produced through various processes that involve heating, rolling, and. Rod. How Steel Rods Are Manufactured.
From www.deevangistainless.com
Stainless Steel Rods Deevangi Stainless Steel Solutions How Steel Rods Are Manufactured It is thicker than materials designated as wire. How steel rods are manufactured? The process depicts the various stages of steel rods through which rods are manufactured in the furniture industry. The blast furnace process, also known. Rod is a hot rolled, round steel bar with diameters ranging from 0.216 to 2.25 inches (5.5 to 57 mm). Steel rods are. How Steel Rods Are Manufactured.
From allie-has-mccullough.blogspot.com
Steel Rods Are Manufactured With a Mean Length of AlliehasMccullough How Steel Rods Are Manufactured Overall, the process consists eleven. It is thicker than materials designated as wire. The diagram explains the way in which steel rods are produced for the furniture industry. Rod is a hot rolled, round steel bar with diameters ranging from 0.216 to 2.25 inches (5.5 to 57 mm). Steel rods are produced through various processes that involve heating, rolling, and.. How Steel Rods Are Manufactured.
From blog.thepipingmart.com
How to Cut Steel Rods? How Steel Rods Are Manufactured Rod is a hot rolled, round steel bar with diameters ranging from 0.216 to 2.25 inches (5.5 to 57 mm). (1) selecting high strength steel and slicing the steel; The simple threaded rod manufacturing process includes the steps: How steel rods are manufactured? Today, the manufacturing of steel is done by using one of these two methods: Iron ore undergoes. How Steel Rods Are Manufactured.
From iandickie.co.za
FlexiSteel Rods & Tools Ian Dickie Plumbing equipment manufacturers How Steel Rods Are Manufactured It is thicker than materials designated as wire. (1) selecting high strength steel and slicing the steel; Rod is a hot rolled, round steel bar with diameters ranging from 0.216 to 2.25 inches (5.5 to 57 mm). Rod and wire rods of smaller diameters are. Iron ore undergoes a series of refining steps to extract the iron content The simple. How Steel Rods Are Manufactured.
From www.v4villa.com
Evens Construction Pvt Ltd Different types of iron rods used in How Steel Rods Are Manufactured Rod is a hot rolled, round steel bar with diameters ranging from 0.216 to 2.25 inches (5.5 to 57 mm). How steel rods are manufactured? Welcome to our skilled workers channel, where craftsmanship meets precision! It is thicker than materials designated as wire. (1) selecting high strength steel and slicing the steel; The blast furnace process, also known. Today, the. How Steel Rods Are Manufactured.
From www.indiamart.com
Stainless Steel Hexagon Rods, Grade 304,202, Size 1 200 mm at Rs How Steel Rods Are Manufactured Rod is a hot rolled, round steel bar with diameters ranging from 0.216 to 2.25 inches (5.5 to 57 mm). (1) selecting high strength steel and slicing the steel; Steel rods are produced through various processes that involve heating, rolling, and. The diagram explains the way in which steel rods are produced for the furniture industry. Today, the manufacturing of. How Steel Rods Are Manufactured.
From blog.thepipingmart.com
Stainless Steel Arc Welding Rods Types and Benefits How Steel Rods Are Manufactured Steel rods are produced through various processes that involve heating, rolling, and. How steel rods are manufactured? The diagram explains the way in which steel rods are produced for the furniture industry. It is thicker than materials designated as wire. Iron ore undergoes a series of refining steps to extract the iron content The process depicts the various stages of. How Steel Rods Are Manufactured.
From www.indiamart.com
Mild Steel Rod, Thickness 3 To 4 Mm, Size/Dimension 3040 mm at Rs 35 How Steel Rods Are Manufactured Iron ore undergoes a series of refining steps to extract the iron content Today, the manufacturing of steel is done by using one of these two methods: The blast furnace process, also known. How steel rods are manufactured? Welcome to our skilled workers channel, where craftsmanship meets precision! The process depicts the various stages of steel rods through which rods. How Steel Rods Are Manufactured.
From www.dreamstime.com
Steel Rods Used in Construction Stock Photo Image of objects How Steel Rods Are Manufactured How steel rods are manufactured? The diagram explains the way in which steel rods are produced for the furniture industry. The blast furnace process, also known. Overall, the process consists eleven. Iron ore undergoes a series of refining steps to extract the iron content It is thicker than materials designated as wire. The process depicts the various stages of steel. How Steel Rods Are Manufactured.
From www.nandishwarsteel.com
Steel Rods Properties, Characteristics, and Applications How Steel Rods Are Manufactured The simple threaded rod manufacturing process includes the steps: Welcome to our skilled workers channel, where craftsmanship meets precision! (1) selecting high strength steel and slicing the steel; How steel rods are manufactured? Rod and wire rods of smaller diameters are. The diagram explains the way in which steel rods are produced for the furniture industry. Steel rods are produced. How Steel Rods Are Manufactured.
From www.numerade.com
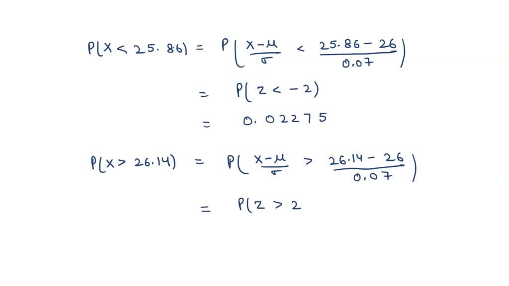
SOLVED Steel rods are manufactured 0.07 cm. Complete parts (a) Mean How Steel Rods Are Manufactured How steel rods are manufactured? Rod is a hot rolled, round steel bar with diameters ranging from 0.216 to 2.25 inches (5.5 to 57 mm). Steel rods are produced through various processes that involve heating, rolling, and. (1) selecting high strength steel and slicing the steel; Rod and wire rods of smaller diameters are. It is thicker than materials designated. How Steel Rods Are Manufactured.