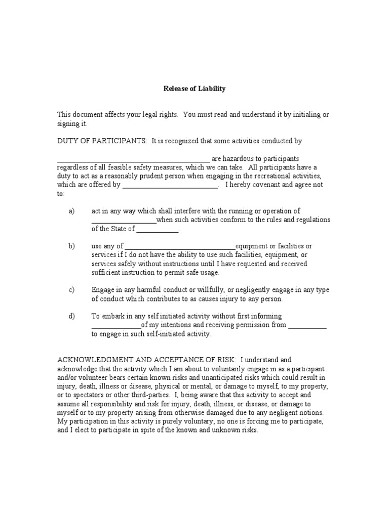
Inflatable Water Slide Waiver Form . Start completing the fillable fields. I the undersigned understand and acknowledge that play on the amusement device (inflatable) entails both known and unknown risks. Waiver and release from liability warning: Easy to share and embed. By signing this document, i intend to forever waive my right and the rights of the minor child to maintain any lawsuit or action against barefeet. Use get form or simply click on the template preview to open it in the editor. Edit, sign, and share inflatable water slide waiver form online. The inflatable must be watched by at least 1 designated. Small inflatable limits are 230# total weight and/or 6 children, large inflatable limits are 250# total weight and/ or 6 children. Simple bounce house waiver template. No need to install software, just go to dochub, and sign up instantly and for free. Quick steps to complete and design inflatable waiver form online: Build a professional bounce house waiver for your event business. Works on all device types. Bouncing on a bounce house may result in injury and/or death i _____ (i”) , have.
from www.etsy.com
Edit, sign, and share inflatable water slide waiver form online. Works on all device types. By signing this document, i intend to forever waive my right and the rights of the minor child to maintain any lawsuit or action against barefeet. Waiver and release from liability warning: No need to install software, just go to dochub, and sign up instantly and for free. Start completing the fillable fields. The inflatable must be watched by at least 1 designated. Quick steps to complete and design inflatable waiver form online: Bouncing on a bounce house may result in injury and/or death i _____ (i”) , have. Easy to share and embed.
Waterslide Liability Waiver Form 1 Page Template Microsoft Word and
Inflatable Water Slide Waiver Form Edit, sign, and share inflatable water slide waiver form online. Start completing the fillable fields. The inflatable must be watched by at least 1 designated. Bouncing on a bounce house may result in injury and/or death i _____ (i”) , have. Waiver and release from liability warning: Easy to share and embed. Small inflatable limits are 230# total weight and/or 6 children, large inflatable limits are 250# total weight and/ or 6 children. No need to install software, just go to dochub, and sign up instantly and for free. I the undersigned understand and acknowledge that play on the amusement device (inflatable) entails both known and unknown risks. Quick steps to complete and design inflatable waiver form online: Edit, sign, and share inflatable water slide waiver form online. Works on all device types. Simple bounce house waiver template. Use get form or simply click on the template preview to open it in the editor. By signing this document, i intend to forever waive my right and the rights of the minor child to maintain any lawsuit or action against barefeet. Build a professional bounce house waiver for your event business.
From www.etsy.com
Bounce House Waiver Form Release of Liability Template Editable and Inflatable Water Slide Waiver Form Edit, sign, and share inflatable water slide waiver form online. Small inflatable limits are 230# total weight and/or 6 children, large inflatable limits are 250# total weight and/ or 6 children. Use get form or simply click on the template preview to open it in the editor. Quick steps to complete and design inflatable waiver form online: By signing this. Inflatable Water Slide Waiver Form.
From www.dochub.com
Free printable pool waiver form Fill out & sign online DocHub Inflatable Water Slide Waiver Form Bouncing on a bounce house may result in injury and/or death i _____ (i”) , have. Simple bounce house waiver template. I the undersigned understand and acknowledge that play on the amusement device (inflatable) entails both known and unknown risks. The inflatable must be watched by at least 1 designated. Waiver and release from liability warning: Start completing the fillable. Inflatable Water Slide Waiver Form.
From www.etsy.com
Inflatable Water Slide Liability Waiver, Waterslide Consent Form Inflatable Water Slide Waiver Form Quick steps to complete and design inflatable waiver form online: Build a professional bounce house waiver for your event business. I the undersigned understand and acknowledge that play on the amusement device (inflatable) entails both known and unknown risks. Waiver and release from liability warning: Use get form or simply click on the template preview to open it in the. Inflatable Water Slide Waiver Form.
From www.scribd.com
Inflatable Waiver Sample PDF Negligence Risk Inflatable Water Slide Waiver Form The inflatable must be watched by at least 1 designated. By signing this document, i intend to forever waive my right and the rights of the minor child to maintain any lawsuit or action against barefeet. Bouncing on a bounce house may result in injury and/or death i _____ (i”) , have. Easy to share and embed. Small inflatable limits. Inflatable Water Slide Waiver Form.
From printabletemplate.concejomunicipaldechinu.gov.co
Printable Swimming Pool Waiver Template Inflatable Water Slide Waiver Form Use get form or simply click on the template preview to open it in the editor. Waiver and release from liability warning: Bouncing on a bounce house may result in injury and/or death i _____ (i”) , have. By signing this document, i intend to forever waive my right and the rights of the minor child to maintain any lawsuit. Inflatable Water Slide Waiver Form.
From www.etsy.com
Inflatable Water Slide Liability Waiver, Waterslide Consent Form Inflatable Water Slide Waiver Form No need to install software, just go to dochub, and sign up instantly and for free. Simple bounce house waiver template. Quick steps to complete and design inflatable waiver form online: Start completing the fillable fields. Small inflatable limits are 230# total weight and/or 6 children, large inflatable limits are 250# total weight and/ or 6 children. By signing this. Inflatable Water Slide Waiver Form.
From www.etsy.com
Inflatable Water Slide Liability Waiver, Waterslide Consent Form Inflatable Water Slide Waiver Form Simple bounce house waiver template. No need to install software, just go to dochub, and sign up instantly and for free. Small inflatable limits are 230# total weight and/or 6 children, large inflatable limits are 250# total weight and/ or 6 children. Waiver and release from liability warning: I the undersigned understand and acknowledge that play on the amusement device. Inflatable Water Slide Waiver Form.
From www.vrogue.co
Bounce House Waiver Form Fill Out And Sign Printable vrogue.co Inflatable Water Slide Waiver Form No need to install software, just go to dochub, and sign up instantly and for free. I the undersigned understand and acknowledge that play on the amusement device (inflatable) entails both known and unknown risks. Use get form or simply click on the template preview to open it in the editor. Quick steps to complete and design inflatable waiver form. Inflatable Water Slide Waiver Form.
From www.etsy.com
Waterslide Liability Waiver Form 1 Page Template Microsoft Word and Inflatable Water Slide Waiver Form Easy to share and embed. Use get form or simply click on the template preview to open it in the editor. The inflatable must be watched by at least 1 designated. No need to install software, just go to dochub, and sign up instantly and for free. Simple bounce house waiver template. Bouncing on a bounce house may result in. Inflatable Water Slide Waiver Form.
From www.scribd.com
Waterpark Waiver Employee PDF Inflatable Water Slide Waiver Form No need to install software, just go to dochub, and sign up instantly and for free. Small inflatable limits are 230# total weight and/or 6 children, large inflatable limits are 250# total weight and/ or 6 children. By signing this document, i intend to forever waive my right and the rights of the minor child to maintain any lawsuit or. Inflatable Water Slide Waiver Form.
From freeprintableshq.org
Free Printable Bounce House Waiver FREE Printable HQ Inflatable Water Slide Waiver Form Edit, sign, and share inflatable water slide waiver form online. Waiver and release from liability warning: Quick steps to complete and design inflatable waiver form online: I the undersigned understand and acknowledge that play on the amusement device (inflatable) entails both known and unknown risks. Use get form or simply click on the template preview to open it in the. Inflatable Water Slide Waiver Form.
From old.sermitsiaq.ag
Inflatable Rental Agreement Template Inflatable Water Slide Waiver Form Use get form or simply click on the template preview to open it in the editor. Simple bounce house waiver template. Start completing the fillable fields. Quick steps to complete and design inflatable waiver form online: Easy to share and embed. Bouncing on a bounce house may result in injury and/or death i _____ (i”) , have. Waiver and release. Inflatable Water Slide Waiver Form.
From www.etsy.com
Bounce House Waiver Form Release of Liability Template Editable and Inflatable Water Slide Waiver Form Quick steps to complete and design inflatable waiver form online: Use get form or simply click on the template preview to open it in the editor. Bouncing on a bounce house may result in injury and/or death i _____ (i”) , have. Easy to share and embed. Waiver and release from liability warning: Edit, sign, and share inflatable water slide. Inflatable Water Slide Waiver Form.
From www.etsy.com
Bounce House Waiver Form Release of Liability Template Editable and Inflatable Water Slide Waiver Form Simple bounce house waiver template. Bouncing on a bounce house may result in injury and/or death i _____ (i”) , have. By signing this document, i intend to forever waive my right and the rights of the minor child to maintain any lawsuit or action against barefeet. The inflatable must be watched by at least 1 designated. I the undersigned. Inflatable Water Slide Waiver Form.
From www.etsy.com
Inflatable Water Slide Liability Waiver, Waterslide Consent Form Inflatable Water Slide Waiver Form Simple bounce house waiver template. Start completing the fillable fields. By signing this document, i intend to forever waive my right and the rights of the minor child to maintain any lawsuit or action against barefeet. Edit, sign, and share inflatable water slide waiver form online. Works on all device types. Quick steps to complete and design inflatable waiver form. Inflatable Water Slide Waiver Form.
From www.etsy.com
Inflatable Water Slide Liability Waiver, Waterslide Consent Form Inflatable Water Slide Waiver Form Easy to share and embed. Simple bounce house waiver template. Build a professional bounce house waiver for your event business. No need to install software, just go to dochub, and sign up instantly and for free. Use get form or simply click on the template preview to open it in the editor. Small inflatable limits are 230# total weight and/or. Inflatable Water Slide Waiver Form.
From www.signnow.com
Inflatable Water Slide Waiver Form Complete with ease airSlate SignNow Inflatable Water Slide Waiver Form Bouncing on a bounce house may result in injury and/or death i _____ (i”) , have. No need to install software, just go to dochub, and sign up instantly and for free. Start completing the fillable fields. Small inflatable limits are 230# total weight and/or 6 children, large inflatable limits are 250# total weight and/ or 6 children. Works on. Inflatable Water Slide Waiver Form.
From www.etsy.com
Inflatable Water Slide Liability Waiver, Waterslide Consent Form Inflatable Water Slide Waiver Form By signing this document, i intend to forever waive my right and the rights of the minor child to maintain any lawsuit or action against barefeet. I the undersigned understand and acknowledge that play on the amusement device (inflatable) entails both known and unknown risks. Waiver and release from liability warning: Use get form or simply click on the template. Inflatable Water Slide Waiver Form.
From www.etsy.com
Inflatable Water Slide Liability Waiver, Waterslide Consent Form Inflatable Water Slide Waiver Form Waiver and release from liability warning: Works on all device types. No need to install software, just go to dochub, and sign up instantly and for free. The inflatable must be watched by at least 1 designated. Bouncing on a bounce house may result in injury and/or death i _____ (i”) , have. Small inflatable limits are 230# total weight. Inflatable Water Slide Waiver Form.
From www.dochub.com
Bounce house waiver template free Fill out & sign online DocHub Inflatable Water Slide Waiver Form Quick steps to complete and design inflatable waiver form online: Works on all device types. By signing this document, i intend to forever waive my right and the rights of the minor child to maintain any lawsuit or action against barefeet. Bouncing on a bounce house may result in injury and/or death i _____ (i”) , have. Small inflatable limits. Inflatable Water Slide Waiver Form.
From www.signnow.com
Water Slide Waiver Editable template airSlate SignNow Inflatable Water Slide Waiver Form Bouncing on a bounce house may result in injury and/or death i _____ (i”) , have. Start completing the fillable fields. Simple bounce house waiver template. No need to install software, just go to dochub, and sign up instantly and for free. Build a professional bounce house waiver for your event business. I the undersigned understand and acknowledge that play. Inflatable Water Slide Waiver Form.
From www.etsy.com
Bounce House Waiver Form Release of Liability Template Editable and Inflatable Water Slide Waiver Form The inflatable must be watched by at least 1 designated. Simple bounce house waiver template. Build a professional bounce house waiver for your event business. I the undersigned understand and acknowledge that play on the amusement device (inflatable) entails both known and unknown risks. Waiver and release from liability warning: Bouncing on a bounce house may result in injury and/or. Inflatable Water Slide Waiver Form.
From www.etsy.com
Bounce House Waiver Form Release of Liability Template Editable and Inflatable Water Slide Waiver Form Quick steps to complete and design inflatable waiver form online: The inflatable must be watched by at least 1 designated. I the undersigned understand and acknowledge that play on the amusement device (inflatable) entails both known and unknown risks. No need to install software, just go to dochub, and sign up instantly and for free. Waiver and release from liability. Inflatable Water Slide Waiver Form.
From davida.davivienda.com
Free Printable Bounce House Waiver Printable Word Searches Inflatable Water Slide Waiver Form Start completing the fillable fields. Quick steps to complete and design inflatable waiver form online: I the undersigned understand and acknowledge that play on the amusement device (inflatable) entails both known and unknown risks. Waiver and release from liability warning: No need to install software, just go to dochub, and sign up instantly and for free. Use get form or. Inflatable Water Slide Waiver Form.
From www.etsy.com
Bounce House Waiver Form PDF Release of Liability Template Editable and Inflatable Water Slide Waiver Form Build a professional bounce house waiver for your event business. Easy to share and embed. Use get form or simply click on the template preview to open it in the editor. No need to install software, just go to dochub, and sign up instantly and for free. Quick steps to complete and design inflatable waiver form online: I the undersigned. Inflatable Water Slide Waiver Form.
From www.etsy.com
Inflatable Water Slide Liability Waiver, Waterslide Consent Form Inflatable Water Slide Waiver Form Start completing the fillable fields. Quick steps to complete and design inflatable waiver form online: Easy to share and embed. The inflatable must be watched by at least 1 designated. Small inflatable limits are 230# total weight and/or 6 children, large inflatable limits are 250# total weight and/ or 6 children. I the undersigned understand and acknowledge that play on. Inflatable Water Slide Waiver Form.
From davida.davivienda.com
Printable Bounce House Waiver Template Printable Word Searches Inflatable Water Slide Waiver Form Use get form or simply click on the template preview to open it in the editor. Edit, sign, and share inflatable water slide waiver form online. Bouncing on a bounce house may result in injury and/or death i _____ (i”) , have. Start completing the fillable fields. Quick steps to complete and design inflatable waiver form online: I the undersigned. Inflatable Water Slide Waiver Form.
From dl-uk.apowersoft.com
Inflatable Rental Agreement Template Inflatable Water Slide Waiver Form The inflatable must be watched by at least 1 designated. I the undersigned understand and acknowledge that play on the amusement device (inflatable) entails both known and unknown risks. Start completing the fillable fields. Quick steps to complete and design inflatable waiver form online: Build a professional bounce house waiver for your event business. Easy to share and embed. No. Inflatable Water Slide Waiver Form.
From www.etsy.com
Inflatable Etsy Inflatable Water Slide Waiver Form Simple bounce house waiver template. Quick steps to complete and design inflatable waiver form online: Start completing the fillable fields. The inflatable must be watched by at least 1 designated. Edit, sign, and share inflatable water slide waiver form online. Small inflatable limits are 230# total weight and/or 6 children, large inflatable limits are 250# total weight and/ or 6. Inflatable Water Slide Waiver Form.
From www.etsy.com
Inflatable Water Slide Liability Waiver, Waterslide Consent Form Inflatable Water Slide Waiver Form Waiver and release from liability warning: Build a professional bounce house waiver for your event business. Small inflatable limits are 230# total weight and/or 6 children, large inflatable limits are 250# total weight and/ or 6 children. By signing this document, i intend to forever waive my right and the rights of the minor child to maintain any lawsuit or. Inflatable Water Slide Waiver Form.
From www.etsy.com
Inflatables Liability Waiver Form Template Editable, Printable Bounce Inflatable Water Slide Waiver Form I the undersigned understand and acknowledge that play on the amusement device (inflatable) entails both known and unknown risks. Use get form or simply click on the template preview to open it in the editor. Bouncing on a bounce house may result in injury and/or death i _____ (i”) , have. Small inflatable limits are 230# total weight and/or 6. Inflatable Water Slide Waiver Form.
From old.sermitsiaq.ag
Inflatable Rental Agreement Template Inflatable Water Slide Waiver Form Start completing the fillable fields. Quick steps to complete and design inflatable waiver form online: Edit, sign, and share inflatable water slide waiver form online. By signing this document, i intend to forever waive my right and the rights of the minor child to maintain any lawsuit or action against barefeet. Small inflatable limits are 230# total weight and/or 6. Inflatable Water Slide Waiver Form.
From davida.davivienda.com
Printable Bounce House Waiver Template Printable Word Searches Inflatable Water Slide Waiver Form Simple bounce house waiver template. Use get form or simply click on the template preview to open it in the editor. Bouncing on a bounce house may result in injury and/or death i _____ (i”) , have. I the undersigned understand and acknowledge that play on the amusement device (inflatable) entails both known and unknown risks. Waiver and release from. Inflatable Water Slide Waiver Form.
From dl-uk.apowersoft.com
Printable Bounce House Waiver Inflatable Water Slide Waiver Form Edit, sign, and share inflatable water slide waiver form online. By signing this document, i intend to forever waive my right and the rights of the minor child to maintain any lawsuit or action against barefeet. Simple bounce house waiver template. The inflatable must be watched by at least 1 designated. Use get form or simply click on the template. Inflatable Water Slide Waiver Form.
From www.etsy.com
Bounce House Waiver Form Release of Liability Template Editable and Inflatable Water Slide Waiver Form Waiver and release from liability warning: Build a professional bounce house waiver for your event business. Easy to share and embed. Small inflatable limits are 230# total weight and/or 6 children, large inflatable limits are 250# total weight and/ or 6 children. Start completing the fillable fields. Edit, sign, and share inflatable water slide waiver form online. By signing this. Inflatable Water Slide Waiver Form.