What Is Non Inductive Resistance . A resistor works by limiting the amount of electricity that flows through it by creating resistance within an electrical circuit. Inductive resistors are typically cheaper to construct and are more. Inductive loads are such electrical loads that consume only reactive power. Resistive loads are simple loads where the current and voltage sine waves are in phase with each other. Any electrical load that consists of coils or inductors comes in the category of inductive load. The main difference between an inductor and resistor is that a resistor resists electricity whereas an inductor introduces it.
from scoop.eduncle.com
Inductive loads are such electrical loads that consume only reactive power. Inductive resistors are typically cheaper to construct and are more. A resistor works by limiting the amount of electricity that flows through it by creating resistance within an electrical circuit. Resistive loads are simple loads where the current and voltage sine waves are in phase with each other. The main difference between an inductor and resistor is that a resistor resists electricity whereas an inductor introduces it. Any electrical load that consists of coils or inductors comes in the category of inductive load.
Wb ** 11. a circuit consists of a noninductive resistance of 50 ohms
What Is Non Inductive Resistance A resistor works by limiting the amount of electricity that flows through it by creating resistance within an electrical circuit. Inductive loads are such electrical loads that consume only reactive power. The main difference between an inductor and resistor is that a resistor resists electricity whereas an inductor introduces it. Resistive loads are simple loads where the current and voltage sine waves are in phase with each other. Inductive resistors are typically cheaper to construct and are more. A resistor works by limiting the amount of electricity that flows through it by creating resistance within an electrical circuit. Any electrical load that consists of coils or inductors comes in the category of inductive load.
From mavink.com
Resistor Types And Symbols What Is Non Inductive Resistance Any electrical load that consists of coils or inductors comes in the category of inductive load. Resistive loads are simple loads where the current and voltage sine waves are in phase with each other. The main difference between an inductor and resistor is that a resistor resists electricity whereas an inductor introduces it. Inductive loads are such electrical loads that. What Is Non Inductive Resistance.
From www.slideserve.com
PPT Induction PowerPoint Presentation ID228996 What Is Non Inductive Resistance Inductive resistors are typically cheaper to construct and are more. Any electrical load that consists of coils or inductors comes in the category of inductive load. A resistor works by limiting the amount of electricity that flows through it by creating resistance within an electrical circuit. Resistive loads are simple loads where the current and voltage sine waves are in. What Is Non Inductive Resistance.
From askfilo.com
A 10 ohms noninductive resistor, an inductor with 50 ohms reactance, and.. What Is Non Inductive Resistance The main difference between an inductor and resistor is that a resistor resists electricity whereas an inductor introduces it. Inductive resistors are typically cheaper to construct and are more. A resistor works by limiting the amount of electricity that flows through it by creating resistance within an electrical circuit. Resistive loads are simple loads where the current and voltage sine. What Is Non Inductive Resistance.
From www.numerade.com
SOLVED A noninductive resistance of 10 Ω is connected in series with What Is Non Inductive Resistance Resistive loads are simple loads where the current and voltage sine waves are in phase with each other. Any electrical load that consists of coils or inductors comes in the category of inductive load. A resistor works by limiting the amount of electricity that flows through it by creating resistance within an electrical circuit. Inductive loads are such electrical loads. What Is Non Inductive Resistance.
From www.chegg.com
Solved Q4. A current of 5A flows through a noninductive What Is Non Inductive Resistance Resistive loads are simple loads where the current and voltage sine waves are in phase with each other. Any electrical load that consists of coils or inductors comes in the category of inductive load. Inductive resistors are typically cheaper to construct and are more. A resistor works by limiting the amount of electricity that flows through it by creating resistance. What Is Non Inductive Resistance.
From electricalacademia.com
Equivalent Circuit of Transformer Referred to Primary and Secondary What Is Non Inductive Resistance Resistive loads are simple loads where the current and voltage sine waves are in phase with each other. A resistor works by limiting the amount of electricity that flows through it by creating resistance within an electrical circuit. Inductive resistors are typically cheaper to construct and are more. The main difference between an inductor and resistor is that a resistor. What Is Non Inductive Resistance.
From www.youtube.com
4.07 How can solve Non Inductive Resistance Coil based Problem Basic What Is Non Inductive Resistance The main difference between an inductor and resistor is that a resistor resists electricity whereas an inductor introduces it. Inductive loads are such electrical loads that consume only reactive power. Inductive resistors are typically cheaper to construct and are more. A resistor works by limiting the amount of electricity that flows through it by creating resistance within an electrical circuit.. What Is Non Inductive Resistance.
From www.youtube.com
NonInductive Coil Experiment Video Ten YouTube What Is Non Inductive Resistance Resistive loads are simple loads where the current and voltage sine waves are in phase with each other. Any electrical load that consists of coils or inductors comes in the category of inductive load. Inductive loads are such electrical loads that consume only reactive power. Inductive resistors are typically cheaper to construct and are more. A resistor works by limiting. What Is Non Inductive Resistance.
From wirelibenrique.z21.web.core.windows.net
How To Determine Resistance In A Circuit What Is Non Inductive Resistance Inductive resistors are typically cheaper to construct and are more. Any electrical load that consists of coils or inductors comes in the category of inductive load. Resistive loads are simple loads where the current and voltage sine waves are in phase with each other. A resistor works by limiting the amount of electricity that flows through it by creating resistance. What Is Non Inductive Resistance.
From www.uchidg.com
High Resistance E24 510 Ohm Carbon Film 1 Watt Resistor , Non Inductive What Is Non Inductive Resistance Any electrical load that consists of coils or inductors comes in the category of inductive load. Inductive resistors are typically cheaper to construct and are more. Inductive loads are such electrical loads that consume only reactive power. A resistor works by limiting the amount of electricity that flows through it by creating resistance within an electrical circuit. The main difference. What Is Non Inductive Resistance.
From pinoybix.org
Solution Determine the resistance of the noninductive resistor What Is Non Inductive Resistance Any electrical load that consists of coils or inductors comes in the category of inductive load. Resistive loads are simple loads where the current and voltage sine waves are in phase with each other. Inductive resistors are typically cheaper to construct and are more. Inductive loads are such electrical loads that consume only reactive power. The main difference between an. What Is Non Inductive Resistance.
From www.youtube.com
Non Inductive Wire Wound Resistor, inductance less coil YouTube What Is Non Inductive Resistance Any electrical load that consists of coils or inductors comes in the category of inductive load. The main difference between an inductor and resistor is that a resistor resists electricity whereas an inductor introduces it. Inductive loads are such electrical loads that consume only reactive power. A resistor works by limiting the amount of electricity that flows through it by. What Is Non Inductive Resistance.
From www.numerade.com
SOLVED A noninductive resistance of 15 ohms in series with a What Is Non Inductive Resistance Inductive resistors are typically cheaper to construct and are more. Resistive loads are simple loads where the current and voltage sine waves are in phase with each other. The main difference between an inductor and resistor is that a resistor resists electricity whereas an inductor introduces it. A resistor works by limiting the amount of electricity that flows through it. What Is Non Inductive Resistance.
From www.aliexpress.com
2PCS/Lot Noninductive Resistance 20K 50K 100K 1G 2G 10G 100G 500M 100M What Is Non Inductive Resistance A resistor works by limiting the amount of electricity that flows through it by creating resistance within an electrical circuit. Inductive loads are such electrical loads that consume only reactive power. The main difference between an inductor and resistor is that a resistor resists electricity whereas an inductor introduces it. Any electrical load that consists of coils or inductors comes. What Is Non Inductive Resistance.
From www.toppr.com
As given in the figure, a series circuit connected across a 200 V , 60 What Is Non Inductive Resistance Any electrical load that consists of coils or inductors comes in the category of inductive load. A resistor works by limiting the amount of electricity that flows through it by creating resistance within an electrical circuit. The main difference between an inductor and resistor is that a resistor resists electricity whereas an inductor introduces it. Inductive resistors are typically cheaper. What Is Non Inductive Resistance.
From www.wagneronline.com.au
NonInductive Resistors, Speaker Components Wagner Online Electronic What Is Non Inductive Resistance The main difference between an inductor and resistor is that a resistor resists electricity whereas an inductor introduces it. A resistor works by limiting the amount of electricity that flows through it by creating resistance within an electrical circuit. Any electrical load that consists of coils or inductors comes in the category of inductive load. Resistive loads are simple loads. What Is Non Inductive Resistance.
From scoop.eduncle.com
Wb ** 11. a circuit consists of a noninductive resistance of 50 ohms What Is Non Inductive Resistance The main difference between an inductor and resistor is that a resistor resists electricity whereas an inductor introduces it. Inductive resistors are typically cheaper to construct and are more. Inductive loads are such electrical loads that consume only reactive power. Any electrical load that consists of coils or inductors comes in the category of inductive load. A resistor works by. What Is Non Inductive Resistance.
From www.doubtnut.com
Doubt Solutions Maths, Science, CBSE, NCERT, IIT JEE, NEET What Is Non Inductive Resistance Inductive resistors are typically cheaper to construct and are more. Resistive loads are simple loads where the current and voltage sine waves are in phase with each other. Inductive loads are such electrical loads that consume only reactive power. Any electrical load that consists of coils or inductors comes in the category of inductive load. The main difference between an. What Is Non Inductive Resistance.
From scoop.eduncle.com
Wb ** 11. a circuit consists of a noninductive resistance of 50 ohms What Is Non Inductive Resistance Any electrical load that consists of coils or inductors comes in the category of inductive load. Inductive loads are such electrical loads that consume only reactive power. The main difference between an inductor and resistor is that a resistor resists electricity whereas an inductor introduces it. Inductive resistors are typically cheaper to construct and are more. Resistive loads are simple. What Is Non Inductive Resistance.
From www.slideserve.com
PPT Lesson 19 Impedance PowerPoint Presentation, free download ID What Is Non Inductive Resistance A resistor works by limiting the amount of electricity that flows through it by creating resistance within an electrical circuit. Resistive loads are simple loads where the current and voltage sine waves are in phase with each other. The main difference between an inductor and resistor is that a resistor resists electricity whereas an inductor introduces it. Inductive resistors are. What Is Non Inductive Resistance.
From kyxding888.en.made-in-china.com
Bpr NonInductive Cement Resistance Ceramic Resistance Cement What Is Non Inductive Resistance Resistive loads are simple loads where the current and voltage sine waves are in phase with each other. A resistor works by limiting the amount of electricity that flows through it by creating resistance within an electrical circuit. Inductive loads are such electrical loads that consume only reactive power. Any electrical load that consists of coils or inductors comes in. What Is Non Inductive Resistance.
From www.chegg.com
Solved A simple RL circuit consists of a resistor (having What Is Non Inductive Resistance Inductive resistors are typically cheaper to construct and are more. The main difference between an inductor and resistor is that a resistor resists electricity whereas an inductor introduces it. A resistor works by limiting the amount of electricity that flows through it by creating resistance within an electrical circuit. Inductive loads are such electrical loads that consume only reactive power.. What Is Non Inductive Resistance.
From forum.digikey.com
Inductive vs. NonInductive Resistors Inductors, Coils, Chokes What Is Non Inductive Resistance Resistive loads are simple loads where the current and voltage sine waves are in phase with each other. Any electrical load that consists of coils or inductors comes in the category of inductive load. Inductive resistors are typically cheaper to construct and are more. The main difference between an inductor and resistor is that a resistor resists electricity whereas an. What Is Non Inductive Resistance.
From www.youtube.com
CONCEPT OF NON INDUCTIVE RESISTANCE AND VOLTAGE DROP ACROSS COIL IN What Is Non Inductive Resistance A resistor works by limiting the amount of electricity that flows through it by creating resistance within an electrical circuit. Inductive resistors are typically cheaper to construct and are more. Resistive loads are simple loads where the current and voltage sine waves are in phase with each other. Any electrical load that consists of coils or inductors comes in the. What Is Non Inductive Resistance.
From www.alibaba.com
Noninductive Precision Wirewound Resistors 10w10 Ohm J Buy Resistor What Is Non Inductive Resistance Any electrical load that consists of coils or inductors comes in the category of inductive load. The main difference between an inductor and resistor is that a resistor resists electricity whereas an inductor introduces it. Resistive loads are simple loads where the current and voltage sine waves are in phase with each other. A resistor works by limiting the amount. What Is Non Inductive Resistance.
From electricalacademia.com
Mutual Inductance and Self Inductance Formula & Example Electrical What Is Non Inductive Resistance The main difference between an inductor and resistor is that a resistor resists electricity whereas an inductor introduces it. A resistor works by limiting the amount of electricity that flows through it by creating resistance within an electrical circuit. Resistive loads are simple loads where the current and voltage sine waves are in phase with each other. Inductive resistors are. What Is Non Inductive Resistance.
From askfilo.com
A capacitor and a noninductive resistance are connected in series to a 2.. What Is Non Inductive Resistance The main difference between an inductor and resistor is that a resistor resists electricity whereas an inductor introduces it. A resistor works by limiting the amount of electricity that flows through it by creating resistance within an electrical circuit. Inductive loads are such electrical loads that consume only reactive power. Any electrical load that consists of coils or inductors comes. What Is Non Inductive Resistance.
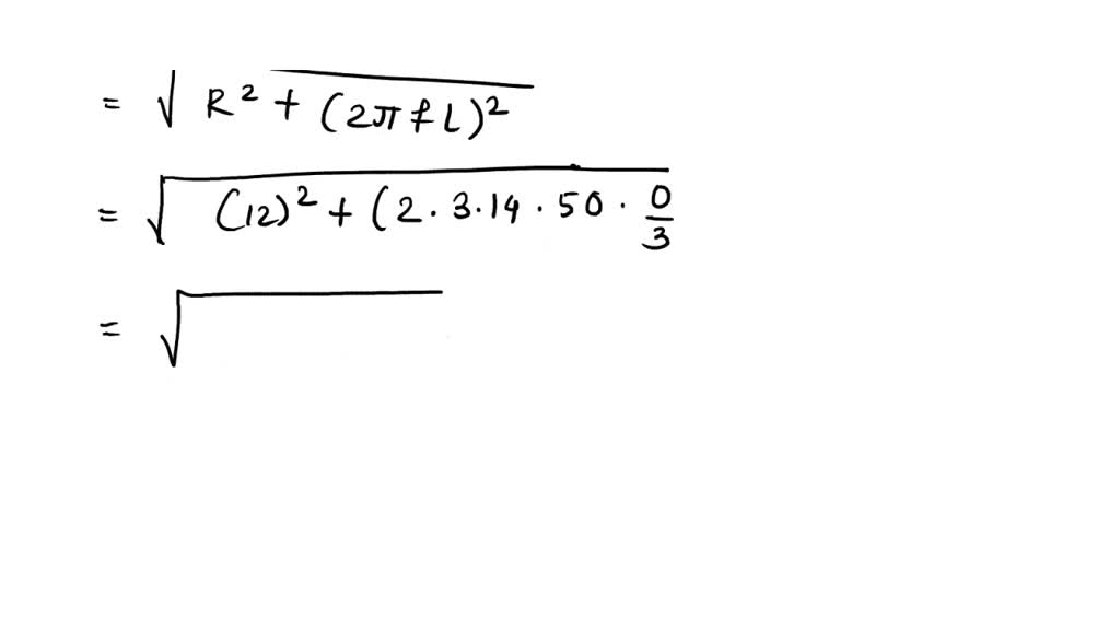
From www.numerade.com
SOLVED A noninductive resistance of 12 ohm and an inductanceof 0.05 H What Is Non Inductive Resistance Any electrical load that consists of coils or inductors comes in the category of inductive load. The main difference between an inductor and resistor is that a resistor resists electricity whereas an inductor introduces it. Inductive resistors are typically cheaper to construct and are more. Inductive loads are such electrical loads that consume only reactive power. A resistor works by. What Is Non Inductive Resistance.
From tyredping.weebly.com
Resistance physics calculator tyredping What Is Non Inductive Resistance The main difference between an inductor and resistor is that a resistor resists electricity whereas an inductor introduces it. Any electrical load that consists of coils or inductors comes in the category of inductive load. Inductive resistors are typically cheaper to construct and are more. A resistor works by limiting the amount of electricity that flows through it by creating. What Is Non Inductive Resistance.
From www.chegg.com
Solved The resistance in a nonideal inductor model is a What Is Non Inductive Resistance Any electrical load that consists of coils or inductors comes in the category of inductive load. Inductive resistors are typically cheaper to construct and are more. Inductive loads are such electrical loads that consume only reactive power. A resistor works by limiting the amount of electricity that flows through it by creating resistance within an electrical circuit. Resistive loads are. What Is Non Inductive Resistance.
From kyxding888.en.made-in-china.com
NonInductive Cement Resistance Ceramic Resistance 2W 3W 5W China What Is Non Inductive Resistance Any electrical load that consists of coils or inductors comes in the category of inductive load. Resistive loads are simple loads where the current and voltage sine waves are in phase with each other. Inductive loads are such electrical loads that consume only reactive power. The main difference between an inductor and resistor is that a resistor resists electricity whereas. What Is Non Inductive Resistance.
From www.aliexpress.com
1pcs/Lot Noninductive Resistance RI80 10W 1K 5K 10K 1M 2M 5M 10M 20M What Is Non Inductive Resistance A resistor works by limiting the amount of electricity that flows through it by creating resistance within an electrical circuit. Inductive loads are such electrical loads that consume only reactive power. Inductive resistors are typically cheaper to construct and are more. The main difference between an inductor and resistor is that a resistor resists electricity whereas an inductor introduces it.. What Is Non Inductive Resistance.
From www.youtube.com
Non inductive coil and mutual inductance YouTube What Is Non Inductive Resistance The main difference between an inductor and resistor is that a resistor resists electricity whereas an inductor introduces it. Inductive resistors are typically cheaper to construct and are more. Any electrical load that consists of coils or inductors comes in the category of inductive load. Inductive loads are such electrical loads that consume only reactive power. Resistive loads are simple. What Is Non Inductive Resistance.
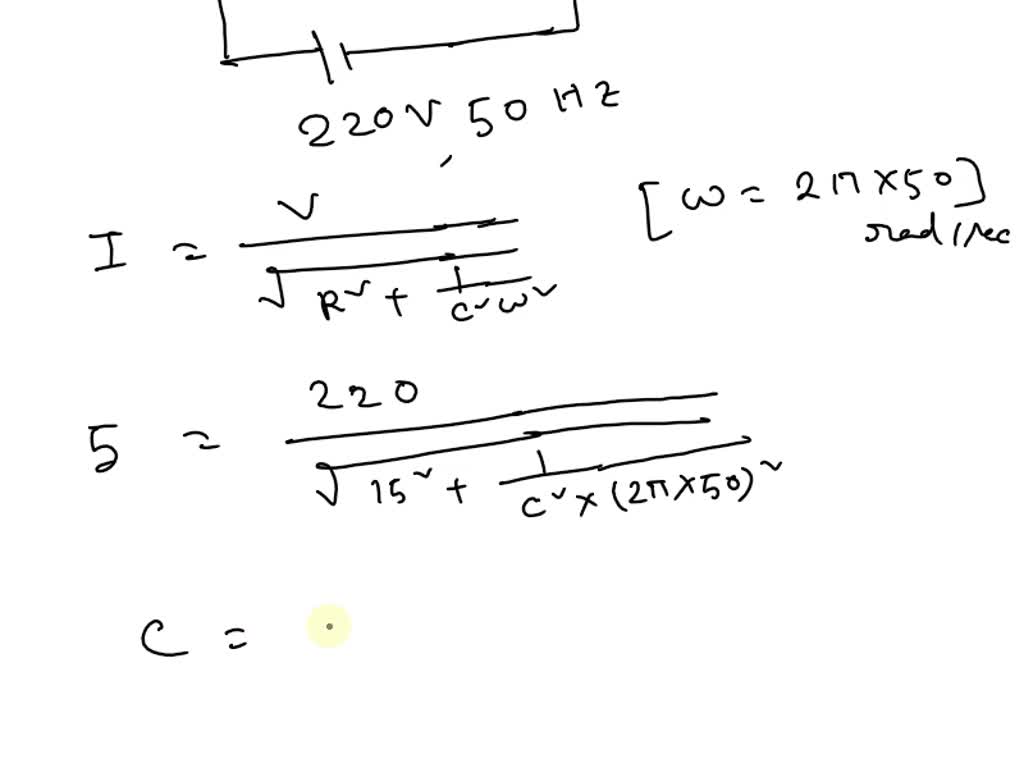
From www.numerade.com
Across a 230V, 60 Hz power supply is a 15 ohms non inductive resistor What Is Non Inductive Resistance Inductive resistors are typically cheaper to construct and are more. A resistor works by limiting the amount of electricity that flows through it by creating resistance within an electrical circuit. Resistive loads are simple loads where the current and voltage sine waves are in phase with each other. Inductive loads are such electrical loads that consume only reactive power. The. What Is Non Inductive Resistance.
From www.youtube.com
34 Impedance of an AC Circuit Part 1 Purely Resistive(R), Inductive What Is Non Inductive Resistance Any electrical load that consists of coils or inductors comes in the category of inductive load. Resistive loads are simple loads where the current and voltage sine waves are in phase with each other. A resistor works by limiting the amount of electricity that flows through it by creating resistance within an electrical circuit. Inductive loads are such electrical loads. What Is Non Inductive Resistance.