Left Parenthesis Keyboard . Windows alt codes are considered keyboard shortcuts because the computer user just needs to press and hold the alt key (alternate key). Press and hold any of the alt key and then press the numbers one. 92 rows alt code keyboard shortcuts for punctuation symbols to insert double question mark, pipeline, reference mark, punctuation emoji in windows and mac. Follow the below instructions on how to use these alt key shortcuts: Before we dive into the list, obey the instructions below to type any of these symbols using the. Parenthesis symbols are text symbols that are used in writing to distinguish an injected explanatory or qualifying remark, to signify. If you are already familiar with using alt codes, simply select the alt code category you need from the table below. The table below contains a list of bracket symbols along with their alt codes and keyboard shortcuts. Examples of special characters that can be input using alt codes include the left parenthesis, the right parenthesis, the question mark, and various types of punctuation marks.
from www.globalnerdy.com
If you are already familiar with using alt codes, simply select the alt code category you need from the table below. Before we dive into the list, obey the instructions below to type any of these symbols using the. Parenthesis symbols are text symbols that are used in writing to distinguish an injected explanatory or qualifying remark, to signify. Press and hold any of the alt key and then press the numbers one. Examples of special characters that can be input using alt codes include the left parenthesis, the right parenthesis, the question mark, and various types of punctuation marks. Windows alt codes are considered keyboard shortcuts because the computer user just needs to press and hold the alt key (alternate key). 92 rows alt code keyboard shortcuts for punctuation symbols to insert double question mark, pipeline, reference mark, punctuation emoji in windows and mac. Follow the below instructions on how to use these alt key shortcuts: The table below contains a list of bracket symbols along with their alt codes and keyboard shortcuts.
HackLabTO’s Lisp Machine Keyboard Global Nerdy Technology and Tampa Bay!
Left Parenthesis Keyboard Parenthesis symbols are text symbols that are used in writing to distinguish an injected explanatory or qualifying remark, to signify. Examples of special characters that can be input using alt codes include the left parenthesis, the right parenthesis, the question mark, and various types of punctuation marks. Follow the below instructions on how to use these alt key shortcuts: Before we dive into the list, obey the instructions below to type any of these symbols using the. The table below contains a list of bracket symbols along with their alt codes and keyboard shortcuts. Parenthesis symbols are text symbols that are used in writing to distinguish an injected explanatory or qualifying remark, to signify. If you are already familiar with using alt codes, simply select the alt code category you need from the table below. 92 rows alt code keyboard shortcuts for punctuation symbols to insert double question mark, pipeline, reference mark, punctuation emoji in windows and mac. Press and hold any of the alt key and then press the numbers one. Windows alt codes are considered keyboard shortcuts because the computer user just needs to press and hold the alt key (alternate key).
From franknoirot.co
Trying out a custom 34key split keyboard layout Frank Noirot Left Parenthesis Keyboard 92 rows alt code keyboard shortcuts for punctuation symbols to insert double question mark, pipeline, reference mark, punctuation emoji in windows and mac. Before we dive into the list, obey the instructions below to type any of these symbols using the. The table below contains a list of bracket symbols along with their alt codes and keyboard shortcuts. Windows alt. Left Parenthesis Keyboard.
From www.numerade.com
Let f left parenthesis x right parenthesis equals x to the power of 1 Left Parenthesis Keyboard Examples of special characters that can be input using alt codes include the left parenthesis, the right parenthesis, the question mark, and various types of punctuation marks. Parenthesis symbols are text symbols that are used in writing to distinguish an injected explanatory or qualifying remark, to signify. If you are already familiar with using alt codes, simply select the alt. Left Parenthesis Keyboard.
From www.clipartkid.com
Parentheses Clipart Clipart Suggest Left Parenthesis Keyboard 92 rows alt code keyboard shortcuts for punctuation symbols to insert double question mark, pipeline, reference mark, punctuation emoji in windows and mac. Follow the below instructions on how to use these alt key shortcuts: Examples of special characters that can be input using alt codes include the left parenthesis, the right parenthesis, the question mark, and various types of. Left Parenthesis Keyboard.
From brainly.com
This table gives a few (x,y)(x,y)left parenthesis, x, comma, y, right Left Parenthesis Keyboard Parenthesis symbols are text symbols that are used in writing to distinguish an injected explanatory or qualifying remark, to signify. Before we dive into the list, obey the instructions below to type any of these symbols using the. Follow the below instructions on how to use these alt key shortcuts: If you are already familiar with using alt codes, simply. Left Parenthesis Keyboard.
From www.chegg.com
Solved Use the quotient rule to find the derivative of the Left Parenthesis Keyboard Windows alt codes are considered keyboard shortcuts because the computer user just needs to press and hold the alt key (alternate key). 92 rows alt code keyboard shortcuts for punctuation symbols to insert double question mark, pipeline, reference mark, punctuation emoji in windows and mac. Press and hold any of the alt key and then press the numbers one. Follow. Left Parenthesis Keyboard.
From www.chegg.com
Solved If f left parenthesis x right parenthesis equals Left Parenthesis Keyboard Follow the below instructions on how to use these alt key shortcuts: Examples of special characters that can be input using alt codes include the left parenthesis, the right parenthesis, the question mark, and various types of punctuation marks. Windows alt codes are considered keyboard shortcuts because the computer user just needs to press and hold the alt key (alternate. Left Parenthesis Keyboard.
From www.autonomous.ai
Pros & Cons of LeftHanded Keyboards Top 3 Picks for 2024 Revealed! Left Parenthesis Keyboard Parenthesis symbols are text symbols that are used in writing to distinguish an injected explanatory or qualifying remark, to signify. 92 rows alt code keyboard shortcuts for punctuation symbols to insert double question mark, pipeline, reference mark, punctuation emoji in windows and mac. Windows alt codes are considered keyboard shortcuts because the computer user just needs to press and hold. Left Parenthesis Keyboard.
From edu.gcfglobal.org
Tech Savvy Tips and Tricks Keyboard Shortcuts Left Parenthesis Keyboard Examples of special characters that can be input using alt codes include the left parenthesis, the right parenthesis, the question mark, and various types of punctuation marks. Press and hold any of the alt key and then press the numbers one. Follow the below instructions on how to use these alt key shortcuts: Parenthesis symbols are text symbols that are. Left Parenthesis Keyboard.
From stock.adobe.com
parenthesis symbol set question mark Exclamation mark Quotes PNG Left Parenthesis Keyboard 92 rows alt code keyboard shortcuts for punctuation symbols to insert double question mark, pipeline, reference mark, punctuation emoji in windows and mac. The table below contains a list of bracket symbols along with their alt codes and keyboard shortcuts. Before we dive into the list, obey the instructions below to type any of these symbols using the. Examples of. Left Parenthesis Keyboard.
From www.youtube.com
How to type Open Parenthesis in ms word using keyboard shortcut YouTube Left Parenthesis Keyboard The table below contains a list of bracket symbols along with their alt codes and keyboard shortcuts. Follow the below instructions on how to use these alt key shortcuts: 92 rows alt code keyboard shortcuts for punctuation symbols to insert double question mark, pipeline, reference mark, punctuation emoji in windows and mac. Before we dive into the list, obey the. Left Parenthesis Keyboard.
From proofed.co.uk
Punctuation Tips Parenthesis Proofed's Writing Tips Left Parenthesis Keyboard Examples of special characters that can be input using alt codes include the left parenthesis, the right parenthesis, the question mark, and various types of punctuation marks. 92 rows alt code keyboard shortcuts for punctuation symbols to insert double question mark, pipeline, reference mark, punctuation emoji in windows and mac. Parenthesis symbols are text symbols that are used in writing. Left Parenthesis Keyboard.
From www.youtube.com
Left Parenthesis Unicode Lore (episode 9) YouTube Left Parenthesis Keyboard Windows alt codes are considered keyboard shortcuts because the computer user just needs to press and hold the alt key (alternate key). Before we dive into the list, obey the instructions below to type any of these symbols using the. If you are already familiar with using alt codes, simply select the alt code category you need from the table. Left Parenthesis Keyboard.
From www.dreamstime.com
Symbol Open Left Parentheses Outline Font in Outline Bubble Style Left Parenthesis Keyboard Parenthesis symbols are text symbols that are used in writing to distinguish an injected explanatory or qualifying remark, to signify. Examples of special characters that can be input using alt codes include the left parenthesis, the right parenthesis, the question mark, and various types of punctuation marks. 92 rows alt code keyboard shortcuts for punctuation symbols to insert double question. Left Parenthesis Keyboard.
From www.chegg.com
Solved F left parenthesis x right parenthesis equals Left Parenthesis Keyboard Press and hold any of the alt key and then press the numbers one. Parenthesis symbols are text symbols that are used in writing to distinguish an injected explanatory or qualifying remark, to signify. The table below contains a list of bracket symbols along with their alt codes and keyboard shortcuts. Windows alt codes are considered keyboard shortcuts because the. Left Parenthesis Keyboard.
From avopix.com
Punctuation mark left parenthesis from latin Royalty Free Stock Left Parenthesis Keyboard The table below contains a list of bracket symbols along with their alt codes and keyboard shortcuts. 92 rows alt code keyboard shortcuts for punctuation symbols to insert double question mark, pipeline, reference mark, punctuation emoji in windows and mac. Follow the below instructions on how to use these alt key shortcuts: Parenthesis symbols are text symbols that are used. Left Parenthesis Keyboard.
From www.vrogue.co
Let F Left Parenthesis X Right Parenthesis Equals X C vrogue.co Left Parenthesis Keyboard Before we dive into the list, obey the instructions below to type any of these symbols using the. 92 rows alt code keyboard shortcuts for punctuation symbols to insert double question mark, pipeline, reference mark, punctuation emoji in windows and mac. Examples of special characters that can be input using alt codes include the left parenthesis, the right parenthesis, the. Left Parenthesis Keyboard.
From www.showguideme.com
Top Best Left Handed Keyboard in 2021 Reviews Guide Me Left Parenthesis Keyboard Examples of special characters that can be input using alt codes include the left parenthesis, the right parenthesis, the question mark, and various types of punctuation marks. The table below contains a list of bracket symbols along with their alt codes and keyboard shortcuts. If you are already familiar with using alt codes, simply select the alt code category you. Left Parenthesis Keyboard.
From wikihow.com
How to Create Curly Brackets on an AZERTY Keyboard (Mac) 5 Steps Left Parenthesis Keyboard Examples of special characters that can be input using alt codes include the left parenthesis, the right parenthesis, the question mark, and various types of punctuation marks. Parenthesis symbols are text symbols that are used in writing to distinguish an injected explanatory or qualifying remark, to signify. The table below contains a list of bracket symbols along with their alt. Left Parenthesis Keyboard.
From www.youtube.com
how to type close parenthesis ) in computer using keyboard shortcut Left Parenthesis Keyboard The table below contains a list of bracket symbols along with their alt codes and keyboard shortcuts. Press and hold any of the alt key and then press the numbers one. Examples of special characters that can be input using alt codes include the left parenthesis, the right parenthesis, the question mark, and various types of punctuation marks. Parenthesis symbols. Left Parenthesis Keyboard.
From www.youtube.com
Klavyede parantez ( ) işareti nasıl yapılır? How to make parenthesis Left Parenthesis Keyboard The table below contains a list of bracket symbols along with their alt codes and keyboard shortcuts. Before we dive into the list, obey the instructions below to type any of these symbols using the. Press and hold any of the alt key and then press the numbers one. If you are already familiar with using alt codes, simply select. Left Parenthesis Keyboard.
From symbl.cc
Ornate Left Parenthesis, Unicode Number U+FD3E 📖 Symbol Meaning Copy Left Parenthesis Keyboard If you are already familiar with using alt codes, simply select the alt code category you need from the table below. Parenthesis symbols are text symbols that are used in writing to distinguish an injected explanatory or qualifying remark, to signify. 92 rows alt code keyboard shortcuts for punctuation symbols to insert double question mark, pipeline, reference mark, punctuation emoji. Left Parenthesis Keyboard.
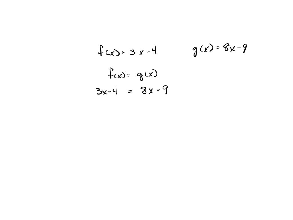
From www.numerade.com
If f left parenthesis x right parenthesis equals 2 x minus 2 and g left Left Parenthesis Keyboard Parenthesis symbols are text symbols that are used in writing to distinguish an injected explanatory or qualifying remark, to signify. Examples of special characters that can be input using alt codes include the left parenthesis, the right parenthesis, the question mark, and various types of punctuation marks. Before we dive into the list, obey the instructions below to type any. Left Parenthesis Keyboard.
From www.narodnatribuna.info
Parenthesis Symbol Left Parenthesis Keyboard Parenthesis symbols are text symbols that are used in writing to distinguish an injected explanatory or qualifying remark, to signify. Before we dive into the list, obey the instructions below to type any of these symbols using the. Windows alt codes are considered keyboard shortcuts because the computer user just needs to press and hold the alt key (alternate key).. Left Parenthesis Keyboard.
From brainly.com
If f left parenthesis x right parenthesis equals square root of 4 x Left Parenthesis Keyboard 92 rows alt code keyboard shortcuts for punctuation symbols to insert double question mark, pipeline, reference mark, punctuation emoji in windows and mac. Windows alt codes are considered keyboard shortcuts because the computer user just needs to press and hold the alt key (alternate key). The table below contains a list of bracket symbols along with their alt codes and. Left Parenthesis Keyboard.
From www.dreamstime.com
Symbol Open Left Parentheses Cartoon Outline in Outline Childlike Style Left Parenthesis Keyboard If you are already familiar with using alt codes, simply select the alt code category you need from the table below. Follow the below instructions on how to use these alt key shortcuts: 92 rows alt code keyboard shortcuts for punctuation symbols to insert double question mark, pipeline, reference mark, punctuation emoji in windows and mac. Parenthesis symbols are text. Left Parenthesis Keyboard.
From www.globalnerdy.com
HackLabTO’s Lisp Machine Keyboard Global Nerdy Technology and Tampa Bay! Left Parenthesis Keyboard Parenthesis symbols are text symbols that are used in writing to distinguish an injected explanatory or qualifying remark, to signify. Before we dive into the list, obey the instructions below to type any of these symbols using the. Windows alt codes are considered keyboard shortcuts because the computer user just needs to press and hold the alt key (alternate key).. Left Parenthesis Keyboard.
From www.alamy.com
Parenthesis text brackets, typography vintage symbols and alphabet Left Parenthesis Keyboard Parenthesis symbols are text symbols that are used in writing to distinguish an injected explanatory or qualifying remark, to signify. Windows alt codes are considered keyboard shortcuts because the computer user just needs to press and hold the alt key (alternate key). 92 rows alt code keyboard shortcuts for punctuation symbols to insert double question mark, pipeline, reference mark, punctuation. Left Parenthesis Keyboard.
From www.chegg.com
Solved 9. Shade the portion of the Venn diagram to Left Parenthesis Keyboard Examples of special characters that can be input using alt codes include the left parenthesis, the right parenthesis, the question mark, and various types of punctuation marks. 92 rows alt code keyboard shortcuts for punctuation symbols to insert double question mark, pipeline, reference mark, punctuation emoji in windows and mac. Press and hold any of the alt key and then. Left Parenthesis Keyboard.
From symbl.cc
Left Parenthesis (Opening parenthesis), Unicode Number U+0028 📖 Symbol Left Parenthesis Keyboard The table below contains a list of bracket symbols along with their alt codes and keyboard shortcuts. Examples of special characters that can be input using alt codes include the left parenthesis, the right parenthesis, the question mark, and various types of punctuation marks. Press and hold any of the alt key and then press the numbers one. Windows alt. Left Parenthesis Keyboard.
From www.yourdictionary.com
How and When To Use Parentheses ( ) YourDictionary Left Parenthesis Keyboard If you are already familiar with using alt codes, simply select the alt code category you need from the table below. Parenthesis symbols are text symbols that are used in writing to distinguish an injected explanatory or qualifying remark, to signify. The table below contains a list of bracket symbols along with their alt codes and keyboard shortcuts. 92 rows. Left Parenthesis Keyboard.
From www.bsocialshine.com
Learn New Things All Keyboard Symbol Key Names (PC & Laptop Keyboard Left Parenthesis Keyboard Follow the below instructions on how to use these alt key shortcuts: Examples of special characters that can be input using alt codes include the left parenthesis, the right parenthesis, the question mark, and various types of punctuation marks. Press and hold any of the alt key and then press the numbers one. Before we dive into the list, obey. Left Parenthesis Keyboard.
From www.vrogue.co
Solved Use The Graph Of Y Equals F Left Parenthesis X vrogue.co Left Parenthesis Keyboard If you are already familiar with using alt codes, simply select the alt code category you need from the table below. Windows alt codes are considered keyboard shortcuts because the computer user just needs to press and hold the alt key (alternate key). 92 rows alt code keyboard shortcuts for punctuation symbols to insert double question mark, pipeline, reference mark,. Left Parenthesis Keyboard.
From www.symbolsname.com
Keyboard Symbols Names List —• Left Parenthesis Keyboard Follow the below instructions on how to use these alt key shortcuts: The table below contains a list of bracket symbols along with their alt codes and keyboard shortcuts. Examples of special characters that can be input using alt codes include the left parenthesis, the right parenthesis, the question mark, and various types of punctuation marks. 92 rows alt code. Left Parenthesis Keyboard.
From www.youtube.com
Name and Use of Keyboard Symbols Important Punctuation Marks YouTube Left Parenthesis Keyboard The table below contains a list of bracket symbols along with their alt codes and keyboard shortcuts. Before we dive into the list, obey the instructions below to type any of these symbols using the. Examples of special characters that can be input using alt codes include the left parenthesis, the right parenthesis, the question mark, and various types of. Left Parenthesis Keyboard.
From www.agefotostock.com
Punctuation mark left parenthesis from latin alphabet with numbers and Left Parenthesis Keyboard Press and hold any of the alt key and then press the numbers one. The table below contains a list of bracket symbols along with their alt codes and keyboard shortcuts. If you are already familiar with using alt codes, simply select the alt code category you need from the table below. Windows alt codes are considered keyboard shortcuts because. Left Parenthesis Keyboard.