What Is Afqt Percentile Score Mean . The armed forces qualification test (afqt) is a score composed from four specific subtests that are included in the overall asvab (armed services vocational aptitude battery) test. The percentile score you receive represents how many test takers in. 99 rows the percentile indicates the percentage of reference group participants who received an equal or lower score. Armed forces qualification test (afqt) percentile scores range from 1 to 99. It means you scored at and above 70% of the military’s reference sample of test takers. The armed forces qualification test (afqt) score calculator computes your percentile score on the afqt in accordance with your performance on. The highest afqt score range is 93 to 99%.
from www.researchgate.net
99 rows the percentile indicates the percentage of reference group participants who received an equal or lower score. The armed forces qualification test (afqt) score calculator computes your percentile score on the afqt in accordance with your performance on. The armed forces qualification test (afqt) is a score composed from four specific subtests that are included in the overall asvab (armed services vocational aptitude battery) test. It means you scored at and above 70% of the military’s reference sample of test takers. Armed forces qualification test (afqt) percentile scores range from 1 to 99. The percentile score you receive represents how many test takers in. The highest afqt score range is 93 to 99%.
Adjusted AFQT Scores for Displaced and Undisplaced Workers Employed at
What Is Afqt Percentile Score Mean Armed forces qualification test (afqt) percentile scores range from 1 to 99. The armed forces qualification test (afqt) score calculator computes your percentile score on the afqt in accordance with your performance on. The percentile score you receive represents how many test takers in. The armed forces qualification test (afqt) is a score composed from four specific subtests that are included in the overall asvab (armed services vocational aptitude battery) test. 99 rows the percentile indicates the percentage of reference group participants who received an equal or lower score. The highest afqt score range is 93 to 99%. Armed forces qualification test (afqt) percentile scores range from 1 to 99. It means you scored at and above 70% of the military’s reference sample of test takers.
From payscalechart.z28.web.core.windows.net
iq test scale chart Printable iq test What Is Afqt Percentile Score Mean The armed forces qualification test (afqt) score calculator computes your percentile score on the afqt in accordance with your performance on. The percentile score you receive represents how many test takers in. The armed forces qualification test (afqt) is a score composed from four specific subtests that are included in the overall asvab (armed services vocational aptitude battery) test. The. What Is Afqt Percentile Score Mean.
From guitarscalechart.z28.web.core.windows.net
age chart iq scale by age Iq scale distribution What Is Afqt Percentile Score Mean The armed forces qualification test (afqt) score calculator computes your percentile score on the afqt in accordance with your performance on. The armed forces qualification test (afqt) is a score composed from four specific subtests that are included in the overall asvab (armed services vocational aptitude battery) test. Armed forces qualification test (afqt) percentile scores range from 1 to 99.. What Is Afqt Percentile Score Mean.
From www.facebook.com
Repasos de ASVAB IQ+ What Is Afqt Percentile Score Mean The armed forces qualification test (afqt) score calculator computes your percentile score on the afqt in accordance with your performance on. The percentile score you receive represents how many test takers in. 99 rows the percentile indicates the percentage of reference group participants who received an equal or lower score. Armed forces qualification test (afqt) percentile scores range from 1. What Is Afqt Percentile Score Mean.
From www.slideserve.com
PPT The asvab PowerPoint Presentation, free download ID2801546 What Is Afqt Percentile Score Mean Armed forces qualification test (afqt) percentile scores range from 1 to 99. The armed forces qualification test (afqt) is a score composed from four specific subtests that are included in the overall asvab (armed services vocational aptitude battery) test. 99 rows the percentile indicates the percentage of reference group participants who received an equal or lower score. The armed forces. What Is Afqt Percentile Score Mean.
From www.youtube.com
Are Your Scores Competitive Enough? AFOQT Scoring Explained YouTube What Is Afqt Percentile Score Mean Armed forces qualification test (afqt) percentile scores range from 1 to 99. The highest afqt score range is 93 to 99%. It means you scored at and above 70% of the military’s reference sample of test takers. The percentile score you receive represents how many test takers in. The armed forces qualification test (afqt) is a score composed from four. What Is Afqt Percentile Score Mean.
From www.reddit.com
[I'm so confused about how AFQT scores are calculated.] When adding AR What Is Afqt Percentile Score Mean The percentile score you receive represents how many test takers in. 99 rows the percentile indicates the percentage of reference group participants who received an equal or lower score. The armed forces qualification test (afqt) score calculator computes your percentile score on the afqt in accordance with your performance on. Armed forces qualification test (afqt) percentile scores range from 1. What Is Afqt Percentile Score Mean.
From ifunny.co
7 editing Done 4 of 4 ) Testing Date PICAT SCORE REPORT Testt Date What Is Afqt Percentile Score Mean The armed forces qualification test (afqt) score calculator computes your percentile score on the afqt in accordance with your performance on. The percentile score you receive represents how many test takers in. Armed forces qualification test (afqt) percentile scores range from 1 to 99. The armed forces qualification test (afqt) is a score composed from four specific subtests that are. What Is Afqt Percentile Score Mean.
From www.researchgate.net
Adjusted AFQT Scores for Displaced and Undisplaced Workers Employed at What Is Afqt Percentile Score Mean The armed forces qualification test (afqt) score calculator computes your percentile score on the afqt in accordance with your performance on. The highest afqt score range is 93 to 99%. It means you scored at and above 70% of the military’s reference sample of test takers. The percentile score you receive represents how many test takers in. 99 rows the. What Is Afqt Percentile Score Mean.
From www.youtube.com
How to calculate afqt score? YouTube What Is Afqt Percentile Score Mean The percentile score you receive represents how many test takers in. The armed forces qualification test (afqt) score calculator computes your percentile score on the afqt in accordance with your performance on. Armed forces qualification test (afqt) percentile scores range from 1 to 99. The highest afqt score range is 93 to 99%. It means you scored at and above. What Is Afqt Percentile Score Mean.
From uniontestprep.com
What Is a Good ASVAB Score? What Is Afqt Percentile Score Mean 99 rows the percentile indicates the percentage of reference group participants who received an equal or lower score. The highest afqt score range is 93 to 99%. The armed forces qualification test (afqt) is a score composed from four specific subtests that are included in the overall asvab (armed services vocational aptitude battery) test. It means you scored at and. What Is Afqt Percentile Score Mean.
From bradsairforcejourney.blogspot.com
Air Force Journey Air Force Journey 4 Understanding Your ASVAB Scores What Is Afqt Percentile Score Mean Armed forces qualification test (afqt) percentile scores range from 1 to 99. The highest afqt score range is 93 to 99%. It means you scored at and above 70% of the military’s reference sample of test takers. The percentile score you receive represents how many test takers in. The armed forces qualification test (afqt) is a score composed from four. What Is Afqt Percentile Score Mean.
From www.pivottutors.com
SAT & ACT Percentile Score Charts Pivot Tutors What Is Afqt Percentile Score Mean 99 rows the percentile indicates the percentage of reference group participants who received an equal or lower score. Armed forces qualification test (afqt) percentile scores range from 1 to 99. The armed forces qualification test (afqt) score calculator computes your percentile score on the afqt in accordance with your performance on. It means you scored at and above 70% of. What Is Afqt Percentile Score Mean.
From ifunny.co
IOWA NATIONAL GUARD Test Results Congratulations! Your score looks What Is Afqt Percentile Score Mean Armed forces qualification test (afqt) percentile scores range from 1 to 99. The armed forces qualification test (afqt) score calculator computes your percentile score on the afqt in accordance with your performance on. It means you scored at and above 70% of the military’s reference sample of test takers. The percentile score you receive represents how many test takers in.. What Is Afqt Percentile Score Mean.
From www.asvabprogram.com
What Do ASVAB Scores Mean ASVAB Career Exploration Program What Is Afqt Percentile Score Mean The highest afqt score range is 93 to 99%. 99 rows the percentile indicates the percentage of reference group participants who received an equal or lower score. Armed forces qualification test (afqt) percentile scores range from 1 to 99. The armed forces qualification test (afqt) score calculator computes your percentile score on the afqt in accordance with your performance on.. What Is Afqt Percentile Score Mean.
From www.researchgate.net
IQMetric Armed Forces Qualification Test (AFQT) scores (with What Is Afqt Percentile Score Mean The armed forces qualification test (afqt) score calculator computes your percentile score on the afqt in accordance with your performance on. The highest afqt score range is 93 to 99%. Armed forces qualification test (afqt) percentile scores range from 1 to 99. It means you scored at and above 70% of the military’s reference sample of test takers. The percentile. What Is Afqt Percentile Score Mean.
From stock.adobe.com
Percentile Score is a comparison score between a particular score and What Is Afqt Percentile Score Mean Armed forces qualification test (afqt) percentile scores range from 1 to 99. The percentile score you receive represents how many test takers in. The highest afqt score range is 93 to 99%. The armed forces qualification test (afqt) score calculator computes your percentile score on the afqt in accordance with your performance on. The armed forces qualification test (afqt) is. What Is Afqt Percentile Score Mean.
From www.researchgate.net
Percent of Mate Examinees Who Achieved AFQT Percentile Scares of 50 or What Is Afqt Percentile Score Mean The armed forces qualification test (afqt) is a score composed from four specific subtests that are included in the overall asvab (armed services vocational aptitude battery) test. The armed forces qualification test (afqt) score calculator computes your percentile score on the afqt in accordance with your performance on. Armed forces qualification test (afqt) percentile scores range from 1 to 99.. What Is Afqt Percentile Score Mean.
From www.pinterest.fr
Standard Scores IQ Chart and standard deviation, z scores What Is Afqt Percentile Score Mean Armed forces qualification test (afqt) percentile scores range from 1 to 99. The armed forces qualification test (afqt) is a score composed from four specific subtests that are included in the overall asvab (armed services vocational aptitude battery) test. The percentile score you receive represents how many test takers in. 99 rows the percentile indicates the percentage of reference group. What Is Afqt Percentile Score Mean.
From uniontestprep.com
What Is an AFQT Score? What Is Afqt Percentile Score Mean The armed forces qualification test (afqt) is a score composed from four specific subtests that are included in the overall asvab (armed services vocational aptitude battery) test. The highest afqt score range is 93 to 99%. It means you scored at and above 70% of the military’s reference sample of test takers. 99 rows the percentile indicates the percentage of. What Is Afqt Percentile Score Mean.
From militarytestprep.com
AFQT vs ASVAB What's the Difference? Military Test Prep What Is Afqt Percentile Score Mean 99 rows the percentile indicates the percentage of reference group participants who received an equal or lower score. The armed forces qualification test (afqt) score calculator computes your percentile score on the afqt in accordance with your performance on. The highest afqt score range is 93 to 99%. The armed forces qualification test (afqt) is a score composed from four. What Is Afqt Percentile Score Mean.
From civildefence.info
The Best Minimum Asvab Score For Army Ideas What Is Afqt Percentile Score Mean Armed forces qualification test (afqt) percentile scores range from 1 to 99. 99 rows the percentile indicates the percentage of reference group participants who received an equal or lower score. It means you scored at and above 70% of the military’s reference sample of test takers. The armed forces qualification test (afqt) score calculator computes your percentile score on the. What Is Afqt Percentile Score Mean.
From www.thoughtco.com
How to Understand Score Percentiles What Is Afqt Percentile Score Mean The highest afqt score range is 93 to 99%. 99 rows the percentile indicates the percentage of reference group participants who received an equal or lower score. It means you scored at and above 70% of the military’s reference sample of test takers. The armed forces qualification test (afqt) score calculator computes your percentile score on the afqt in accordance. What Is Afqt Percentile Score Mean.
From oppositelock.kinja.com
Took the ASVAB got a 94 AFQT! What Is Afqt Percentile Score Mean The armed forces qualification test (afqt) score calculator computes your percentile score on the afqt in accordance with your performance on. It means you scored at and above 70% of the military’s reference sample of test takers. The percentile score you receive represents how many test takers in. 99 rows the percentile indicates the percentage of reference group participants who. What Is Afqt Percentile Score Mean.
From ifunny.co
That time i scored an 11 on my ASVAB Imao print No 0017 Waxanauire What Is Afqt Percentile Score Mean The armed forces qualification test (afqt) score calculator computes your percentile score on the afqt in accordance with your performance on. 99 rows the percentile indicates the percentage of reference group participants who received an equal or lower score. The armed forces qualification test (afqt) is a score composed from four specific subtests that are included in the overall asvab. What Is Afqt Percentile Score Mean.
From www.researchgate.net
(PDF) Unions, Wages, and Skills What Is Afqt Percentile Score Mean Armed forces qualification test (afqt) percentile scores range from 1 to 99. 99 rows the percentile indicates the percentage of reference group participants who received an equal or lower score. The highest afqt score range is 93 to 99%. It means you scored at and above 70% of the military’s reference sample of test takers. The armed forces qualification test. What Is Afqt Percentile Score Mean.
From www.asvabiqplusenglish.com
Fernando’s Scores ASVAB IQ Plus English What Is Afqt Percentile Score Mean The armed forces qualification test (afqt) is a score composed from four specific subtests that are included in the overall asvab (armed services vocational aptitude battery) test. The highest afqt score range is 93 to 99%. Armed forces qualification test (afqt) percentile scores range from 1 to 99. The armed forces qualification test (afqt) score calculator computes your percentile score. What Is Afqt Percentile Score Mean.
From www.researchgate.net
WAIS Subtests ard IQs, AFQT Scores, AQE Aptitude Indexes, and Age and What Is Afqt Percentile Score Mean The highest afqt score range is 93 to 99%. 99 rows the percentile indicates the percentage of reference group participants who received an equal or lower score. It means you scored at and above 70% of the military’s reference sample of test takers. The armed forces qualification test (afqt) score calculator computes your percentile score on the afqt in accordance. What Is Afqt Percentile Score Mean.
From www.slideserve.com
PPT Achievement Tests PowerPoint Presentation, free download ID6598841 What Is Afqt Percentile Score Mean It means you scored at and above 70% of the military’s reference sample of test takers. The armed forces qualification test (afqt) is a score composed from four specific subtests that are included in the overall asvab (armed services vocational aptitude battery) test. 99 rows the percentile indicates the percentage of reference group participants who received an equal or lower. What Is Afqt Percentile Score Mean.
From informacionpublica.svet.gob.gt
What Is A 110 GT Score On The ASVAB? Quora, 46 OFF What Is Afqt Percentile Score Mean The percentile score you receive represents how many test takers in. The armed forces qualification test (afqt) is a score composed from four specific subtests that are included in the overall asvab (armed services vocational aptitude battery) test. Armed forces qualification test (afqt) percentile scores range from 1 to 99. The highest afqt score range is 93 to 99%. It. What Is Afqt Percentile Score Mean.
From asvabadvantage.com
What Is the ASVAB Highest Score and Why It Matters ASVAB Advantage What Is Afqt Percentile Score Mean The percentile score you receive represents how many test takers in. Armed forces qualification test (afqt) percentile scores range from 1 to 99. The highest afqt score range is 93 to 99%. The armed forces qualification test (afqt) score calculator computes your percentile score on the afqt in accordance with your performance on. It means you scored at and above. What Is Afqt Percentile Score Mean.
From asvabtutor.com
How the ASVAB (AFQT) Test is Scored What You Really Need to Know What Is Afqt Percentile Score Mean It means you scored at and above 70% of the military’s reference sample of test takers. 99 rows the percentile indicates the percentage of reference group participants who received an equal or lower score. The highest afqt score range is 93 to 99%. The percentile score you receive represents how many test takers in. The armed forces qualification test (afqt). What Is Afqt Percentile Score Mean.
From www.researchgate.net
Equiercentile Calibration of CAST to AFQT Download Table What Is Afqt Percentile Score Mean 99 rows the percentile indicates the percentage of reference group participants who received an equal or lower score. The armed forces qualification test (afqt) score calculator computes your percentile score on the afqt in accordance with your performance on. The percentile score you receive represents how many test takers in. The highest afqt score range is 93 to 99%. It. What Is Afqt Percentile Score Mean.
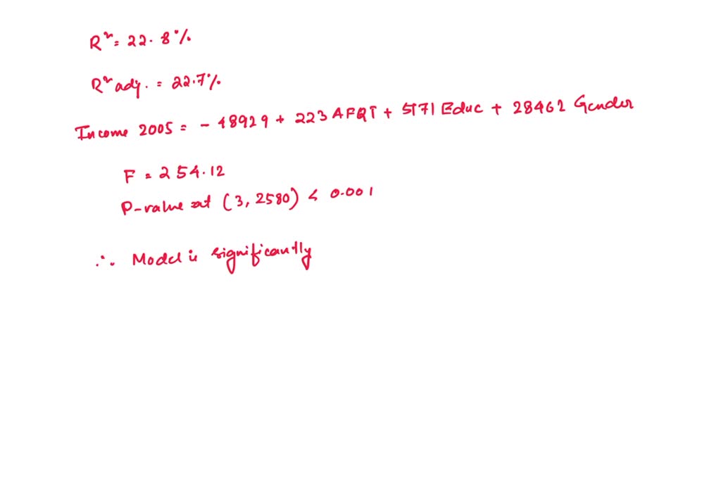
From www.numerade.com
Text Comparing Male and Female After Accounting for Education What Is Afqt Percentile Score Mean The percentile score you receive represents how many test takers in. 99 rows the percentile indicates the percentage of reference group participants who received an equal or lower score. It means you scored at and above 70% of the military’s reference sample of test takers. The armed forces qualification test (afqt) score calculator computes your percentile score on the afqt. What Is Afqt Percentile Score Mean.
From www.researchgate.net
Means, standard deviations, and ranges for WAISIV subtest and What Is Afqt Percentile Score Mean The armed forces qualification test (afqt) is a score composed from four specific subtests that are included in the overall asvab (armed services vocational aptitude battery) test. The percentile score you receive represents how many test takers in. 99 rows the percentile indicates the percentage of reference group participants who received an equal or lower score. The highest afqt score. What Is Afqt Percentile Score Mean.
From educationdbtuktelsed4.z13.web.core.windows.net
How To Interpret Percentile Rank What Is Afqt Percentile Score Mean It means you scored at and above 70% of the military’s reference sample of test takers. 99 rows the percentile indicates the percentage of reference group participants who received an equal or lower score. The armed forces qualification test (afqt) is a score composed from four specific subtests that are included in the overall asvab (armed services vocational aptitude battery). What Is Afqt Percentile Score Mean.