Differential Equation Solver Power Series . In introduction to power series , we studied how. Calculator applies methods to solve: Detailed step by step solutions to your power series problems with our math solver. Power series calculator online with solution and steps. The calculator will try to find the solution of the given ode: Let us solve the differential equation #y''=y# by power series method. Previously, we studied how functions can be represented as power series, \(\displaystyle. Let #y=sum_{n=0}^inftyc_n x^n#, where #c_n# is to.
from www.youtube.com
Calculator applies methods to solve: Power series calculator online with solution and steps. Let us solve the differential equation #y''=y# by power series method. Detailed step by step solutions to your power series problems with our math solver. In introduction to power series , we studied how. Previously, we studied how functions can be represented as power series, \(\displaystyle. Let #y=sum_{n=0}^inftyc_n x^n#, where #c_n# is to. The calculator will try to find the solution of the given ode:
Series Solutions Differential Equations y'' y' = 0 YouTube
Differential Equation Solver Power Series Previously, we studied how functions can be represented as power series, \(\displaystyle. In introduction to power series , we studied how. The calculator will try to find the solution of the given ode: Detailed step by step solutions to your power series problems with our math solver. Previously, we studied how functions can be represented as power series, \(\displaystyle. Let us solve the differential equation #y''=y# by power series method. Let #y=sum_{n=0}^inftyc_n x^n#, where #c_n# is to. Power series calculator online with solution and steps. Calculator applies methods to solve:
From www.reddit.com
[University differential equations] Solve equations using power series Differential Equation Solver Power Series In introduction to power series , we studied how. Power series calculator online with solution and steps. Let us solve the differential equation #y''=y# by power series method. Calculator applies methods to solve: Let #y=sum_{n=0}^inftyc_n x^n#, where #c_n# is to. Previously, we studied how functions can be represented as power series, \(\displaystyle. Detailed step by step solutions to your power. Differential Equation Solver Power Series.
From www.chegg.com
Solved Solve the differential equation below using series Differential Equation Solver Power Series Let us solve the differential equation #y''=y# by power series method. In introduction to power series , we studied how. Previously, we studied how functions can be represented as power series, \(\displaystyle. Let #y=sum_{n=0}^inftyc_n x^n#, where #c_n# is to. Power series calculator online with solution and steps. The calculator will try to find the solution of the given ode: Calculator. Differential Equation Solver Power Series.
From www.youtube.com
Power Series Solution of Differential Equation using non polynomials y Differential Equation Solver Power Series Detailed step by step solutions to your power series problems with our math solver. Let #y=sum_{n=0}^inftyc_n x^n#, where #c_n# is to. The calculator will try to find the solution of the given ode: Let us solve the differential equation #y''=y# by power series method. In introduction to power series , we studied how. Previously, we studied how functions can be. Differential Equation Solver Power Series.
From www.coursehero.com
[Solved] subject adcance math Exercise on Power Series Solution to DE Differential Equation Solver Power Series Let us solve the differential equation #y''=y# by power series method. Power series calculator online with solution and steps. The calculator will try to find the solution of the given ode: Calculator applies methods to solve: Previously, we studied how functions can be represented as power series, \(\displaystyle. Detailed step by step solutions to your power series problems with our. Differential Equation Solver Power Series.
From www.youtube.com
Power Series Solutions of Differential Equations, Ex 2 YouTube Differential Equation Solver Power Series Previously, we studied how functions can be represented as power series, \(\displaystyle. Let #y=sum_{n=0}^inftyc_n x^n#, where #c_n# is to. The calculator will try to find the solution of the given ode: Calculator applies methods to solve: Power series calculator online with solution and steps. In introduction to power series , we studied how. Let us solve the differential equation #y''=y#. Differential Equation Solver Power Series.
From www.youtube.com
Power Series Method Differential Equations Lecture 24 YouTube Differential Equation Solver Power Series Calculator applies methods to solve: Let us solve the differential equation #y''=y# by power series method. Detailed step by step solutions to your power series problems with our math solver. The calculator will try to find the solution of the given ode: Let #y=sum_{n=0}^inftyc_n x^n#, where #c_n# is to. Previously, we studied how functions can be represented as power series,. Differential Equation Solver Power Series.
From www.youtube.com
Solving Differential Equations A Worked Example YouTube Differential Equation Solver Power Series The calculator will try to find the solution of the given ode: Calculator applies methods to solve: Power series calculator online with solution and steps. Previously, we studied how functions can be represented as power series, \(\displaystyle. Detailed step by step solutions to your power series problems with our math solver. In introduction to power series , we studied how.. Differential Equation Solver Power Series.
From www.youtube.com
Differential EquationsSeries Solutions YouTube Differential Equation Solver Power Series The calculator will try to find the solution of the given ode: Previously, we studied how functions can be represented as power series, \(\displaystyle. Power series calculator online with solution and steps. Calculator applies methods to solve: Detailed step by step solutions to your power series problems with our math solver. In introduction to power series , we studied how.. Differential Equation Solver Power Series.
From www.youtube.com
Solving a Differential Equation with Power Series y'' + y = 0 YouTube Differential Equation Solver Power Series Power series calculator online with solution and steps. Let #y=sum_{n=0}^inftyc_n x^n#, where #c_n# is to. Let us solve the differential equation #y''=y# by power series method. Detailed step by step solutions to your power series problems with our math solver. The calculator will try to find the solution of the given ode: Previously, we studied how functions can be represented. Differential Equation Solver Power Series.
From www.wikihow.com
4 Ways to Solve Differential Equations wikiHow Differential Equation Solver Power Series Detailed step by step solutions to your power series problems with our math solver. Let #y=sum_{n=0}^inftyc_n x^n#, where #c_n# is to. In introduction to power series , we studied how. Calculator applies methods to solve: Power series calculator online with solution and steps. Let us solve the differential equation #y''=y# by power series method. Previously, we studied how functions can. Differential Equation Solver Power Series.
From www.teachoo.com
Example 28 Solve differential equation dx/dy + x/1+y^2 = tan1 y /1 Differential Equation Solver Power Series Let #y=sum_{n=0}^inftyc_n x^n#, where #c_n# is to. Let us solve the differential equation #y''=y# by power series method. The calculator will try to find the solution of the given ode: Power series calculator online with solution and steps. Detailed step by step solutions to your power series problems with our math solver. In introduction to power series , we studied. Differential Equation Solver Power Series.
From www.youtube.com
Solving separable differential equations YouTube Differential Equation Solver Power Series Detailed step by step solutions to your power series problems with our math solver. In introduction to power series , we studied how. Previously, we studied how functions can be represented as power series, \(\displaystyle. Power series calculator online with solution and steps. Calculator applies methods to solve: Let #y=sum_{n=0}^inftyc_n x^n#, where #c_n# is to. Let us solve the differential. Differential Equation Solver Power Series.
From www.youtube.com
(1x^2)y" 2xy' +2y =0 Power Series Solution of Differential Equation Differential Equation Solver Power Series Let us solve the differential equation #y''=y# by power series method. Power series calculator online with solution and steps. The calculator will try to find the solution of the given ode: Detailed step by step solutions to your power series problems with our math solver. In introduction to power series , we studied how. Let #y=sum_{n=0}^inftyc_n x^n#, where #c_n# is. Differential Equation Solver Power Series.
From www.bartleby.com
Answered Use power series to solve differential… bartleby Differential Equation Solver Power Series Let #y=sum_{n=0}^inftyc_n x^n#, where #c_n# is to. In introduction to power series , we studied how. Detailed step by step solutions to your power series problems with our math solver. Power series calculator online with solution and steps. Let us solve the differential equation #y''=y# by power series method. The calculator will try to find the solution of the given. Differential Equation Solver Power Series.
From www.slideserve.com
PPT Differential Equations PowerPoint Presentation, free download Differential Equation Solver Power Series The calculator will try to find the solution of the given ode: Let us solve the differential equation #y''=y# by power series method. Power series calculator online with solution and steps. Let #y=sum_{n=0}^inftyc_n x^n#, where #c_n# is to. Calculator applies methods to solve: In introduction to power series , we studied how. Detailed step by step solutions to your power. Differential Equation Solver Power Series.
From www.chegg.com
Solved Use Power Series To Solve The Differential Equatio... Differential Equation Solver Power Series The calculator will try to find the solution of the given ode: In introduction to power series , we studied how. Previously, we studied how functions can be represented as power series, \(\displaystyle. Calculator applies methods to solve: Let #y=sum_{n=0}^inftyc_n x^n#, where #c_n# is to. Detailed step by step solutions to your power series problems with our math solver. Let. Differential Equation Solver Power Series.
From www.numerade.com
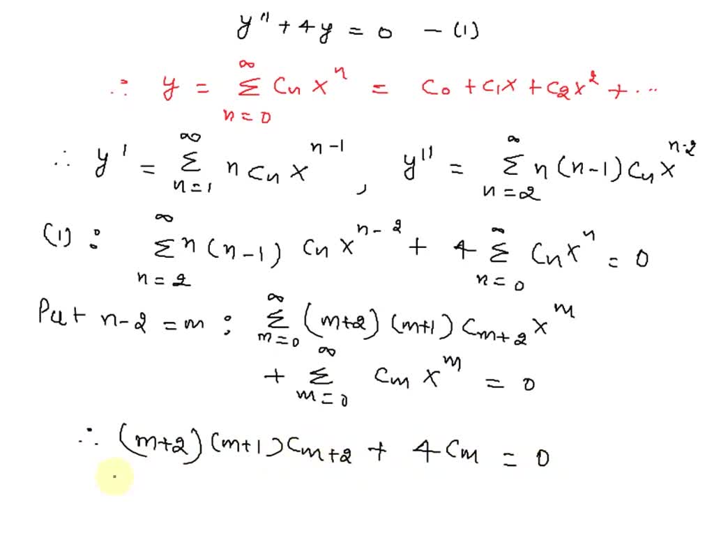
SOLVED Solve the differential equation y” + 4y =0 using the power Differential Equation Solver Power Series Calculator applies methods to solve: Power series calculator online with solution and steps. Let #y=sum_{n=0}^inftyc_n x^n#, where #c_n# is to. Let us solve the differential equation #y''=y# by power series method. Previously, we studied how functions can be represented as power series, \(\displaystyle. The calculator will try to find the solution of the given ode: Detailed step by step solutions. Differential Equation Solver Power Series.
From blog.wolframalpha.com
StepbyStep Differential Equation Solutions in WolframAlpha—Wolfram Differential Equation Solver Power Series Let #y=sum_{n=0}^inftyc_n x^n#, where #c_n# is to. Previously, we studied how functions can be represented as power series, \(\displaystyle. Calculator applies methods to solve: Let us solve the differential equation #y''=y# by power series method. The calculator will try to find the solution of the given ode: Detailed step by step solutions to your power series problems with our math. Differential Equation Solver Power Series.
From devpost.com
Differential equation solver Devpost Differential Equation Solver Power Series Power series calculator online with solution and steps. Calculator applies methods to solve: Previously, we studied how functions can be represented as power series, \(\displaystyle. In introduction to power series , we studied how. Detailed step by step solutions to your power series problems with our math solver. Let us solve the differential equation #y''=y# by power series method. The. Differential Equation Solver Power Series.
From www.chegg.com
Solved Section 6.2 1.>a. Solve the differential equation dy Differential Equation Solver Power Series Calculator applies methods to solve: Detailed step by step solutions to your power series problems with our math solver. Previously, we studied how functions can be represented as power series, \(\displaystyle. Power series calculator online with solution and steps. Let us solve the differential equation #y''=y# by power series method. In introduction to power series , we studied how. Let. Differential Equation Solver Power Series.
From www.youtube.com
LO 240 Find a power series solution to a differential equation YouTube Differential Equation Solver Power Series Let #y=sum_{n=0}^inftyc_n x^n#, where #c_n# is to. Calculator applies methods to solve: Previously, we studied how functions can be represented as power series, \(\displaystyle. Power series calculator online with solution and steps. Let us solve the differential equation #y''=y# by power series method. In introduction to power series , we studied how. The calculator will try to find the solution. Differential Equation Solver Power Series.
From www.chegg.com
Solved Solve the given system of differential equation using Differential Equation Solver Power Series Let #y=sum_{n=0}^inftyc_n x^n#, where #c_n# is to. The calculator will try to find the solution of the given ode: Let us solve the differential equation #y''=y# by power series method. Power series calculator online with solution and steps. In introduction to power series , we studied how. Previously, we studied how functions can be represented as power series, \(\displaystyle. Calculator. Differential Equation Solver Power Series.
From www.youtube.com
First Order Linear Differential Equations YouTube Differential Equation Solver Power Series Detailed step by step solutions to your power series problems with our math solver. In introduction to power series , we studied how. Calculator applies methods to solve: Power series calculator online with solution and steps. Previously, we studied how functions can be represented as power series, \(\displaystyle. The calculator will try to find the solution of the given ode:. Differential Equation Solver Power Series.
From studylib.net
Using Series to Solve Differential Equations Differential Equation Solver Power Series In introduction to power series , we studied how. Previously, we studied how functions can be represented as power series, \(\displaystyle. Let #y=sum_{n=0}^inftyc_n x^n#, where #c_n# is to. Let us solve the differential equation #y''=y# by power series method. The calculator will try to find the solution of the given ode: Calculator applies methods to solve: Detailed step by step. Differential Equation Solver Power Series.
From www.youtube.com
Series Solutions Differential Equations y'' y' = 0 YouTube Differential Equation Solver Power Series In introduction to power series , we studied how. Let us solve the differential equation #y''=y# by power series method. Detailed step by step solutions to your power series problems with our math solver. Let #y=sum_{n=0}^inftyc_n x^n#, where #c_n# is to. Calculator applies methods to solve: The calculator will try to find the solution of the given ode: Previously, we. Differential Equation Solver Power Series.
From www.coursehero.com
[Solved] subject adcance math Exercise on Power Series Solution to DE Differential Equation Solver Power Series Let us solve the differential equation #y''=y# by power series method. Power series calculator online with solution and steps. The calculator will try to find the solution of the given ode: Detailed step by step solutions to your power series problems with our math solver. Calculator applies methods to solve: Previously, we studied how functions can be represented as power. Differential Equation Solver Power Series.
From www.chegg.com
Solved Solve the differential equation 2y" + y' = 0 by using Differential Equation Solver Power Series In introduction to power series , we studied how. Let us solve the differential equation #y''=y# by power series method. Calculator applies methods to solve: The calculator will try to find the solution of the given ode: Previously, we studied how functions can be represented as power series, \(\displaystyle. Power series calculator online with solution and steps. Detailed step by. Differential Equation Solver Power Series.
From www.youtube.com
Solving a Differential Equation with Power Series y'' + y = 0 with Differential Equation Solver Power Series Power series calculator online with solution and steps. Previously, we studied how functions can be represented as power series, \(\displaystyle. Detailed step by step solutions to your power series problems with our math solver. Let us solve the differential equation #y''=y# by power series method. Calculator applies methods to solve: In introduction to power series , we studied how. The. Differential Equation Solver Power Series.
From www.youtube.com
How to use Power Series solution to solve Differential Equations. YouTube Differential Equation Solver Power Series The calculator will try to find the solution of the given ode: Let #y=sum_{n=0}^inftyc_n x^n#, where #c_n# is to. In introduction to power series , we studied how. Detailed step by step solutions to your power series problems with our math solver. Let us solve the differential equation #y''=y# by power series method. Previously, we studied how functions can be. Differential Equation Solver Power Series.
From calcworkshop.com
Mastering (Series Solutions) to Differential Equations Differential Equation Solver Power Series Let us solve the differential equation #y''=y# by power series method. The calculator will try to find the solution of the given ode: Calculator applies methods to solve: Detailed step by step solutions to your power series problems with our math solver. In introduction to power series , we studied how. Let #y=sum_{n=0}^inftyc_n x^n#, where #c_n# is to. Previously, we. Differential Equation Solver Power Series.
From www.youtube.com
Solving System of Differential equations with initial condition YouTube Differential Equation Solver Power Series Detailed step by step solutions to your power series problems with our math solver. Let us solve the differential equation #y''=y# by power series method. In introduction to power series , we studied how. Power series calculator online with solution and steps. Previously, we studied how functions can be represented as power series, \(\displaystyle. The calculator will try to find. Differential Equation Solver Power Series.
From www.youtube.com
Power Series Solution of Differential Equation Lecture 2 YouTube Differential Equation Solver Power Series Calculator applies methods to solve: Detailed step by step solutions to your power series problems with our math solver. The calculator will try to find the solution of the given ode: Previously, we studied how functions can be represented as power series, \(\displaystyle. Let us solve the differential equation #y''=y# by power series method. Power series calculator online with solution. Differential Equation Solver Power Series.
From www.chegg.com
Solve the following differential equations by using Differential Equation Solver Power Series Detailed step by step solutions to your power series problems with our math solver. Previously, we studied how functions can be represented as power series, \(\displaystyle. Calculator applies methods to solve: The calculator will try to find the solution of the given ode: Power series calculator online with solution and steps. Let #y=sum_{n=0}^inftyc_n x^n#, where #c_n# is to. Let us. Differential Equation Solver Power Series.
From www.youtube.com
Power Series Solutions of Differential Equations YouTube Differential Equation Solver Power Series Calculator applies methods to solve: Power series calculator online with solution and steps. In introduction to power series , we studied how. The calculator will try to find the solution of the given ode: Let #y=sum_{n=0}^inftyc_n x^n#, where #c_n# is to. Detailed step by step solutions to your power series problems with our math solver. Let us solve the differential. Differential Equation Solver Power Series.
From www.youtube.com
Power Series Representation By Integration Calculus 2 YouTube Differential Equation Solver Power Series Let #y=sum_{n=0}^inftyc_n x^n#, where #c_n# is to. Detailed step by step solutions to your power series problems with our math solver. Calculator applies methods to solve: Power series calculator online with solution and steps. Let us solve the differential equation #y''=y# by power series method. In introduction to power series , we studied how. The calculator will try to find. Differential Equation Solver Power Series.